NORMA Oficial Mexicana NOM-247-SSA1-2008, Productos y servicios. Cereales y sus productos. Cereales, harinas de cereales, sémolas o semolinas. Alimentos a base de: cereales, semillas comestibles, de harinas, sémolas o semolinas o sus mezclas. Productos de panificación. Disposiciones y especificaciones sanitarias y nutrimentales. Métodos de prueba.
Al margen un sello con el Escudo Nacional, que dice: Estados Unidos Mexicanos.- Secretaría de Salud.
NORMA OFICIAL MEXICANA NOM-247-SSA1-2008, PRODUCTOS Y SERVICIOS. CEREALES Y SUS PRODUCTOS. CEREALES, HARINAS DE CEREALES, SEMOLAS O SEMOLINAS. ALIMENTOS A BASE DE: CEREALES, SEMILLAS COMESTIBLES, DE HARINAS, SEMOLAS O SEMOLINAS O SUS MEZCLAS. PRODUCTOS DE PANIFICACION. DISPOSICIONES Y ESPECIFICACIONES SANITARIAS Y NUTRIMENTALES. METODOS DE PRUEBA.
MIGUEL ANGEL TOSCANO VELASCO, Comisionado Federal para la Protección contra Riesgos Sanitarios y Presidente del Comité Consultivo Nacional de Normalización de Regulación y Fomento Sanitario, con fundamento en el artículo 39 fracción XXI de la Ley Orgánica de la Administración Pública Federal; 4o. de la Ley Federal del Procedimiento Administrativo; 3o. fracciones XXIV, 13 apartado A, fracciones I y II, 17 bis fracciones II y III, 17 bis2, 114, 115, fracción VII, 194 fracción I, 197, 199, 201, 205, 210, 212, 215 fracción I, 216 de la Ley General de Salud; 38 fracción II, 40 fracciones I, II y XI, 41, 43, 46, 47 fracciones III y IV de la Ley Federal de Metrología y Normalización; 28 del Reglamento de la Ley Federal sobre Metrología y Normalización; 1o. fracción VII, 4o., 8o., 13, 15, 25, 30, 112, 113, 116, y quinto transitorio del Reglamento de Control Sanitario de Productos y Servicios; 2o. inciso C, fracción X y 36 del Reglamento Interior de la Secretaría de Salud; 3o. fracción I inciso C y fracción II, 10 fracciones IV y VIII y 12 fracción III del Reglamento de la Comisión Federal para la Protección contra Riesgos Sanitarios, me permito ordenar la publicación en el Diario Oficial de la Federación de la Norma Oficial Mexicana NOM-SSA1-2008, Productos y servicios. Cereales y sus productos. Cereales, harinas de cereales, sémolas o semolinas. Alimentos a base de: cereales, semillas comestibles, de harinas, sémolas o semolinas o sus mezclas. Productos de panificación. Disposiciones y especificaciones sanitarias y nutrimentales. Métodos de prueba.
CONSIDERANDO
Que en cumplimiento a lo previsto en el artículo 46 fracción I de la Ley Federal sobre Metrología y Normalización, el Subcomité de Productos y Servicios presentó en el año de 2005 al Comité Consultivo Nacional de Normalización de Regulación y Fomento Sanitario, el anteproyecto de norma oficial mexicana.
Que con fecha 2 de junio de 2008, en cumplimiento del acuerdo del Comité y lo previsto en el artículo 47 fracción I, de la Ley federal sobre Metrología y Normalización, se publicó el Proyecto de Norma Oficial Mexicana PROY-NOM-247-SSA1-2005, Productos y servicios. Cereales y sus productos. Cereales, harinas de cereales, sémolas o semolinas. Alimentos a base de: cereales, semillas comestibles, de harinas, sémolas o semolinas o sus mezclas. Productos de panificación. Disposiciones y especificaciones sanitarias y nutrimentales. Métodos de prueba, en el Diario Oficial de la Federación, a efecto que dentro los sesenta días naturales posteriores a dicha publicación, los interesados presentarán sus comentarios al Comité Consultivo Nacional de Normalización de Regulación y Fomento Sanitario.
Que con fecha previa, fueron publicadas en el Diario Oficial de la Federación, las respuestas a los comentarios recibidos por el mencionado Comité, en los términos del artículo 47 fracción III de la Ley Federal sobre Metrología y Normalización.
