Resolución CNH.06.001/09 por la que la Comisión Nacional de Hidrocarburos da a conocer las disposiciones técnicas para evitar o reducir la quema y el venteo de gas en los trabajos de exploración y explotación de hidrocarburos.

Al margen un sello con el Escudo Nacional, que dice: Estados Unidos Mexicanos.- Secretaría de Energía.- Comisión Nacional de Hidrocarburos.

JUAN CARLOS ZEPEDA MOLINA, EDGAR RENE RANGEL GERMAN, JAVIER HUMBERTO ESTRADA ESTRADA, GUILLERMO CRUZ DOMINGUEZ VARGAS y ALFREDO EDUARDO GUZMAN BALDIZAN, comisionado presidente y comisionados, respectivamente, integrantes de la Comisión Nacional de Hidrocarburos, con fundamento en los artículos 11 y 15 de la Ley Reglamentaria del Artículo 27 Constitucional en el Ramo del Petróleo, y 2, 3 y 4, fracciones III, VII, VIII, XIII, XV, XVI, XXI, XXII, XXIII, de la Ley de la Comisión Nacional de Hidrocarburos y la Resolución CNH.06.001/09, tomada por el Organo de Gobierno de la Comisión Nacional de Hidrocarburos el día 12 de noviembre de 2009, hemos tenido a bien expedir la siguiente:
RESOLUCION CNH.06.001/09 POR LA QUE LA COMISION NACIONAL DE HIDROCARBUROS DA A
CONOCER LAS DISPOSICIONES TECNICAS PARA EVITAR O REDUCIR LA QUEMA Y EL VENTEO DE
GAS EN LOS TRABAJOS DE EXPLORACION Y EXPLOTACION DE HIDROCARBUROS
Capítulo I
Disposiciones generales
Artículo 1. Las presentes disposiciones técnicas se emiten en términos de los artículos 11 y 15 de la Ley Reglamentaria del Artículo 27 Constitucional en el Ramo del Petróleo, y 2, 3 y 4, fracciones III, VII, VIII, XIII, XV, XVI, XXI, XXII, XXIII, de la Ley de la Comisión Nacional de Hidrocarburos, por lo que son de observancia obligatoria y tienen por objeto que Petróleos Mexicanos y sus organismos subsidiarios realicen la planificación sobre la forma en la que deberán conservar el valor económico del gas presente en los yacimientos objeto de trabajos de exploración y explotación de hidrocarburos, en tanto que es patrimonio de la nación; buscando siempre la maximización de su valor económico una vez que sea producido, y atendiendo a los principios y bases siguientes:
I.        La Comisión dará prioridad a las inversiones para evitar o reducir al mínimo la quema y el venteo de gas. De la misma manera, la Comisión considera como prioritarias las inversiones en materia de seguridad industrial, a efecto de disminuir los riesgos que las actividades de la industria petrolera puedan causar al medio ambiente y a la salud de los trabajadores;
II.       Petróleos Mexicanos y sus organismos subsidiarios deberán sujetarse al marco normativo y procedimental establecido en las presentes disposiciones técnicas, a fin de evitar, salvo causa grave, o reducir al mínimo la quema o el venteo de gas que pudiera resultar prudente realizar, como consecuencia de sus actividades de exploración y explotación de hidrocarburos;
III.       Las presentes disposiciones establecen las metodologías que Petróleos Mexicanos y sus organismos subsidiarios deberán seguir en el diseño de los proyectos de exploración y explotación de hidrocarburos, conforme lo establecido en el capítulo II de las presentes disposiciones técnicas, en lo relativo a la evaluación de las alternativas para evitar extraer, aprovechar, conservar o transferir el gas natural que se debe obtener de un yacimiento, y a través de dichas medidas, evitar su destrucción;
IV.      Se establecen las bases para el diseño y ejecución de un programa de inversión, construcción, operación y mantenimiento de instalaciones, cuyo propósito sea reducir al mínimo los volúmenes de gas que pudiesen resultar prudente destruir, y que en tal programa Petróleos Mexicanos se compromete a cumplir con lo establecido en los capítulos II a V de las presentes disposiciones técnicas.
V.       Se establecen los procedimientos que Petróleos Mexicanos y sus organismos subsidiarios deberán seguir para presentar a la Comisión un programa de cumplimiento obligatorio que incluya los objetivos, medidas, inversiones, cronogramas y otras informaciones o compromisos que resulten
necesarios para reducir la quema o el venteo de gas al menor volumen y nivel técnica y económicamente viable de alcanzar. Lo anterior, como consecuencia de las actividades de exploración y explotación de hidrocarburos de proyectos actualmente en explotación y en términos de lo establecido en el capítulo IX de las presentes disposiciones.
VI.      Se establecen las bases para realizar la verificación del cumplimiento del programa referido en las fracciones tercera, cuarta y quinta de este artículo, así como los procedimientos y avances en los programas de inversión para garantizar el cumplimiento de los objetivos planteados en materia de reducción de quema y venteo de gas, en el marco del desarrollo de los proyectos de exploración y explotación de hidrocarburos. Lo anterior, conforme lo establecido en los capítulos VI, VII y VIII de las presentes disposiciones.
Artículo 2. El presente instrumento regula algunos aspectos operativos del proceso de extracción del gas y es complementario a los manuales de ingeniería y demás normatividad técnica emitida por Petróleos Mexicanos, siempre y cuando estas últimas no lo contravengan, en cuyo caso, prevalecerán las presentes disposiciones técnicas.
Artículo 3. En la interpretación y aplicación de las presentes disposiciones técnicas, se estará a las siguientes definiciones:
I.        Aprovechamiento del gas: Se refiere al consumo de gas por parte de la misma unidad administrativa de Petróleos Mexicanos como combustible en turbinas, compresores o motores o para su reinyección para mejorar la extracción de aceite en el mismo campo; a la venta del gas a terceros o su traspaso a otra subsidiaria que la procese, la consuma en usos propios o la conduzca para ser entregada a empresas permisionadas o a usuarios finales.
II.       Análisis económico: Evaluación monetaria que compara el valor presente neto de distintos proyectos de inversión en términos y condiciones semejantes.
III.       Campo. Area geográfica consistente en un yacimiento, o conjunto de yacimientos de hidrocarburos, todos agrupados o relacionados con la misma estructura geológica o condiciones estratigráficas. Puede haber dos o más yacimientos en un campo que estén separados verticalmente por rocas impermeables, por barreras geológicas laterales, o por ambas.
IV.      Comisión: Comisión Nacional de Hidrocarburos.
V.       Conservación del gas: Se refiere a la recuperación del gas extraído para su inyección al yacimiento de origen para su almacenamiento, o en otros yacimientos o almacenes, siendo susceptible de ser sustraído ulteriormente para su aprovechamiento.
VI.      Destrucción del gas: La incineración, quema, venteo o fugas de gas. Estas prácticas tienen por efecto la pérdida o menoscabo del patrimonio de la nación, en virtud de que se está desperdiciando un recurso que tiene un valor económico, o de que dicho gas puede ser utilizado para otros fines.
VII.      Destrucción controlada: La quema, incineración o venteo de gas que no puede ser conservado o aprovechado por razones económicas o técnicas, y que se realiza conforme lo establecen las presentes disposiciones y demás normativa aplicable.
VIII.     Eficiencia operativa: se refiere a la adopción de prácticas o acciones para el diseño y operación de las instalaciones o en la realización de los trabajos petroleros dedicados a la exploración y explotación de hidrocarburos, que mejoren el rendimiento o los resultados de un proceso por encima del incremento en costos o consumo de recursos.
IX.      Fugas: Compuestos orgánicos o inorgánicos volátiles u otros que escapan de un sistema presuntamente cerrado, de forma fortuita.
X.       Gas: compuestos orgánicos o inorgánicos en estado gaseoso.
XI.      Gas natural: gas hidrocarburo cuyo principal componente es metano.
XII.      Gas asociado: Gas natural disuelto en el aceite en un yacimiento.
XIII.     Incineración de gas: La combustión de gas extraído en incineradores.
 
XIV.    Mejores prácticas: Son las acciones o recomendaciones publicadas, tecnologías empleadas o destrezas industriales instrumentadas en el mundo, que permiten elevar la eficiencia para alcanzar un objetivo o resultado con un menor requerimiento de recursos, o que incrementan la efectividad reduciendo el margen de incertidumbre para alcanzar un objetivo o resultado claramente definido, ambas, eficiencia y efectividad, considerando la disminución de riesgos de daños o perjuicios a las personas, a los bienes o a la naturaleza.
XV.     Netback productor de gas: El precio regulado por la Comisión Reguladora de Energía del gas que PEMEX vende por primera vez, también denominado Precio de Venta de Primera mano, menos el costo de transporte entre la planta de procesamiento de ese gas y la boca del pozo que lo produjo.
XVI.    PEMEX: Petróleos Mexicanos, a través de su división de Exploración y Producción, y sus organismos subsidiarios.
XVII.    Plan de Desarrollo: Documento que conforme a los Lineamientos Técnicos para el Diseño de los Proyectos de Exploración y explotación de Hidrocarburos deberá presentar PEMEX a la Comisión, en términos de la fracción VI, del artículo 4 de la Ley de la Comisión Nacional de Hidrocarburos, para su dictaminación.
XVIII.   Quema de gas: La combustión, controlada o no controlada, sin aprovechamiento productivo del gas extraído de un campo, cuyo flujo contiene un porcentaje significativo de metano, pudiendo también contener otros componentes sólidos, líquidos o gaseosos.
XIX.    Quema rutinaria: La combustión controlada y planificada de gas extraído de un campo, hasta un volumen máximo establecido en las presentes disposiciones, que ocurre dentro de condiciones normales de operación, y se realiza con el objeto de mantener las condiciones necesarias de seguridad.
XX.     Secretaría: La Secretaría de Energía.
XXI.    Transferencia de gas: Es la entrega de la custodia del gas producido por una unidad administrativa de PEMEX Exploración y Producción a otra unidad administrativa o a otra subsidiaria de PEMEX distinta de PEMEX Exploración y Producción, a cambio de un precio administrado por el organismo de PEMEX encargado de calificar y establecer los términos y condiciones de los cambios de custodia de combustibles entre unidades administrativas, siendo dicho precio igual o diferente al Precio de Venta de Primera Mano determinado por la Comisión Reguladora de Energía para el gas natural.
XXII.    Venteo de gas: Acto de dejar escapar de forma controlada o fortuita a la atmósfera sin combustión el gas extraído, total o parcialmente.
XXIII.   Venteo temporal o intermitente: Acto de dejar escapar de forma controlada a la atmósfera sin combustión el gas extraído, hasta un volumen máximo por día propuesto por PEMEX y autorizado por la Comisión, siempre y cuando éste no pueda ser quemado, y se realice únicamente con el objeto de mantener las condiciones necesarias de seguridad de conformidad con las presentes disposiciones.
XXIV.  Valor económico: el valor definible o hipotético superior a cero que la nación o un tercero estaría dispuesto a pagar por un recurso, un bien o un servicio en sí mismo o por los beneficios diversos directos o indirectos que a su juicio su posición le pudiese acarrear.
Artículo 4. Unicamente podrá realizarse la destrucción del gas que sea extraído del subsuelo o de un almacén, como consecuencia de los trabajos de exploración y explotación de hidrocarburos, en los siguientes casos:
I.        Cuando de acuerdo al estudio técnico-económico que se refiere en el capítulo II de las presentes disposiciones, y después de evaluar las alternativas para evitar extraer el gas, realizar su conservación, transferencia o disponer de él para su aprovechamiento, se arribe a la conclusión de que la única alternativa es la destrucción controlada del gas extraído.
II.       Cuando la extracción de hidrocarburos de un pozo sea inferior o igual al volumen mínimo y
periodicidad que para tales efectos determine la Comisión y que ésta se realice en términos del capítulo VI, y bajo las categorías de "venteo temporal" o "quema rutinaria".
III.       Cuando existan circunstancias de fuerza mayor, que impliquen un riesgo para la operación segura en la instalaciones, en términos de lo establecido en los capítulos V y VI de las presentes disposiciones.
Artículo 5. PEMEX deberá realizar las acciones necesarias para evitar extraer o, en caso contrario, para conservar o aprovechar el gas sustraído durante los trabajos de exploración y explotación de hidrocarburos, o bien, transferirlo a otro campo, de conformidad con las presentes disposiciones técnicas.
Para tal efecto, PEMEX evaluará las alternativas y soluciones con las que se cuenten, de tal forma que su acumulado nacional, en materia de quema y venteo de gas natural, cumpla con el criterio y bases siguientes:
I.        El volumen de destrucción de gas, a nivel nacional, que PEMEX podrá realizar cada año estará sujeto al cálculo de un límite máximo o techo.
II.       Dicho límite se obtiene de realizar las siguientes operaciones:
a.   Se divide el promedio móvil de los últimos tres años de quema y venteo de gas entre el promedio móvil de la producción de gas asociado en el mismo periodo. Para realizar esta operación deberá excluirse la información del campo Cantarell.
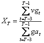
Dicho cálculo se expresa en lenguaje matemático, a través de la siguiente fórmula:

Donde:
(i)     T es el periodo inicial a estimar.
(ii)    t es el contador de temporalidad.
(iii)   S es el operador matemático que denota la suma tanto de venteo como de producción de gas asociado.
(iv)   XT es el porcentaje de gas que servirá de base para calcular el volumen de gas a ser destruido en un año (la relación obtenida entre el promedio móvil de los últimos tres años en materia de quema y venteo de gas y la producción de gas asociado).
(v)    vgt es el venteo y quema de gas en cada uno de los periodos considerados para obtener la media móvil.
(vi)   gat es la producción de gas asociado en cada uno de los periodos considerados para obtener la media móvil.
b.   Una vez que se ha calculado el factor XT, se deberán aplicar las siguientes reglas para conocer el volumen de gas que podrá destruirse en determinado año (t T):
Es decir:
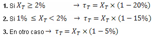
1.  Si el porcentaje de gas que servirá como base para el cálculo del periodo (XT) es mayor o igual al 2%, entonces el volumen de gas que PEMEX podrá destruir en ese periodo (t T) no podrá ser mayor al 80% (1-20%) del volumen que
representa ese valor.
2.  Si el valor XT es menor o igual a 2%, y mayor a 1%, entonces se permitirá que se destruya hasta 85% (1-15%) del volumen de gas que representa esa relación (t T).
3.  Si XT es menor o igual a 1%, se permitirá la quema y venteo de hasta 95% del mismo.
c.   Al multiplicar el factor t T por la producción de gas asociado del periodo de referencia, se obtendrá un volumen de gas expresado en pies cúbicos, al cual se le aplicarán las reglas señaladas en el apartado b).
III.       Este criterio tiene por efecto que cada año se estime un nivel nuevo o techo que vaya ajustándose en el tiempo y que permita converger, en un periodo determinado a nivel nacional, al menor volumen posible de gas quemado y venteado en los trabajos de exploración y explotación de hidrocarburos, al tiempo que PEMEX alcance niveles de aprovechamiento de gas comparables con las mejores prácticas.
Una vez que se alcancen los objetivos planteados en la fracción anterior, o bien que los niveles de quema y venteo sean menores al 0.5%, la Comisión definirá nuevas bases y objetivos en esta materia.
Los límites máximos establecidos en este artículo podrán ser revisados y ajustados por parte la Comisión, con base en el análisis económico que para tal efecto realice.
Artículo 6. Con base en el cálculo establecido en el artículo anterior, PEMEX deberá realizar una planeación integral de todos los campos, yacimientos y pozos abandonados, en proceso de abandono y en explotación en donde se realice quema y venteo de gas, a efecto de establecer una estrategia integral que logre llevar la quema y el venteo de gas a niveles por debajo del límite máximo o techo establecido en el artículo anterior.
Para tal efecto, PEMEX podrá desarrollar un sistema de compensaciones en materia de quema y venteo entre distintos campos, con el objeto de elevar o garantizar el índice de recuperación y la obtención máxima de petróleo crudo y gas natural de determinado campo, mientras mantiene niveles de destrucción de gas ajustados para alcanzar la meta nacional en otros.
A través de dichas compensaciones podrán contemplarse, de forma extraordinaria, un mayor volumen de destrucción controlada de gas a los expresamente programados de conformidad con el artículo 30 de las presentes disposiciones, siempre y cuando:
I.        La quema o venteo de gas se realicen de manera temporal y por un plazo no mayor a seis meses, ya sea en el mismo campo o en otros.
II.       No se rebase el límite de quema y venteo nacional proyectado para ese año.
La solicitud que para tal efecto dirija PEMEX a la Comisión, deberá contener:
I.        El análisis de factibilidad de la obtención de los beneficios económicos proyectados con estas acciones.
II.       La proyección de los volúmenes de gas que serán destruidos a través de este esquema.
III.       Las inversiones y acciones que PEMEX realizará en otros campos o yacimientos, para compensar los volúmenes de gas que serán destruidos conforme al presente artículo.
IV.      El cronograma de los trabajos que PEMEX realizará para compensar la quema y venteo realizado conforme al presente artículo.
V.       La identificación y descripción de las instalaciones e instrumentos de los campos en los cuales se realizarán las compensaciones.
VI.      Las modificaciones a los Manifiestos a los cuales hace referencia el artículo 30 de las presentes disposiciones.
 