Que en atención a las anteriores consideraciones, contando con la aprobación del Comité Consultivo Nacional de Normalización de Regulación y Fomento Sanitario, se expide la siguiente:
NORMA OFICIAL MEXICANA NOM-247-SSA1-2008, PRODUCTOS Y SERVICIOS. CEREALES Y SUS
PRODUCTOS. CEREALES, HARINAS DE CEREALES, SEMOLAS O SEMOLINAS. ALIMENTOS A BASE
DE: CEREALES, SEMILLAS COMESTIBLES, DE HARINAS, SEMOLAS O SEMOLINAS O SUS MEZCLAS.
PRODUCTOS DE PANIFICACION. DISPOSICIONES Y ESPECIFICACIONES SANITARIAS Y
NUTRIMENTALES. METODOS DE PRUEBA
PREFACIO
En la revisión de la presente Norma participaron los siguientes organismos e instituciones:
SECRETARIA DE SALUD
Comisión Federal para la Protección contra Riesgos Sanitarios
INSTITUTO NACIONAL DE SALUD PUBLICA
INSTITUTO NACIONAL DE CIENCIAS MEDICAS Y DE NUTRICION "SALVADOR ZUBIRAN"
PRODUCTOS ALIMENTICIOS LA MODERNA, S.A. DE C.V.
DEUTSCHE QUIMICA, S.A. DE C.V.
MUHLENCHEMIE GMBH
UNILEVER DE MEXICO, S. DE R.L. DE C.V.
COMPAÑIA NESTLE, S.A. DE C.V.
KELLOGG COMPANY MEXICO, S. DE R.L. DE C.V.
GRUPO ALTEX S.A. DE C.V.
GRUPO TRIMEX S.A. DE C.V.
MOLINO DE TRIGO EL PILAR, S.A. DE C.V.
PROBST, S.A. DE C.V.
DSM NUTRITIONAL PRODUCTS MEXICO, S.A. DE C.V.
CAMARA NACIONAL DE LA INDUSTRIA MOLINERA DE TRIGO
GRUPO MAIZ INDUSTRIALIZADO, S.A. DE C.V.
FABRICA DE HARINAS ELIZONDO, S.A. DE C.V.
CAMARA NACIONAL DE LA INDUSTRIA DE LA PANIFICACION
CAMARA NACIONAL DE MAIZ INDUSTRIALIZADO
ASOCIACION MEXICANA DE INDUSTRIALES DE GALLETAS Y PASTAS
KRAFT FOODS DE MEXICO, S. DE R.L. DE C.V.
INDICE
1. OBJETIVO Y CAMPO DE APLICACION
2. REFERENCIAS
3. DEFINICIONES
4. SIMBOLOS Y ABREVIATURAS
5. ESPECIFICACIONES SANITARIAS
5.1 GENERALES
5.2. ESPECIFICAS
5.2.1 TRANSPORTE Y ALMACENAMIENTO DE CEREALES DESTINADOS PARA CONSUMO HUMANO
5.2.2 HARINAS DE CEREALES, SEMOLAS O SEMOLINAS
5.2.3 ALIMENTOS A BASE DE CEREALES, SEMILLAS COMESTIBLES, HARINAS, SEMOLAS O SEMOLINAS, O SUS MEZCLAS
5.2.4 PRODUCTOS DE PANIFICACION
6. MUESTREO
7. METODOS DE PRUEBA
8. ETIQUETADO
9. ENVASE Y EMBALAJE
10. CONCORDANCIA CON NORMAS INTERNACIONALES
11. BIBLIOGRAFIA
12. OBSERVANCIA DE LA NORMA
13. VIGENCIA
14. ANEXOS
APENDICES NORMATIVOS
Apéndice Normativo A: Aditivos para alimentos
Apéndice Normativo B: Muestreo de cereales
Apéndice Normativo C: Métodos de prueba
1. Objetivo y campo de aplicación
1.1 Esta Norma Oficial Mexicana establece las disposiciones y especificaciones sanitarias que deben cumplir el transporte y almacenamiento de cereales destinados para consumo humano, así como el proceso de las harinas de cereales, sémolas o semolinas, alimentos preparados a base de cereales, de semillas comestibles, de harinas, de sémolas o semolinas o sus mezclas y los productos de panificación.
1.2 No son objeto de esta norma, las botanas y los alimentos a base de cereales para lactantes y niños de corta edad.
1.3 Esta Norma Oficial Mexicana establece los nutrimentos que se deben adicionar y restituir en las harinas de trigo y de maíz nixtamalizado y su nivel de adición, exceptuándose las utilizadas para: frituras, como texturizantes o espesantes y base para harinas preparadas.