Tras recibir la solicitud, la Comisión contará con 30 días para realizar las recomendaciones correspondientes, a las cuales PEMEX realizará las adecuaciones conducentes y, en su caso, expresar las razones por las cuales no atendería las observaciones realizadas por la Comisión.
Artículo 7. En caso de nuevos descubrimientos de hidrocarburos susceptibles de explotación, PEMEX deberá evaluar las alternativas señaladas en el artículo 5 de las presentes disposiciones técnicas, siguiendo los Lineamientos Técnicos para el Diseño de los Proyectos de Exploración y Explotación de Hidrocarburos expedidos por esta Comisión.
La información que para tal efecto remita PEMEX a la Comisión, deberá permitir evaluar y determinar la cantidad de gas asociado presente en el yacimiento, el aceite a producir durante las distintas etapas de su ciclo productivo, desde el inicio de operaciones hasta su abandono, y los requerimientos técnicos que se considerarán para el diseño de los equipos e instalaciones necesarias para la conservación, aprovechamiento o en su caso, para la quema o venteo de gas extraído. Lo anterior, de conformidad con el análisis económico que para tal efecto realice PEMEX, en términos de lo establecido en el Capítulo II de las presentes disposiciones.
Artículo 8. Para el caso de aquellos pozos, campos y yacimientos en desarrollo, en proceso de abandono o en explotación, de conformidad con el apartado a) del artículo 3 de la Ley de la Comisión Nacional de Hidrocarburo, y Tercero, Cuarto y Quinto Transitorios del Reglamento de la Ley Reglamentaria del Artículo 27 Constitucional en el Ramo del Petróleo, PEMEX y la Comisión definirán un programa de trabajo, en términos de lo establecido en el Capítulo IX de las presentes disposiciones, que permita la adopción de medidas específicas para los trabajos en curso. Lo anterior, con el objeto de conservar, aprovechar o transferir el gas extraído.
Artículo 9. PEMEX será responsable, de conformidad con el artículo 7 bis de la Ley Reglamentaria del Artículo 27 Constitucional en el Ramo del Petróleo, de contar con los seguros o, en su caso, con los recursos económicos necesarios, para resarcir cualquier siniestro, daño o perjuicio económico o ambiental que genere, como consecuencia de la destrucción, controlada o no controlada, que realice de gas extraído.
Artículo 10. Corresponderá a la Comisión la interpretación y vigilancia en la aplicación de las presentes disposiciones técnicas, así como, en su caso, la realización de acciones y procedimientos relacionados con su cumplimiento.
Capítulo II
De la explotación eficiente de los hidrocarburos
Artículo 11. Para la presentación de un proyecto nuevo de exploración y explotación de hidrocarburos o de una modificación al mismo que será sometido a dictaminación a la CNH, en términos de la fracción V, del artículo 4 de la Ley de la Comisión Nacional de Hidrocarburos, PEMEX deberá realizar un análisis económico de la evaluación de las alternativas para evitar la extracción del gas o su conservación, aprovechamiento o transferencia y, como último recurso, su destrucción controlada en los proyectos de exploración y explotación de hidrocarburos.
Dicho análisis deberá fundamentarse en las características del yacimiento conforme a los resultados que arrojen las pruebas de pozo que se realicen, el modelo estático y dinámico del yacimiento en cuestión, y con base en las siguientes premisas económicas:
I.        La incineración y quema del gas extraído no se consideran como una alternativa económica a su conservación, aprovechamiento o transferencia. Para los propósitos del reporte del manejo del gas extraído, su incineración debe ser reportada dentro de los volúmenes de gas quemado.
II.       El venteo no se considera dentro del análisis económico como una alternativa a la quema. Si los volúmenes de gas son suficientes que permiten mantener una combustión estable, el gas extraído deberá ser quemado, conservado, aprovechado o transferido.
III.       Unicamente se considerará el venteo por cuestiones de caso fortuito y seguridad industrial, y para garantizar la operación segura de las instalaciones, conforme los capítulos IV, V y VI de estas disposiciones.
En el análisis económico se considerarán los volúmenes de gas que se pretendan incinerar, quemar o ventear como destrucción de valor económico, el cual debe ser cuantificado en volúmenes, componentes o precio unitario de cada componente y valor monetario total.
Los costos en que se incurrirá en la destrucción del gas extraído deberán incluir los costos de capital y de operación de la ejecución de la destrucción, su verificación y vigilancia, así como las cargas financieras o seguros contemplados para remediar los posibles daños o perjuicios que se generen a la nación, a las personas, a las actividades económicas y a la naturaleza, como consecuencia de estas actividades.
Artículo 12. PEMEX presentará a la Comisión la metodología de cálculo económico que usó para el análisis económico referido en el artículo anterior.
La metodología deberá considerar los principios y variables enunciados en el artículo anterior y complementarse con la definición de las variables que de manera enunciativa, mas no limitativa, se enlistan a continuación:
I.        Relación gas aceite del yacimiento;
II.       Pronóstico diario, mensual y anual de producción del gas a extraer durante la vida productiva del yacimiento, identificando sus distintos componentes;
III.       Contenido calorífico del gas natural a extraer:
IV.      Premisas de precios y costos de capital y de operación de acuerdo al campo conforme lo establecen los Lineamientos Técnicos para el Diseño de los Proyectos de Exploración y explotación de Hidrocarburos expedidos por esta Comisión;
V.       Estimado de las inversiones necesarias a incurrir para efectos de la conservación o del aprovechamiento del gas;
VI.      Valor presente neto VPN- de la evaluación a nivel de campo;
VII.      Valor monetario del gas sustraído, a través del Netback productor de gas.
Artículo 13. Para evaluar la alternativa de aprovechar el gas o bien, optar por su conservación, se deberán atender las siguientes consideraciones:
I.        Características y componentes del gas sustraído.
II.       Volumen de gas a producir de forma constante.
III.       Cercanía de instalaciones de procesamiento del gas.
IV.      Características geográficas, geológicas y estratigráficas del yacimiento.
V.       Ubicación de las estructuras para su almacenamiento.
Artículo 14. Para evaluar la alternativa de transferir el gas, se deberán atender las siguientes consideraciones:
I.        La localización remota donde las ventas de gas no sean factibles.
II.       Infraestructura disponible para transportar el gas.
III.       Monto de inversiones a realizar entre distintos campos.
Artículo 15. Si la transferencia del gas se realiza con el objetivo de mejorar el desplazamiento o incrementar la presión del campo-yacimiento receptor, el estudio económico que presente PEMEX deberá reportar la siguiente información:
I.        Cálculo del tamaño o capacidad del casquete de gas del campo-yacimiento receptor.
II.       Justificación por la cual la inyección de agua no sea factible. Por ejemplo, PEMEX podrá explicar si los minerales de la roca son sensibles al agua, que la locación carece de un abastecimiento factible de agua, o permeabilidades extremadamente bajas, que hagan que la inyección de agua no sea factible.
III.       La descripción de las características del gas que será destinado a la transferencia para la inyección en el yacimiento de otros campos, de acuerdo con los siguientes factores:
a.   Si el punto de rocío del agua es menor o igual a 15°C a 73.21 Atm.
 
b.   Si el contenido de condensados es menor al 1%.
c.   Si existe un bajo contenido de propano, el cual sea menor al 5%.
La medición del volumen de gas transferido al campo receptor se hará bajo la metodología de transferencia de custodia del gas, vigente en PEMEX, bajo las siguientes consideraciones generales para su medición:
a.   La incertidumbre general en la medición será de un +- 4%.
b.   Todas las mediciones serán consideradas una sola fase, es decir, se deben excluir los líquidos u otros materiales que pudieran contener.
c.   Las mediciones deben ser especificadas en volumen.
d.   Las condiciones de referencia estándar serán de 20°C y 1 Atm.
Es responsabilidad de la Dirección General de PEMEX Exploración y Producción, garantizar el acceso a los sistemas de transporte, recolección y procesamiento productivo existentes, a efecto de que pueda realizarse la transferencia de gas en las condiciones técnicas y económicamente viables.
Artículo 16. Sin perjuicio de los resultados de la evaluación técnica y económica, PEMEX deberá conservar, transferir o aprovechar el gas extraído, en caso de que la relación gas-aceite en un yacimiento sea mayor a 17.81 metros cúbicos sobre metro cúbico (100 pies cúbicos estándar sobre barriles estándar), o si la instalación para la quema del gas está a una distancia menor a 500 metros (1640 pies) de una zona habitacional.
Artículo 17. Si en virtud de los resultados del análisis económico revisado por la Comisión, resultara que la única alternativa es la destrucción controlada del gas asociado en un determinado campo, PEMEX deberá considerar las disposiciones de los capítulos IV, V y VI, dentro del diseño de su Plan de Desarrollo de los proyectos, a fin de obtener el dictamen favorable de la Comisión en materia de quema y venteo de gas. Lo anterior, en términos de la fracción VI, del artículo 4 de la Ley de la Comisión Nacional de Hidrocarburos.
Artículo 18. PEMEX presentará a la Comisión el Plan de Desarrollo del proyecto a evaluar, el cual deberá contemplar, en la materia de aprovechamiento, conservación, transferencia, o bien destrucción controlada de gas, la siguiente información:
I.        Análisis económico referido en el artículo 11 de las presentes disposiciones y justificación técnica de las alternativas por las que se haya optado en el proyecto, así como las acciones que se emprenderán para disminuir al mínimo la destrucción del gas a lo largo del ciclo productivo del campo y la propuesta de desarrollo tecnológico para alcanzar una mayor eficiencia operativa en cuanto a dicha disminución.
II.       El Plan de Explotación del Gas que basado en el conocimiento de las reservas del campo programe el aprovechamiento y la explotación prudente del gas asociado a lo largo de su ciclo productivo, desde su inicio hasta su abandono, que maximice el valor del gas natural y que contemple las medidas para evitar su destrucción.
III.       El Plan de Desarrollo del Campo y de Instalaciones de Apoyo para el aprovechamiento, conservación, transferencia, o bien destrucción controlada de gas, el cual deberá incluir apartados en los que específicamente se programen soluciones para el aprovechamiento o la conservación del gas y para la destrucción controlada del gas conforme a las presentes disposiciones.
IV.      El cronograma de trabajos para la construcción de las instalaciones que se dedicarán al aprovechamiento, conservación, transferencia, o bien destrucción controlada de gas y la fecha tentativa en la que concluirán los mismos.
Artículo 19. El Plan de explotación del Gas deberá contener, al menos, la siguiente información:
I.        Identificación de las posibles fuentes continuas e intermitentes para la recuperación y, en su caso, la destrucción del gas extraído.
II.       El cálculo del volumen de gas asociado que se proyecta extraer durante un período o etapa dentro del ciclo de vida de un yacimiento o campo, y el cual serviría como fundamento para evaluar las opciones para adaptar diversas instalaciones.
III.       La complementariedad técnica y económica de las distintas instalaciones propuestas a fin de optimizar la eficiencia operativa de cada una de ellas.
 
Artículo 20. El Plan de Desarrollo del Campo y de Instalaciones de Apoyo para el aprovechamiento, conservación, transferencia, o bien destrucción controlada de gas deberá contener, al menos, la siguiente información:
I.        Pronósticos diarios, mensuales y anuales de extracción de gas y de la forma en la que se dispondrá del gas extraído.
II.       Descripción de instalaciones y equipos, identificación de su ubicación y croquis.
III.       Vida útil de las instalaciones y de los equipos, así como el programa diario, mensual y anual de uso y de paros pronosticados de los sistemas y equipos para la quema y venteo.
IV.      Análisis de riesgos en seguridad industrial, salud y protección ambiental.
V.       Requisitos de operación y mantenimiento.
VI.      Cronogramas para la instalación e inicio de operación de las instalaciones.
VII.      Condiciones de logística y riesgos asociados a la operación de aprovechamiento, conservación, transferencia, o bien destrucción controlada de gas.
VIII.     Condiciones técnicas que deben cumplirse para la destrucción controlada de gas.
IX.      Pruebas de las instalaciones y supervisión.
X.       Sistemas de control, bitácoras y reportes.
XI.      Mecanismos de evaluación del cumplimiento y de correcciones en caso de fallas o insuficiencias.
Artículo 21. La Comisión evaluará las propuestas técnicas presentadas por PEMEX en estos planes durante la dictaminación que realice del Plan de Desarrollo del proyecto, en términos del artículo 3 de la Ley de la Comisión Nacional de Hidrocarburos. Lo anterior, a efecto de que se emitan opiniones y recomendaciones para garantizar que los volúmenes de gas natural a destruir sean los mínimos y se fomente una creciente eficiencia operativa en su aprovechamiento conforme las mejores prácticas internacionales.
Asimismo, PEMEX estará obligado a reevaluar cada cinco años la viabilidad técnica y económica de las alternativas de conservación o de aprovechamiento del gas que esté siendo destruido por cada proyecto, en términos de lo establecido en el Capítulo VI de las presentes disposiciones técnicas. Para ello, deberá presentar al término de ese periodo, una propuesta de modernización que contemple un comparativo con las mejores prácticas, tanto de empresas públicas como privadas, sobre las alternativas de aprovechamiento o conservación del gas, independientemente de su viabilidad económica en México al momento del análisis.
Capítulo III
Del manejo operativo de la destrucción del gas (quema y del venteo)
Artículo 22. PEMEX dará aviso a la Comisión de la terminación de los trabajos de construcción de las instalaciones, y remitirá adjunto al mismo un Programa de Inversiones, Operación y Mantenimiento a las Instalaciones dedicadas a la conservación, aprovechamiento y, en su caso, a la destrucción controlada de gas, el cual contendrá, al menos, la siguiente información:
I.        Resultados del estudio PVT (Presión, Volumen, Temperatura) referido a los fluidos del yacimiento y en especial al gas asociado, en el cual se deberá reportar al menos, el contenido en porcentaje de los siguientes elementos:
a.   Gases inertes Nitrógeno, Helio y Argón
b.   Gases ácidos: Acido Sulfhídrico y dióxido de carbón
c.   Componentes ligeros: Metano, Etano, Propano, Butano y Pentano
d.   Componentes pesados: Parafinas, Naftas y aromáticos.
e.   Compuestos con azufre e hidrocarburos con metales.
II.       El Pronóstico sobre la destrucción del gas, a lo largo del ciclo de vida del yacimiento.
III.       Plan de trabajo que contemple:
a.   La programación de la quema rutinaria y del venteo temporal o intermitente permitido de gas extraído por pozo, yacimiento y campo.
 