1.4 Esta Norma Oficial Mexicana es de observancia obligatoria en el Territorio Nacional para las personas físicas o morales que se dedican al proceso o importación de los productos objeto de esta Norma destinados a los consumidores en el Territorio Nacional.
2. Referencias
Esta norma se complementa con las siguientes normas oficiales mexicanas o las que la sustituyan:
- Modificación a la Norma Oficial Mexicana NOM-028-FITO-1995, Por la que se establecen los requisitos fitosanitarios y especificaciones para la importación de granos y semillas, excepto para siembra.
- NOM-086-SSA1-1994, Bienes y servicios. Alimentos y bebidas no alcohólicas con modificaciones en su composición. Especificaciones nutrimentales.
- NOM-120-SSA1-1994, Bienes y servicios. Prácticas de higiene y sanidad para el proceso de alimentos, bebidas no alcohólicas y alcohólicas.
- Modificación a la NOM-127-SSA1-1994, Salud ambiental, agua para uso y consumo humano. Límites permisibles de calidad y tratamientos a que debe someterse el agua para su potabilización.
3. Definiciones
Para fines de esta norma se entiende por:
3.1 Adicionar, añadir uno o más nutrimentos, contenidos o no normalmente en el producto.
3.2 Aditivo, cualquier sustancia que en cuanto tal no se consume normalmente como alimento, ni tampoco se usa como ingrediente básico en alimentos, tenga o no valor nutritivo, y cuya adición al alimento con fines tecnológicos (incluidos los organolépticos) en sus fases de producción, elaboración, preparación, tratamiento, envasado, empaquetado, transporte o almacenamiento, resulte o pueda preverse razonablemente que resulte (directa o indirectamente) por sí o sus subproductos, en un componente del alimento o un elemento que afecte a sus características. Esta definición no incluye "contaminantes" o sustancias añadidas al alimento para mantener o mejorar las cualidades nutricionales.
3.3 Aflatoxinas, a los metabolitos secundarios producidos por hongos Aspergillus flavus, Aspergillus parasiticus y Aspergillus nomius, que tienen efectos tóxicos y cancerígenos en animales, incluido el hombre.
3.4 Alimento, cualquier sustancia o producto, sólido o semisólido, natural o transformado que proporciona al organismo elementos para su nutrición.
3.5 Alimentos y bebidas no alcohólicas con modificaciones en su composición, a los productos a los que se les han introducido cambios por adición, disminución o eliminación de uno o más de sus nutrimentos, tales como hidratos de carbono, proteínas, lípidos, vitaminas y minerales, y que forman parte de la dieta habitual.
3.6 Alimentos preparados a base de: cereales, semillas comestibles, de harinas, sémolas o semolinas o sus mezclas, a los productos alimenticios, elaborados a base de granos de cereales u otros granos y semillas comestibles, enteros o sus partes o molidos (harinas, sémolas o semolinas), preparados mediante procesos físicos, aptos para ser consumidos directamente o previa cocción, adicionados o no de aditivos y de otros ingredientes opcionales. Estos productos se pueden preparar por procesos tales como: inflado, laminado, recubrimiento, tostado, extruido, aglomeración u otros.
3.7 Azúcares, todos los monosacáridos y disacáridos presentes en un alimento o bebida no alcohólica.
3.8 Biodisponibilidad, propiedad de un nutrimento que indica la proporción de éste que es absorbida y utilizada por el organismo a partir de un alimento cuantificada por métodos experimentales reconocidos.
3.9 Cereales, a los granos comestibles de ciertas plantas pertenecientes a la familia de las gramíneas de un solo cotiledón tales como: trigo, maíz, arroz, avena, centeno, cebada, sorgo y amaranto, entre otros.
3.10 Coaduyante de elaboración, a la sustancia o materia, excluidos aparatos, utensilios y aditivos, que no se consume como ingrediente alimenticio por sí misma, y se emplea intencionalmente en la elaboración de materias primas, alimentos o sus ingredientes, para lograr alguna finalidad tecnológica durante el tratamiento o la elaboración, que puede dar lugar a la presencia no intencionada pero inevitable, de residuos o derivados en el producto final.