b.   La programación de destrucción del gas por mantenimiento y operaciones programadas.
c.   Protocolos o procedimientos a adoptar en materia de venteo y quema rutinaria de gas.
d.   Sistemas de medición.
e.   Programas de capacitación al personal que manejará los instrumentos y deberá ejecutar los planes y protocolos de seguridad en materia de destrucción controlada del gas.
f.    Programa de inspecciones internas realizadas por PEMEX para supervisar la seguridad de las instalaciones en materia de destrucción del gas, así como los reportes de cumplimiento de los objetivos planteados en las presentes disposiciones técnicas.
IV.      Descripción técnica de las características de los equipos e instrumentos en general que conforman las instalaciones dedicadas a la destrucción controlada del gas extraído.
V.       Descripción técnica de las características de los equipos e instrumentos en general con los que se contará para afrontar situaciones de emergencia y seguridad en la operación de estas instalaciones.
VI.      Descripción técnica de los instrumentos con los que se cuenta para realizar los trabajos de medición, conforme a las disposiciones técnicas que para tal efecto emita la Comisión.
VII.      La Comisión contará con diez días hábiles para emitir sus observaciones al Programa y, en caso de ser necesario, proponer modificaciones al mismo.
PEMEX contará con diez días hábiles a su vez, para responder a dichas observaciones y, en caso de no adoptar las sugerencias de la Comisión, deberá comunicar por escrito las razones respectivas.
Artículo 23. PEMEX podrá realizar quema o venteo de gas, de acuerdo con los límites establecidos en el artículo 35 de las presentes disposiciones, durante la realización de las pruebas de pozo dentro de la fase de exploración del yacimiento o del campo y las cuales no podrán durar más de 72 horas.
Artículo 24. La programación de la quema rutinaria del gas debe contemplar, entre otra, la siguiente información:
I.        Condiciones generales para la realización de la quema rutinaria.
II.       Reglas para remediar las situaciones de seguridad o de emergencia que obliguen la realización de quema no rutinaria.
III.       Reglas para remediar situaciones de seguridad o de emergencia que impidan la realización de quema rutinaria o no rutinaria.
IV.      Reglas de operación, en caso de que se presenten fallas en los equipos.
V.       Reglas para la prevención de retorno de flama (backflash).
Artículo 25. Los equipos e instalaciones para la realización de la quema de gas deben garantizar:
I.        El encendido y apagado automático del quemador.
II.       La separación de los líquidos que surjan como consecuencia de la quema.
Artículo 26. La realización de la quema deberá realizarse usando las tecnologías más eficientes y llevando a cabo las mejores prácticas de la industria, bajo las siguientes condiciones de operación:
I.        Se debe considerar un tiempo límite para la quema rutinaria, la cual no podrá ser mayor a 72 horas.
II.       Se deberá efectuar la quema a una distancia segura, la cual será calculada dependiendo de los compuestos del gas a quemar y de las instalaciones industriales o zonas residenciales. En cualquier caso, se deberán observar los siguientes criterios:
a)   Se deberán guardar 60 metros (196 pies) de distancia entre el quemador y otras instalaciones
o equipos, tales como cabezales de pozos, separadores, tanques, bombas, compresores, intercambiadores de calor y ductos.
b)   Si el gas contiene una cantidad significativa de compuestos tóxicos, en términos de la normatividad de salubridad y seguridad en los centros de trabajo, y cercanos a una zona residencial, se deberá guardar al menos 500 metros (1640 pies) de distancia de los mismos.
III.       Se deben verificar las condiciones de ruido que se pudieran generar, tomando como máximo 80 y 100 decibeles desde el origen del mismo.
IV.      Se deben verificar las condiciones de calor que pudiera generar, existiendo como mínimo entre la fuente de calor y los operadores de las instalaciones, al menos una distancia de 60 metros (196 pies) para 50.66 MJ/pie2.
V.       Se debe cuidar que las emisiones de humo que pudieran generarse observen un valor menor de 2 en la escala Ringleman.
VI.      Se debe cuidar que las emisiones de olor que pudieran generarse, se contengan dentro de lo establecido en la fracción II de este artículo.
Artículo 27. La realización de venteo temporal de gas extraído debe contemplar, entre otra, la siguiente información:
I.        Condiciones generales para la realización de venteo de gas en las que se establezcan:
a.   Condiciones atmosféricas óptimas, e identificación de asentamientos humanos cercanos o zonas residenciales potencialmente en riesgo.
b.   Manejo adecuado de los líquidos, presentes al momento de realizar el venteo de gas.
c.   Condiciones generales de la presión de vapor y temperatura para la realización del venteo.
d.   Tiempos máximos para la realización del venteo.
e.   Existencia de gas dulce el cual no deberá contener ácido sulfhídrico y dióxido de carbono.
II.       Situaciones de seguridad o de emergencia que obliguen la realización de venteo.
III.       Límites al volumen, escala o porcentaje del gas a ser venteado.
IV.      Casos de excepción.
V.       Control y seguimiento de venteo de gas no combustible.
Artículo 28. Los equipos de seguridad para controlar el venteo deben garantizar, al menos, los siguientes requerimientos:
I.        Que pueda limitarse el venteo de gas que contenga H2S (ácido sulfhídrico), Benceno, así como otros compuestos olorosos.
II.       Que puedan programarse y ejecutarse reparaciones en el mismo lugar, así como posibilidad de detectar y reparar fugas.
III.       Mecanismos para garantizar la transportación con controles de emisiones para transportar fluidos.
Artículo 29. Adicionalmente, PEMEX deberá establecer medidas para prevenir o minimizar la combustión proveniente de las emisiones de azufre derivadas de la combustión, especificando las condiciones operativas y de diseño para las mismas.
Asimismo, queda prohibido que PEMEX venteé gas que contenga más de 2 a 3 mol de H2S (ácido sulfhídrico).
Artículo 30. A efecto de garantizar la transparencia en la ejecución del Programa de inversiones, operación y mantenimiento a las instalaciones dedicadas a la destrucción controlada de gas y de conformidad con los términos y condiciones aprobados por la Secretaría en el Título de Asignación correspondiente, PEMEX deberá elaborar y remitir para su inscripción en el Registro Petrolero, dentro de los diez días hábiles posteriores a que la Comisión haya recibido la comunicación final referida en el artículo 22 de las presentes disposiciones, el Manifiesto por el que se establecen las metas, por campo, para el aprovechamiento,
conservación y, en su caso, la destrucción controlada de gas extraído.
Dicho Manifiesto contendrá, al menos, la siguiente información:
I.        Características y componentes del gas que se encuentra en el campo.
II.       Objetivos de recuperación, por campo, de aprovechamiento o conservación de gas, en su caso.
III.       Cantidad de gas extraído que quedaría sujeto a destrucción, en su caso.
IV.      Determinación de los responsables oficiales por campo, que deberán reportar el cumplimiento y grado de avances de las metas proyectadas, en materia de conservación, aprovechamiento, transferencia y destrucción controlada de gas extraído.
V.       Plan de trabajo, por cada campo, del Programa de inversiones, operación y mantenimiento a las instalaciones dedicadas a la destrucción controlada de gas.
VI.      Inversiones comprometidas, en materia de adecuación o modificación de instalaciones, para el aprovechamiento, conservación y destrucción controlada de gas.
Capítulo IV
De las instalaciones y procedimientos para la destrucción del gas
Artículo 31. A efecto de preservar la seguridad operacional al momento de realizar la destrucción controlada del gas extraído, PEMEX deberá adoptar las medidas necesarias para garantizar la protección contra incendios en las instalaciones dedicadas a la quema y venteo de gas, así como la adaptación y localización de éstas, de acuerdo con las mejores prácticas.
Para tal efecto, y como referencia prudencial para preservar la seguridad operacional al momento de realizar la destrucción controlada del gas extraído, la localización de cualquier instalación dedicada a la destrucción controlada de gas guardarán las siguientes distancias:
I.        De otro pozo localizado, en perforación o en producción de hidrocarburos, la mínima que, asegure el espaciamiento óptimo de los pozos para la explotación racional del campo, de acuerdo con el estudio del yacimiento que PEMEX presentará a la Comisión y conforme lo establecen Lineamientos Técnicos para el diseño de los proyectos de exploración y explotación de hidrocarburos.
II.       Mientras no se cuente con los datos necesarios para el estudio anterior, la distancia mínima entre pozos será de 200 metros (656 pies) si se trata de pozos productores de aceite, y de 600 metros (1968) pies para los pozos productores de gas, siempre y cuando se demuestre a la Comisión que se trata de un mismo yacimiento. En casos especiales, podrán reducirse las distancias anteriores, si se demuestra la necesidad o la conveniencia técnica de esta reducción.
III.       De un tanque de almacenamiento de hidrocarburos en uso, dos veces el diámetro del tanque, siempre que la distancia que resulte no sea inferior a 20 metros (66 pies).
IV.      De las baterías de separación y quemadores, como mínimo 100 metros (328 pies).
V.       De los diversos talleres, calderas y demás instalaciones en uso, 50 metros (164 pies).
VI.      De las casas habitación, 500 metros (1640 pies).
VII.      De algún oleoducto, gasoducto, tuberías de productos, tuberías de descarga y, en general, toda clase de tuberías, 20 metros (66 pies).
Artículo 32. En cualquier circunstancia, PEMEX deberá tomar las previsiones necesarias para evitar el riesgo de una explosión o incendio, como consecuencia de la realización de la destrucción de gas. Para tal efecto, deberán considerarse, al menos, los siguientes requerimientos:
I.        Para la realización del venteo deben guardarse las siguientes distancias:
a.   25 metros (82 pies) de cualquier equipo inflamable.
 
b.   50 metros (164 pies) de la fuente.
c.   35 metros (115 pies) de los equipos para la prueba y/o servicio al pozo cuyos componentes tengan elementos inflamables.
II.       Para la realización de quema rutinaria, la localización de tanques de almacenamiento de hidrocarburos guardará, al menos, las siguientes distancias, de acuerdo con su capacidad, características y condiciones de almacenamiento:
a.   Tanques para almacenamiento a presión atmosférica.
 
 
PUNTO DE REFERENCIA
DISTANCIA
1. Para tanques de almacenamiento de petróleo crudo, de techo fijo y desprovisto de sistema de extinción de incendios:
 
 
 
(i) De un tanque fijo a construcciones, a fuegos - descubiertos o a cualquier lindero con vía pública
3 veces su mayor dimensión
 
 
(ii) De un tanque fijo a otros tanques
 
La semisuma de las mayores dimensiones de los dos tanques; cuando los tanques formen parte de instalaciones de campos petroleros en producción, la distancia entre tanques con capacidad de 500 bbl o mayores será la máxima dimensión del tanque de menor capacidad, y para las mismas condiciones pero con tanques de capacidad menor de la indicada, la distancia podrá ser de un metro como mínimo.
2. Para tanques de almacenamiento de petróleo crudo, de techo flotante o de techo fijo, con sistema fijo para la extinción de incendios o con sistema de aprovechamiento de vapores:
 
 
 
(i) De un tanque fijo a construcciones, a fuego descubierto o al lindero con cualquiera vía pública.
2 veces su mayor dimensión.
 
 
(ii) De un tanque fijo a otros tanques de almacenamiento-
La semisuma de las mayores dimensiones de los tanques.
3. Para tanques de almacenamiento de productos refinados, de techo fijo y sin sistema fijo de extinción de incendios:
 
 
 
De un tanque fijo al lindero próximo, a construcciones o al lindero con cualquiera vía pública
2 veces su mayor dimensión
 
4. Para tanques de almacenamiento de productos refinados, de techo flotante, o de techo fijo con sistema de extinción de incendios o con sistema de aprovechamiento de vapores:
 
 
 
(i) De un tanque fijo al lindero próximo, a construcciones o al lindero con cualquiera vía pública.
Una vez su mayor dimensión, pero no menos de 3 metros.
 
(ii) De un tanque fijo a otros tanques de almacenamiento.
La semisuma de las mayores dimensiones de los tanques.
b.   Tanques para almacenamiento a presión.
Para tanques horizontales y verticales con sistema de venteo, que permitan presiones hasta un máximo de 0.180 kg/cm2 las (2.56 lb/pulg2) las distancias mínimas requeridas de los tanques de almacenamiento a la presión indicada al lindero más próximo, a construcciones o al límite de cualquiera vía pública, se establecerán de acuerdo con la siguiente tabla:
 
PUNTO DE REFERENCIA
DISTANCIA
De capacidad menor de 6 bbl
3 metros
De capacidad menor de 6 bbl hasta 19 bbl
6 metros
De capacidad menor de 19 bbl hasta 283 bbl
9 metros
De capacidad menor de 283 bbl hasta 717 bbl
12 metros
De capacidad menor de 717 bbl hasta 1195 bbl
18 metros
De capacidad menor de 1195 bbl hasta 2390 bbl
30 metros
De capacidad menor de 2390 bbl hasta 11950 bbl
50 metros
De capacidad menor de 11950 bbl hasta 23807 bbl
60 metros
De capacidad menor de 23807 bbl hasta 47614 bbl
80 metros
De capacidad menor de 47614 bl hasta 71420 bbl
100 metros
De capacidad mayor a 71420 bbl 
110 metros
De un tanque fijo a otros tanques
La semisuma de sus mayores dimensiones,
pero no menos de 6 metros
 
c.   Para tanques que almacenen hidrocarburos o productos derivados del petróleo a presiones mayores de 0.180 kg/cm2 (2.56 lb/pulg2) las distancias que deberán mantener al lindero más próximo, a las vías públicas más cercanas o a otros tanques será de 1.5 veces mayor que las indicadas para tanques que almacenen hidrocarburos o productos derivados del petróleo hasta el 0.180 kg/cm2 (2.56 lb/pulg2) de presión manométrica.
Todas las distancias establecidas anteriormente pueden ser reducidas cuando en la construcción de los tanques se tomen las siguientes prevenciones: protección contra incendios, protección con revestimiento, que los tanques sean cerrados o cualquiera medida de seguridad que se emplee en la construcción y sea suficiente.
Para tal efecto, PEMEX deberá reportar dichas adecuaciones a las instalaciones, en el aviso a que hace referencia el artículo 22 de las presentes disposiciones.
Capítulo V
De las fugas de gas y mermas
Artículo 33. PEMEX deberá desarrollar e implementar un plan para detectar y reparar las fugas que se presenten en sus instalaciones, debiendo calcular y reportar el volumen de gas que se esté mermando de sus instalaciones.
Dicho plan será reportado dentro del programa referido en el artículo 22 de las presentes disposiciones y deberá contemplar, al menos, los siguientes elementos:
I.        Contar con los instrumentos necesarios para medir las diferencias en el volumen del gas y del aceite, desde su punto de extracción, hasta su inyección en los sistemas de recolección y de transporte. Lo anterior, conforme a las disposiciones técnicas de medición que para tal efecto expida la Comisión
II.       Identificar los elementos en las instalaciones que pudieran presentar algún punto de fuga como lo son las válvulas, ductos, bombas, instrumentos de medición, conectores, compresores y bridas.
III.       Cálculo aproximado del volumen de emisiones basado en un fundamento técnico.
 
IV.      Contar con los recursos técnicos, humanos y financieros para la prevención, control o reparación de las fugas que se presenten en las instalaciones.
Artículo 34. El proceso general para la cuantificación de las fugas se realizará en los términos y condiciones que establezcan las disposiciones técnicas de medición referidas en el artículo anterior.
PEMEX deberá reportar, a través de los informes trimestrales señalados a los que hace referencia el artículo 36 de las presentes disposiciones, al menos, la siguiente información:
I.        Identificación del número de fuentes o componentes posibles de fuga, indicando su accesibilidad;
II.       Identificación del tipo de componentes emitidos.
III.       Tipo de servicio (gas, vapor, líquido con gas).
Si de acuerdo con los instrumentos de medición, existen diferencias entre distintos puntos de uno o varios sistemas, sean estos de extracción, recolección o traslado, PEMEX incorporará dicha información en los informes trimestrales referidos en el artículo 36 de las presentes disposiciones, e incluirá una justificación técnica de tal diferencial.
Capítulo VI
De la gestión y administración de la destrucción del gas
Artículo 35. PEMEX podrá realizar la destrucción controlada de gas en los términos del Programa de Inversiones, Operación y Mantenimiento a las Instalaciones y dentro de los límites siguientes:
I.        Para el caso de venteo temporal o intermitente, el volumen total de gas no podrá sobrepasar el límite establecido en la fracción II, del artículo 37. Los volúmenes de gas venteado durante las pruebas de pozos nuevos y existentes quedarán sujetas a la planeación que PEMEX deberá reportar a la Comisión en términos del artículo 22 de las presentes disposiciones.
II.       Para el caso de quema rutinaria, se atenderá a la siguiente tabla:
 
Categoría
Descripción
Umbral
Pozo Exploratorio
Pozo que se perfora como investigación de una nueva acumulación de hidrocarburos, y en zonas donde no se había encontrado antes petróleo ni gas. Este tipo de pozos se realizan en campos nuevos o en una nueva formación productora dentro de un campo existente. Después de la construcción del mismo, dependiendo del área donde se perforó y del resultado de la perforación, la clasificación del pozo cambia y pueden ser productores y no productores.
 
< 21188 103 pie3
 
Pozos de Desarrollo
Aquellos pozos perforados con la finalidad de explotar, extraer y drenar las reservas de un yacimiento. El objetivo principal al perforar un pozo de desarrollo es aumentar la producción del campo, razón por la cual, se perforan dentro del área probada; sin embargo y debido a la incertidumbre acerca de la forma o el confinamiento de los yacimientos, algunos pozos de desarrollo pueden resultar secos.
 
< 7062 103 pie3
 
Pozo delimitador
Después de la perforación de un pozo exploratorio en un área inexplorada que resulta productor, se perforan los pozos de avanzada con el objetivo principal de establecer los límites del yacimiento. Sin embargo, también se perforan pozos de avanzada con el objeto extender el área probada de un yacimiento, si durante el desarrollo de la explotación del mismo se dispone de información que indique que este podría extenderse más allá de los límites originalmente supuestos.
 
< 14125 103 pie3
 
Pozo inyector
Aquellos pozos que permiten inyectar fluidos en las formaciones atravesadas durante la perforación.
< 7062 103 pie3
 
III.       Si derivado de las pruebas de pozo se concluye la existencia de un yacimiento de aceite negro que registra en sus pozos una relación gas aceite menor a 1.78 m3/m3 a 20°C y 1 atmósfera (10 pies cúbicos sobre barriles estándar), y que éste no contiene elementos contaminantes en una cantidad que pongan en peligro la salud humana y el medio ambiente en términos de la legislación de la materia, se podrá realizar la quema del mismo.
Artículo 36. La destrucción controlada de gas, dentro de límites establecidos en los artículos anteriores y conforme a los programas, cronogramas y planes de trabajo descritos en los capítulos III, IV y V de cada campo, será reportada a la Comisión, a través de informes trimestrales que contendrán, entre otra, la siguiente información:
I.        Volúmenes de gas destruido por mes, tomando en cuenta las emisiones acumuladas de todas las fuentes y desagregando las siguientes categorías:
a.   Gas quemado por yacimiento y por campo.
b.   Gas venteado por yacimiento y por campo.
II.       Resultado de las verificaciones internas realizadas.
III.       Reporte del mantenimiento de las instalaciones e instrumentos de medición dedicados a la destrucción controlada de gas.
 