3.11 Cobertura, al ingrediente que se adiciona al producto de panificación de forma que lo cubra total o parcialmente.
3.12 Consumidor, persona física o moral, que adquiere o disfruta como destinatario final productos preenvasados. No es consumidor quien adquiera, almacene o utilice alimentos y bebidas no alcohólicas preenvasados, con objeto de integrarlos en proceso de producción, transformación, comercialización o prestación de servicios a terceros.
3.13 Dosis, al contenido de un principio activo de cada componente en la fórmula de las premezclas de micronutrimentos, independientemente del peso del compuesto químico que lo contiene y que ha sido recomendado.
3.14 Embalaje, material que envuelve, contiene y protege los productos preenvasados, para efectos de su almacenamiento y transporte.
3.15 Envase o envase primario, cualquier recipiente o envoltura en el cual está contenido el producto preenvasado para su venta al consumidor.
3.16 Envase colectivo o múltiple, cualquier recipiente o envoltura en el que se encuentran contenidos dos o más unidades iguales o diferentes de productos preenvasados, destinados para su venta al consumidor en dicha presentación.
3.17 Etiqueta, cualquier rótulo, marbete, descripción, imagen u otra materia descriptiva o gráfica, escrita, impresa, estarcida, marcada, grabada en alto o bajo relieve adherida o sobrepuesta al envase del producto preenvasado o cuando no sea posible por las características del producto, al embalaje.
3.18 Fecha de caducidad, a la fecha límite en que se considera que un producto preenvasado almacenado en las condiciones sugeridas por el fabricante, reduce o elimina las características sanitarias que debe reunir para su consumo. Después de esta fecha no debe comercializarse ni consumirse.
3.19 Fecha de consumo preferente, fecha en la que, almacenado bajo condiciones sugeridas por el responsable del producto, expira el periodo durante el cual el producto preenvasado es comercializable y mantiene las cualidades específicas se le atribuyen tácita o explícitamente, pero después de la cual el producto preenvasado puede ser consumido.
3.20 Galleta, al producto elaborado fundamentalmente, por una mezcla de harina de trigo u otros cereales, grasas, aceites comestibles o sus mezclas y agua, con o sin relleno, adicionada o no de azúcares, de otros ingredientes opcionales y aditivos para alimentos, sometida a proceso de amasado o batido, y otros procesos como fermentación, modelado, troquelado y posterior tratamiento térmico, dando lugar a un producto de presentación muy variada, caracterizado por su bajo contenido en agua.
3.21 Grano entero, cereal de granos intactos que al someterse a un proceso de molienda, rompimiento, hojuelado entre otros conserva sus principales componentes anatómicos y están presentes en una proporción relativamente igual a la existente en el grano intacto original, logrando esto de manera natural o a través de
medios tecnológicos.
3.22 Harina o Harina de trigo, a la obtenida de la molienda del trigo del grano maduro, entero, quebrado, y seco del género Triticum, L; de las especies T. vulgare, T. compactum y T. durum o mezclas de éstas, limpio, en el que se elimina gran parte del salvado y germen y el resto se tritura hasta obtener un grano de finura adecuada.
3.23 Harina de arroz, al producto resultante de la molienda del grano de arroz; maduro, limpio, entero o quebrado y seco de la especie Oriza sativa, L; blanco o ligeramente amarillento, el cual puede presentarse con o sin pericarpio, sin glumas y pulido.
3.24 Harina de avena, al producto resultante de la molienda del grano de avena; maduro, limpio, entero y seco de la especie Avena sativa, L; y que además está libre de sus envolturas celulósicas.
3.25 Harina de cebada, al producto resultante de la molienda del grano de cebada; maduro, limpio, entero y seco de la especie Hordeum vulgare.
3.26 Harina de centeno, al producto resultante de la molienda del grano de centeno; maduro, limpio, entero y seco, de la especie Secale cereale; sin envolturas celulósicas.
3.27 Harina de cereales, al producto resultante de la mezcla de 2 o más, cereales o harinas de cereales.
3.28 Harina de grano entero, al producto obtenido de la molienda del grano de cereal que conserva la cáscara y sus otros constituyentes en una proporción relativa similar a la del grano intacto original, lográndose esto ya sea de manera natural o por medios tecnológicos.
3.29 Harina de maíz, al producto resultante de la molienda húmeda o seca de los granos de maíz; maduro, limpio y seco del género Zea, L; especies Z. mays y otras.
3.30 Harina de maíz nixtamalizado, al producto deshidratado que se obtiene de la molienda de los granos del maíz nixtamalizado.
3.31 Harina integral, al producto obtenido de la molienda del grano de cereal que conserva su cáscara y sus otros constituyentes.