IV.      Reporte de eventos inusitados respecto de la destrucción controlada de gas.
V.       Fugas registradas.
Artículo 37. PEMEX deberá dar aviso a la Comisión:
I.        Cuando por cuestiones de mantenimiento no programado y de la adopción de medidas preventivas, se requiera la realización de quema de gas no programada, por un máximo de 3 días. Dicho aviso deberá ser presentado, cuando menos, 72 horas antes de la realización del evento, y deberá contener, al menos:
a.   Mapa de ubicación del pozo donde se realizará la quema no programada, identificando las instalaciones más próximas, en un radio de 500 metros (1640 pies) y, de ser el caso, las zonas residenciales que podrían verse afectadas.
b.   Justificación por la que no fue posible considerar la quema, dentro del cronograma de los programas de trabajo.
c.   El volumen de gas que pretende destruirse.
d.   La descripción de las instalaciones y equipo con el que se cuenta para realizar la quema no programada, señalando su capacidad máxima de operación.
e.   Porcentaje en el que impactará las metas proyectadas, por pozo, yacimiento y campo, en materia de aprovechamiento o destrucción de gas.
II.       Cuando por cuestiones de seguridad se requiera ventear un volumen mayor a 199,973 metros cúbicos (7062 103 pies3), dentro de las 24 horas de operación, por más de 3 días, para prevenir riesgos operacionales. Dicho aviso deberá contener:
a.   Mapa de ubicación del o los pozos donde se requiere ventear, identificando las instalaciones más próximas, en un radio de 500 metros (1640 pies) y, de ser el caso, las zonas residenciales que podrían verse afectadas.
b.   Justificación por la que no fue posible considerar el venteo, dentro del cronograma de los programas de trabajo.
c.   Razones por las que no es posible quemar
d.   El volumen de gas que se pretende ventear.
e.   La descripción de las instalaciones y equipo con el que se cuenta para realizar el venteo no programado, señalando su capacidad máxima de operación.
f.    Porcentaje en el que impactará las metas proyectadas, por pozo, yacimiento y campo, en materia de aprovechamiento y destrucción de gas.
Los avisos deberán estar firmados por el responsable oficial de las instalaciones, con copia al Titular de la Dirección de Planeación y Evaluación de PEMEX Exploración y Producción.
Artículo 38. No se requerirá dar aviso previo a la Comisión, cuando por situaciones de emergencia que pongan en riesgo la salud y seguridad del personal, de las instalaciones o de las zonas residenciales cercanas, sea necesario realizar quema o venteo de gas.
Una vez que haya comenzado la operación de destrucción, conforme al párrafo anterior, PEMEX deberá rendir un informe a la Comisión, dentro de las 48 horas siguientes, el cual contendrá, al menos, lo siguiente:
I.        Tiempo proyectado para la realización de la quema o venteo.
II.       Justificación técnica de la realización de la quema o venteo.
III.       Volumen de gas que se proyecta quemar o ventear.
IV.      Plan de trabajo para evitar o, en su caso, aminorar los efectos que se generarán por la
contingencia.
V.       Descripción de las instalaciones y equipo con el que se cuenta para realizar la quema o el venteo no programado, señalando su capacidad máxima de operación.
Dicho informe deberá estar firmado por el responsable oficial de las instalaciones, con copia al Titular de la Dirección de Planeación y Evaluación de PEMEX Exploración y Producción.
Artículo 39. Cada cinco años, en la segunda semana del mes de enero, PEMEX entregará informes por proyecto a la Comisión a los cuales hace referencia el artículo 21 de las presentes disposiciones y contendrán, al menos, la siguiente información:
I.        Los avances de los Programas de inversiones, operación y mantenimiento a las instalaciones dedicadas a la recuperación y, en su caso, la destrucción controlada de gas de cada proyecto en curso. Lo anterior, conforme lo señalado en los Manifiestos referidos en el artículo 30 de las presentes disposiciones.
II.       Un balance de la eficacia de las acciones adoptadas en materia de quema y venteo de gas, por yacimiento y campo.
III.       En su caso, las propuestas de modificaciones a los Programas de inversiones, operación y mantenimiento a las instalaciones dedicadas a la recuperación y la destrucción controlada de gas de los proyectos en curso.
Con dicha información, PEMEX elaborará un informe quinquenal general.
La Comisión contará con treinta días hábiles, contados a partir de la fecha de presentación de dichos informes, para evaluar las modificaciones propuestas por PEMEX y, de ser el caso, realizará las observaciones correspondientes.
Una vez terminado este plazo, PEMEX contará con quince días hábiles para responder a las observaciones realizadas por la Comisión, y solicitará la inscripción de las posibles adecuaciones a las metas programadas en los Manifiestos de cada proyecto en curso.
Artículo 40. Sin detrimento de las demás disposiciones contempladas en el presente capítulo, PEMEX deberá informar a la Comisión, sin que se requiera oficio o solicitud alguna, cualquier acto, hecho o circunstancia que directa o indirectamente, altere, modifique o ponga en riesgo la operación de los instrumentos, instalaciones y programa en general en materia de aprovechamiento, conservación, transferencia o destrucción controlada de gas, durante la ejecución de los trabajos de exploración y explotación de hidrocarburos.
Capítulo VII
De la verificación de la destrucción del gas
Artículo 41. El seguimiento de la ejecución del Programa de inversiones, operación y mantenimiento para la destrucción controlada de gas, así como la verificación de los informes respectivos se realizarán a través de los procedimientos contemplados en las presentes disposiciones técnicas y bajo los términos y condiciones de las visitas de verificación que esta Comisión realice conforme a la Ley Reglamentaria del artículo 27 Constitucional en el Ramo del Petróleo, la Ley de la Comisión Nacional de Hidrocarburos, y sus respectivos Reglamentos.
Artículo 42. La Comisión podrá realizar las siguientes acciones de verificación:
I.        Revisión documental.
II.       Visitas de verificación a instalaciones.
III.       Revisión de los instrumentos de medición y pruebas de equipo y de operación de las instalaciones dedicadas al aprovechamiento, conservación o destrucción controlada de gas.
Artículo 43. PEMEX mantendrá a disposición de la Comisión, en todo momento, la siguiente información:
 
I.        Documentación de la adquisición del equipo e instrumentos empleados para el aprovechamiento, conservación o destrucción controlada de gas, así como los manuales y guías de operación de los mismos.
II.       Bitácoras de los trabajos de mantenimiento del equipo, instalaciones e instrumentos de medición empleados para el aprovechamiento, conservación o destrucción controlada de gas.
III.       Programas y temarios de los cursos de capacitación del personal destinado a realizar las acciones para el aprovechamiento, conservación o destrucción controlada de gas, así como la relación de asistencia a los mismos.
IV.      Reportes e informes, por pozo, yacimiento y campo de las verificaciones internas realizadas por parte de PEMEX, a las instalaciones y a los equipos de medición de los volúmenes de gas extraído.
V.       En general, la información relacionada con el seguimiento de la operación de las instalaciones donde se realicen actividades de exploración y explotación de hidrocarburos.
Artículo 44. La Comisión emitirá un manual de verificaciones, en donde se detallen los procedimientos de verificación de las instalaciones en materia de quema y venteo de gas.
Artículo 45. Las visitas de verificación podrán iniciarse a instancia de la propia Comisión, por solicitud expresa de la Secretaría, o como consecuencia de denuncias públicas.
Artículo 46. La Comisión emitirá en su caso las Normas Oficiales Mexicanas y sus respectivos Procedimientos de Evaluación de la Conformidad en donde se establezcan los procedimientos de revisión de los instrumentos de medición y pruebas de equipo y de operación de las instalaciones dedicadas a la conservación, aprovechamiento, transferencia y destrucción controlada de gas.
Capítulo VIII
De las medidas precautorias y del procedimiento correctivo en casos de incumplimiento
Artículo 47. De conformidad con los artículos 15 Bis y 15 Ter y 16 de la Ley Reglamentaria del artículo 27 Constitucional en el Ramo del Petróleo, e inciso f) del artículo 3, y fracciones VI, VIII, XIII, XV, XVI, XXII, XXIII del artículo 4 de la Ley de la Comisión Nacional de Hidrocarburos y el artículo 32 del Reglamento Interno de la Comisión y demás aplicables del Reglamento Interior de la Secretaría, la Comisión sustanciará los procedimientos administrativos que se requieran, en términos de la Ley Federal de Procedimiento Administrativo, a efecto de:
I.        Determinar si existió incumplimiento a las presentes disposiciones técnicas.
II.       Dictar las medidas preventivas necesarias para evitar posibles riesgos asociados a la destrucción de gas extraído.
III.       Establecer las sanciones correspondientes por incumplimiento a las presentes disposiciones.
IV.      Dictaminar la eficiencia operativa de las acciones adoptadas por parte de PEMEX, para la recuperación y destrucción controlada de gas extraído.
V.       Dictar las medidas necesarias para que, en coordinación con PEMEX, se reduzca al mínimo la quema y venteo de gas y de hidrocarburos.
Artículo 48. Si como consecuencia de la revisión documental a los instrumentos de medición o a las visitas de verificación realizadas por la Comisión, se determina la existencia de un incumplimiento de las presentes disposiciones, se girará oficio al funcionario designado como responsable de las instalaciones de vigilar el cumplimiento de las presentes disposiciones, el cual contendrá:
I.        La relación de los hechos que llevaron a la Comisión a la conclusión de la existencia de un incumplimiento.
 