3.32 Información o etiquetado nutrimental, relación o enumeración del contenido de nutrimentos de un alimento o bebida no alcohólica preenvasado. Comprende dos aspectos:
a) Información nutrimental básica.
b) Información nutrimental complementaria.
3.33 Ingredientes opcionales, a los que se pueden adicionar al producto, tales como azúcares naturales, mieles, frutas u otros productos comestibles, sus mezclas o derivados.
3.34 Inocuo, lo que no hace o causa daño a la salud.
3.35 Límite máximo, a la cantidad establecida de aditivos, microorganismos, parásitos, materia extraña, plaguicidas, radionúclidos, biotoxinas, residuos de medicamentos, metales pesados y metaloides que no se deben exceder en un alimento, bebida o materia prima.
3.36 Lote, a la cantidad de un producto, elaborado en un mismo ciclo, integrado por unidades homogéneas.
3.37 Maíz nixtamalizado o nixtamal, al maíz sano y limpio que ha sido sometido a cocción parcial con agua en presencia de hidróxido de calcio (cal), u otro material alcalino.
3.38 Materia extraña, al material orgánico o inorgánico, ligero o pesado, cuya presencia en el producto no es deseable y que por arriba de un límite máximo se estima contaminante, considerándose entre otros: excretas, pelos de cualquier especie, fragmentos de insectos, material plástico y otros objetos.
3.39 Metal pesado o metaloide, a los elementos químicos que causan efectos indeseables en el metabolismo aun en concentraciones bajas. Su toxicidad depende de las dosis en que se ingieran así como de su acumulación en el organismo.
3.40 Métodos de prueba, a los procedimientos analíticos utilizados en el laboratorio para comprobar que un producto satisface las especificaciones que establece esta Norma.
3.41 Mezcla de Vitaminas y Minerales o premezclas, al conjunto de nutrimentos que se deben adicionar, en los términos y cantidades especificados para cada caso.
3.42 Molienda o molturación, al mecanismo mediante el cual los granos de los cereales son triturados y reducidos a partículas de diversos tamaños, separables entre sí por medios mecánicos.
3.43 Muestra, al número total de unidades de producto provenientes de un lote y que representan las características y condiciones del mismo.
3.44 Nutrimento, cualquier sustancia incluyendo a las proteínas, grasas o lípidos, carbohidratos o hidratos de carbono, agua, vitaminas y minerales consumidos normalmente como componente de un alimento o bebida no alcohólica que:
a) proporciona energía; o
b) es necesario para el crecimiento, el desarrollo y el mantenimiento de la vida; o
c) cuya carencia haga que se produzcan cambios químicos o fisiológicos característicos.
3.45 Pan blanco, al producto que resulta de hornear una masa obtenida de harina fermentada, agua y sal, acondicionadores y mejoradores de masa, adicionado o no de aceites y grasas comestibles, leche, otros ingredientes y aditivos para alimentos.
3.46 Pan de harina integral, al producto que resulta de la panificación de la masa fermentada, preparada con mezclas de harina de trigo integrales, harinas de cereales integrales o harina de leguminosas, agua, sal, azúcares, grasas comestibles, otros ingredientes opcionales y aditivos para alimentos.
3.47 Pan dulce, al producto que puede ser elaborado con harina, agua, huevo, azúcares, grasas o aceites comestibles, levaduras, al que se le pueden o no incorporar aditivos para alimentos, frutas en cualquiera de sus presentaciones, sal y leche; amasado, fermentado, moldeado y cocido al horno o por fritura en grasas o aceites comestibles.
3.48 Pasta, producto obtenido por el amasado mecánico de sémola, semolina, harinas o cualquier combinación de éstas procedentes de trigos con agua y otros ingredientes opcionales permitidos, moldeado, laminado o extruido y sometido o no a un proceso térmico de desecación.
3.49 Pastel o panqué, al producto que se somete a batido y horneado, preparado con harinas de cereales o leguminosas, azúcares, grasas o aceites, leudante y sal; adicionada o no de huevo y leche, crema batida, frutas y otros ingredientes opcionales y aditivos para alimentos.
3.50 Pay, al producto elaborado con harina de cereales o galleta molida, azúcares, agua y sal, con o sin leudante, grasas o aceites comestibles, fruta, crema pastelera, ingredientes opcionales y aditivos para alimentos; moldeado en forma de corteza para contener un relleno dulce o salado, puede ser cubierto horneado, frito o congelado.
3.51 Plaguicidas, a cualquier sustancia o mezcla de sustancias utilizadas para prevenir, destruir, repeler o mitigar cualquier forma de vida que sea nociva para la salud, los bienes del hombre o del ambiente, excepto la que exista sobre o dentro del ser humano y los protozoarios, virus, bacterias, hongos y otros microorganismos similares sobre o dentro de los animales.
3.52 Prácticas de Higiene, medidas necesarias para garantizar la inocuidad de los productos.
3.53 Proceso, al conjunto de actividades relativas a la obtención, elaboración, fabricación, preparación, conservación, mezclado, acondicionamiento, envasado, manipulación, transporte, distribución, almacenamiento y expendio o suministro al público de productos.
3.54 Producto a granel, al producto que debe pesarse, medirse o contarse en presencia del consumidor por no encontrarse preenvasado al momento de su venta.
3.55 Productos de bollería, a los que son cocidos por horneado de la masa fermentada preparada con harina de trigo, u otros cereales, agua, sal, azúcares, grasas comestibles, leudante, aditivos para alimentos e ingredientes opcionales.
3.56 Productos de panificación, a los obtenidos de las mezclas de harinas de cereales o harinas integrales o leguminosas, agua potable, fermentados o no, que pueden contener: mantequilla, margarina, aceites comestibles, grasas vegetales, sal, leudantes, polvo de hornear y otros aditivos para alimentos, especias y otros ingredientes opcionales tales como, azúcares, mieles, frutas, jugos, granos y semillas comestibles, entre otros; sometidos a proceso de horneado, cocción o fritura; con o sin relleno o con cobertura, pueden ser mantenidos a temperatura ambiente, en refrigeración o en congelación según el caso.
3.57 Producto preenvasado, los alimentos y bebidas no alcohólicas que cuando son colocados en un envase de cualquier naturaleza en ausencia del consumidor y la cantidad de producto contenida en él no puede ser alterada, al menos que el envase sea abierto o modificado perceptiblemente.
3.58 Restitución se entiende la adición, a un alimento, de un nutriente o nutrientes, que se hayan perdido en el curso de unas buenas prácticas de fabricación o durante los procedimientos normales de almacenamiento y manipulación, en cantidades tales que den lugar a la presencia en el alimento de las concentraciones de nutriente o nutrientes presentes en la parte comestible del alimento antes de su elaboración, almacenamiento o manipulación.
3.59 Refrigeración, al método de conservación físico con el cual se mantiene el producto a una temperatura máxima de 7°C (280 K).
3.60 Relleno, al ingrediente agregado antes o después del horneado y que se encuentra en la parte interna o entre dos o más unidades de los productos de panificación.
3.61 Sémolas o semolinas, a las fracciones de granulometría diferentes a las de las harinas derivadas de la molienda de cereales, libre de tegumentos y germen.
3.62 Semillas comestibles, a las que se consumen de forma directa o se utilizan en la elaboración de otros productos, como: leguminosas, semillas de calabaza y girasol, entre otras.
4. Símbolos y abreviaturas
Cuando en esta norma se haga referencia a los siguientes símbolos y abreviaturas se entiende por:
AF aflatoxinas
Alc.Vol. alcohol volumen
As arsénico
BPF buenas prácticas de fabricación
CE coeficiente de extinción
Cd cadmio
cm centímetro
cSt centistoke
C.I. color index
e constante de proporcionalidad
°C grado Celsius
IDR Ingesta Diaria Recomendada
K grado Kelvin
g gramo
h hora
= igual
Kcal kilocaloría
kg kilogramo
kJ kilojoule
L levógiro
LMR límite máximo residual
± más-menos
> mayor que
< menor que
< menor o igual a
HPLC cromatografía líquida de alta resolución
mg microgramo
m metro
mg miligramo
ml mililitro
ml microlitro
mm micrómetro
mm milímetro
m/m masa masa
MM milimolar
min minuto
M molar
N normal
ng nanogramo
nm nanómetro
NMP número más probable
No número
Ø diámetro
p peso
Pb plomo
PBS solución amortiguadora de fosfatos
pH potencial de hidrógeno
p/p peso peso
p/v peso volumen
spp cualquier especie
ton toneladas
ton/min toneladas por minuto
v/v volumen volumen
X poder de resolución
/ por
x por
% por ciento
UFC unidades formadoras de colonias
v volumen
Cuando en la presente norma se mencione a:
Acuerdo, debe entenderse que se trata del Acuerdo por el que se determinan las sustancias permitidas como aditivos y coadyuvantes en alimentos, bebidas y suplementos alimenticios y sus modificaciones.