II.       El establecimiento de un plazo máximo de 48 horas, para que el funcionario responsable de las instalaciones rinda informe pormenorizado por escrito.
III.       Se marcará copia al superior jerárquico del funcionario para que coadyuve con la Comisión en el esclarecimiento de los hechos.
Artículo 49. El informe rendido por parte del funcionario responsable de PEMEX deberá contener, al menos:
I.        La presentación de documentos adicionales que permitan esclarecer las circunstancias de hecho respecto de la presunta infracción.
II.       Relación de nombres, puestos y, de ser el caso, la declaración de hechos firmados que deseen realizar los funcionarios y personal operativo involucrados.
III.       Plan de trabajo para remediar la infracción, señalando acciones y obligaciones concretas a los funcionarios y operadores responsables de garantizar el cumplimiento de los trabajos que se emprenderán para remediar la infracción.
IV.      PEMEX podrá solicitar una prórroga de otras 24 horas, por una sola ocasión, para poder rendir su informe.
Artículo 50. En caso de que PEMEX no rinda informe dentro del plazo otorgado, la Comisión deberá dictar las medidas necesarias, dentro de las siguientes 24 horas, para evitar los posibles efectos adversos generados por el incumplimiento de las presentes disposiciones.
Unicamente podrán dictarse las medidas a las que hace referencia el artículo 15 Ter de la Ley Reglamentaria del artículo 27 Constitucional en el Ramo del Petróleo, cuando alguna obra o instalación relacionada con el aprovechamiento, recuperación o destrucción controlada de gas, representen un peligro grave para las personas o sus bienes.
La Comisión podrá citar a los funcionarios de PEMEX responsables del cumplimiento de las presentes disposiciones, con el objeto de que comparezcan y rindan de forma personal su informe. Lo anterior, en términos de la fracción XIII del artículo 4 de la Ley de la Comisión Nacional de Hidrocarburos.
Artículo 51. Una vez agotado el término anterior, la Comisión contará con 24 horas, para emitir un dictamen sobre los hechos objeto del procedimiento, y aprobará el plan de trabajo propuesto por PEMEX y, en su caso, dictará medidas complementarias para garantizar la eliminación o disminución de los riesgos operacionales asociados la recuperación y destrucción de gas controlada.
El Dictamen emitido por la Comisión establecerá:
I.        Los términos en los que ésta supervisará el cumplimiento del plan de trabajo y la realización de las acciones concretas.
II.       Los objetivos y términos en los que se evaluará el cumplimiento y eficacia del plan de trabajo.
III.       La programación de visitas de verificación a las instalaciones de PEMEX, a efecto de evaluar la ejecución del plan de trabajo y su eficacia.
Artículo 52. Si durante la comparecencia de los funcionarios responsables por parte de PEMEX y de la ejecución del plan de trabajo, existe negligencia, falta de probidad, o negativa reiteradas por parte de sus funcionarios para acatar las resoluciones de ésta, la Comisión dará aviso al Organo Interno de Control, y a las demás autoridades responsables, para deslindar las responsabilidades administrativas penales o civiles que procedan. Lo anterior, sin detrimento de las sanciones que en términos de las fracciones I, VI y segundo párrafo del artículo 15 Bis de la Ley Reglamentaria del artículo 27 Constitucional en el ramo del Petróleo, la Comisión pueda dictar.
Artículo 53. PEMEX, a través de la Dirección General de PEMEX Exploración y Producción y la Comisión se reunirán dentro de los cinco días hábiles posteriores a la fecha en la que hayan concluido los trabajos programados para remediar el incumplimiento objeto del procedimiento y su verificación.
Lo anterior, con el objeto de realizar un balance conjunto de las incidencias del caso, e identificar las prácticas y políticas operativas inadecuadas y, de ser el caso, programar las inversiones necesarias para resarcir los perjuicios provocados por el incumplimiento.
Capítulo IX
De los proyectos especiales para campos en desarrollo, en proceso de abandono, o en explotación
Artículo 54. De conformidad con los apartados a) y f) del artículo 3 de la Ley de la Comisión Nacional de Hidrocarburos, del Tercero, Cuarto y Quinto Transitorios del Reglamento de la Ley Reglamentaria del Artículo 27 Constitucional en el Ramo del Petróleo, y en el marco de la revisión de los trabajos en curso en materia de exploración y explotación de hidrocarburos, para la modificación o, en su caso, sustitución de las asignaciones petroleras vigentes, PEMEX deberá elaborar y presentar para dictaminación de Comisión, la siguiente información:
I.        Diagnóstico, por campo en desarrollo, en proceso de abandono y en explotación, que contengan, al menos:
a.   Descripción de las condiciones geológicas y geográficas en las que se encuentre los pozos y yacimientos del campo.
b.   Comportamiento histórico de la extracción de crudo y la relación gas aceite, por pozo, yacimiento del campo.
c.   Instalaciones y equipo con el que se cuenta actualmente para realizar el aprovechamiento, conservación y, en su caso, la destrucción controlada de gas.
II.       Análisis económico de las alternativas, por campo, con el objeto de reducir al mínimo la destrucción de gas. Las alternativas se evaluarán conforme lo establecido en el Capítulo II de las presentes disposiciones, usando para tal efecto, la información con la que PEMEX cuenta del ciclo productivo del yacimiento.
III.       Propuesta de programa de trabajo para reducir al máximo la quema y el venteo de gas, el cual contendrá, al menos:
a.   Análisis de la composición y estado del campo, de acuerdo al momento del ciclo productivo en el que se encuentra el mismo.
b.   Comparativo de las mejores prácticas internacionales que refieren cuáles son las alternativas con las que se cuenta para alcanzar el objetivo.
c.   Inversiones comprometidas, a partir del próximo ejercicio fiscal, para desarrollar y aplicar las alternativas propuestas.
d.   Plan de trabajo que detalle el proceso al interior de la organización de PEMEX, así como las acciones concretas a desarrollar (FEL).
IV.      Manifiesto en el cual se establecen las metas, responsables y programa de trabajo. Lo anterior, en los términos y requisitos establecidos en el artículo 30 de las presentes disposiciones técnicas.
La Comisión emitirá sus observaciones y sugerencias al programa de trabajo referido en la fracción III del presente artículo, en los términos que se establecen en el artículo 30 de estas disposiciones, y con el objeto de elevar el índice de recuperación y la obtención del volumen máximo de gas natural de campos en desarrollo, en proceso de abandono y en explotación, así como para reducir o evitar la quema y el venteo de gas.
 
Artículo 55. Como parte de esta revisión, PEMEX y la Comisión establecerán los criterios de priorización para determinar programa de trabajo conjunto y un cronograma, que permita cumplir con el plazo de tres años definido en la fracción II, del Quinto Transitorio del Reglamento de la Ley Reglamentaria del Artículo 27 Constitucional el Ramo del Petróleo.
Para el caso particular del campo Cantarell, la Comisión revisará la situación que guardan los trabajos realizados en materia de quema y venteo de gas, a efecto de establecer con PEMEX un programa específico de trabajo en la materia, que termine en 2012. Dicho programa establecerá las siguientes metas:
I.        Dentro del primer año (2010) se realizará la revisión, y se elaborarán los planes y programas de trabajo a los que hace referencia el artículo anterior.
II.       Con la infraestructura actual, así como con las inversiones que se programen para el próximo ejercicio fiscal, PEMEX deberá llevar el campo al final de 2010, a los límites de aprovechamiento y conservación del gas que se reportaron en 2005.
III.       Entre el 2011 y el 2012, PEMEX deberá haber alcanzado de manera sostenida, el promedio nacional en el que se encuentre el límite máximo o techo en materia de quema y venteo de gas, al que hace referencia el artículo 5 de las presentes disposiciones.
Artículo 56. El seguimiento de los programas a desarrollar para el aprovechamiento, conservación o, en su caso, la destrucción controlada de gas, así como la verificación de su cumplimiento y demás procedimientos correctivos en casos de incumplimiento, se realizarán en los términos establecidos en los capítulos VI, VII y VIII.
TRANSITORIOS
PRIMERO. Las presentes disposiciones técnicas entrarán en vigor el día 1 de diciembre de 2009.
SEGUNDO. Estas disposiciones técnicas se aplicarán a los nuevos proyectos que quedarán sujetos a dictaminación por parte de la Comisión, en términos de la fracción V, del artículo 4 de la Ley de la Comisión Nacional de Hidrocarburos, hasta la publicación y entrada en vigor de los respectivos Lineamientos para el Diseño de los Proyectos de Exploración y explotación de Hidrocarburos.
TERCERO. En tanto la Comisión no emita las disposiciones técnicas en materia de medición referidas en los artículos 33 y 34, mantendrán su vigencia la normatividad interna de PEMEX.
CUARTO. La Comisión emitirá el manual de verificación de las instalaciones en materia de quema y venteo de gas al cual hace referencia el artículo 44 de las presentes disposiciones, dentro de los tres meses posteriores a la entrada en vigor de las presentes disposiciones.
Asimismo, en ausencia de publicación de las Normas Oficiales Mexicanas y los Procedimientos de Evaluación de la Conformidad a los que hace referencia el artículo 46 de las presentes disposiciones técnicas, la Comisión emitirá los instructivos por los que PEMEX realizará la revisión de los instrumentos de medición y pruebas de equipo y de operación de las instalaciones dedicadas la recuperación y destrucción controlada de gas.
QUINTO. A efecto de dar cumplimiento a lo dispuesto en el capítulo IX de las presentes disposiciones, PEMEX y la Comisión conformarán un grupo de trabajo, a efecto de establecer un programa de trabajo conjunto para la revisión de los proyectos en operación y su calendarización. Dicha revisión deberá comenzar, a más tardar, dentro del mes de febrero de 2010.
Para cumplir con este objetivo, PEMEX deberá presentar, dentro de los treinta días posteriores a la entrada en vigor de las presentes disposiciones, los planes de trabajo por campo que se tienen proyectados para el año 2010, en materia de quema y venteo de gas.
Dentro de dicho plan se especificarán los montos y la calendarización de inversiones en instalaciones y equipos, por campo, que se tiene proyectada realizar durante el 2010, así como la normativa interna y demás manuales o documentos que actualmente norman el manejo operativo de la quema y venteo de gas.
 
Asimismo, se elaborará un reporte a nivel nacional proyectado para el próximo año, conforme al artículo 5 de las presentes disposiciones.
SEXTO. Dentro del grupo de trabajo referido en el transitorio anterior, PEMEX y la Comisión revisarán la normativa y los manuales internos vigentes, a efecto de elaborar los instructivos y reportes a través de los cuales se notificarán los avances y cumplimiento de las obligaciones establecidas en las presentes disposiciones. Lo anterior, con el objeto de evitar duplicidades de información.
SEPTIMO. PEMEX definirá el nivel jerárquico de los responsables oficiales referidos en el artículo 30, que serán nombrados para supervisar el cumplimiento de las presentes disposiciones técnicas en las instalaciones, los cuales deberán contar con las facultades suficientes para ordenar las medidas operacionales que se requieran para evitar la quema o el venteo de gas.
México, D.F., a 12 de noviembre de 2009.- El Presidente de la Comisión Nacional de Hidrocarburos, Juan Carlos Zepeda.- Rúbrica.
(R.- 299287)