CICOPLAFEST, debe entenderse que se trata de la Comisión Intersecretarial para el Control del Proceso y uso de Plaguicidas, Fertilizantes y Sustancias Tóxicas.
Ley, debe entenderse que se trata de la Ley General de Salud
Reglamento, debe entenderse que se trata del Reglamento de Control Sanitario de Productos y Servicios.
Secretaría, debe entenderse que se trata de la Secretaría de Salud.
5. Especificaciones sanitarias
5.1 Generales.
Las materias primas que se empleen para la elaboración de los productos objeto de esta norma, deben cumplir con lo establecido en el Reglamento y las Normas Oficiales Mexicanas correspondientes.
5.1.1 En el proceso de los productos objeto de esta Norma, se deben aplicar las prácticas de higiene y sanidad establecidas en la NOM-120-SSA1-1994, señalada en el apartado de referencias.
5.1.2 El agua que se utilice en el proceso deberá cumplir con el límite permisible de cloro residual libre y de organismos coliformes totales y fecales establecidos en la NOM-127-SSA-1-1994 señalada en el apartado de referencias.
5.1.3 Los productos objeto de esta norma con modificaciones en su composición, deben sujetarse a lo establecido en el Reglamento y en la NOM-086-SSAI-1994, señalada en el apartado de referencias
5.1.4 El proveedor de las materias primas, las unidades de transporte y los establecimientos en donde se procesen o comercialicen los productos objeto de esta Norma, cada uno en el ámbito de su responsabilidad, sólo podrán utilizar plaguicidas autorizados por la Secretaría en el marco de coordinación de la CICOPLAFEST.
5.2 Específicas
5.2.1 Transporte y almacenamiento de cereales destinados para consumo humano.
5.2.1.1 Las unidades de transporte deben someterse a limpieza, hasta eliminar suciedad, residuos vegetales, tierra, excretas, restos de animales, fauna nociva, telarañas, productos químicos, sus envases, o cualquier producto o sustancia nociva para el producto.
5.2.1.2 Cereales de importación deben sujetarse a lo que se establece en la NOM-028-FITO-1995, señalada en el apartado de referencias.
5.2.1.3 Las bodegas y almacenamiento en intemperie deben dar aviso de funcionamiento conforme lo indica el artículo 200 bis de la Ley mediante trámite SSA-04-001-A Aviso de funcionamiento, además de cumplir con lo siguiente:
i) Establecer por escrito, en su caso, los lugares en los que se almacenarán cereales que rebasen el límite máximo de AF señalado en esta Norma.
ii) En el caso de los almacenamientos en intemperie, deben contar con dispositivos que eviten el contacto de los cereales con el suelo y contar con termopares. Los contenedores no deben presentar filtraciones o roturas.
iii) Las bodegas deben ser edificios provistos de paredes, pisos y puertas, techados o que puedan ser cubiertos, en los que no deben existir goteras, nidos, fisuras o puertas en mal estado. Asimismo deben contar con termopares y estar colocados en diferentes puntos del almacén para el monitoreo de la temperatura.
iv) Durante el almacenamiento:
iv.1) No deben almacenarse en la misma bodega cereales con concentraciones mayores de 20 mg/kg de AF.
iv.2) Durante la recepción, el grano debe ser secado a la brevedad hasta alcanzar una humedad menor o igual 14,5 %, misma que se debe conservar o disminuir durante todo el tiempo que permanezca almacenado.
iv.3) Se permite la aplicación a los cereales de fungistato, siempre y cuando se emplee de acuerdo con las instrucciones del fabricante especificadas en la etiqueta.
iv.4) Los cereales no podrán estar en contacto directo con el piso.
v) Contaminantes.
| Determinación | Límite máximo |
| Aflatoxinas | 20 mg/kg |
vi) Para efectos de control, el almacenamiento debe documentarse en bitácoras o registros de manera que garantice los requisitos establecidos en la Tabla 1. Los registros o bitácoras incluyendo los que se elaboren por medios electrónicos deben:
vi.1) Contar con respaldos que aseguren la veracidad de la información y un procedimiento para la prevención de acceso y correcciones no controladas.
vi.2) Conservarse por lo menos durante un año y estar a disposición de la autoridad sanitaria cuando así lo requiera.
vi.3) El diseño del formato queda bajo la responsabilidad del particular.
Tabla 1. Información mínima de las bitácoras o registros
| Registro de: | Información |
| Almacenamiento | a) Lugares donde se almacenarán los cereales que rebasen el límite máximo. b) Origen de los productos. c) Fechas de recepción y de movilización de los productos. d) Localización de los puntos de calentamiento (en su caso). |
| Análisis del producto | a) Físicos del grano: - Porcentaje de humedad. - Porcentaje de grano dañado. - Porcentaje de plagas. - Temperatura. - Resultados. - Fechas. b) Aflatoxinas: - Resultados. - Zonas muestreadas. - Fechas. - Método(s) utilizado(s). |
5.2.2 Harinas de cereales, sémolas o semolinas
Los cereales que se empleen como materia prima en la elaboración de los productos objeto de este apartado deben ajustarse a la siguiente disposición:
5.2.2.1 El productor de grano, el comercializador del mismo y el industrial, cada uno en el ámbito de su responsabilidad deben observar que los plaguicidas que se empleen en el tratamiento de granos y semillas almacenados, en medios de transporte, en áreas de almacenamiento, espacios vacíos y para el control de roedores, así como para la desinfestación y protección de granos almacenados a granel o en costales, cumplan con los límites de uso y no excedan los niveles máximos residuales establecidos en el Catálogo de Plaguicidas de la CICOPLAFEST.
5.2.2.2 Los productos objeto de este apartado, además de sujetarse a lo establecido en el Reglamento deben cumplir con las siguientes especificaciones:
5.2.2.3 Físicas
| Determinación | Límite máximo |
| Humedad | 15% |
| Materia extraña | No más de 50 fragmentos de insectos, no más de un pelo de roedor y estar exentos de excretas, en 50 g de producto. |
5.2.2.4 Microbiológicas
| | Mesofílicos aerobios UFC/g | Coliformes Totales UFC/g | Hongos UFC/g |
| Harina de trigo, sémolas o semolinas | 50,000 | NA | 300 |
| Harina de maíz | 100,000 | 100 | 1000 |
| Harina de maíz nixtamalizada | 50,000 | 100 | 1000 |
| Harina de centeno | 100,000 | 100 | 200 |
| Harina de cebada | 100,000 | 100 | 200 |
| Harina de avena | 50,000 | 50 | 100 |
| Harina de arroz | 100,000 | 100 | 200 |
| Harinas integrales | 500,000 | 500 | 500 |
| Harinas integrales de trigo | 500,000 | NA | NA |
NA = No Aplica
5.2.2.5 Contaminantes
| Determinación | Límite máximo µg / kg |
| Aflatoxinas | 20 |
| Aflatoxinas para harina de maíz nixtamalizado | 12 |
5.2.2.6 Los productos objeto de este apartado deberán someterse a análisis para las determinaciones de Pb y Cd periódicamente para efectos de monitoreo. Los niveles de referencia (informativos) se establecen en el siguiente cuadro.
| Metales Pesados | Límite máximo mg/kg |
| Plomo (Pb) | 0,5 |
| Cadmio (Cd) | 0,1 |
5.2.2.7 Especificaciones nutrimentales
i) Las harinas de trigo y de maíz nixtamalizado deben ser restituidas con los siguientes nutrimentos y en los niveles que se indican a continuación.
| Nutrimento | Nivel mínimo de adición mg/kg de harina | Fuente recomendada |
| Tiamina (vitamina B1) | 5 | Mononitrato de tiamina |
| Riboflavina (vitamina B2) | 3 | Riboflavina |
| Niacina (vitamina B3) | 35 | Nicotinamida |
ii) Las harinas de trigo y de maíz nixtamalizado deben ser adicionadas con los siguientes nutrimentos y en los niveles que se indican a continuación.
| Nutrimento | Nivel mínimo de adición mg/kg de harina | Fuente recomendada |
| Acido fólico | 2 | Acido fólico |
| Hierro (como ión ferroso) | 40 | Sulfato o fumarato ferroso |
| Zinc | 40 | Oxido de zinc |
ii.1) Cuando se utilice sulfato ferroso como fuente de hierro, el aporte debe ser de 31,61% como ión ferroso; si se utiliza fumarato ferroso el aporte será de 31,4%
ii.2) Cuando se utilice óxido de zinc como fuente de zinc, el aporte del mismo corresponderá al 79,54%.
ii.3) Se podrán utilizar otras fuentes de hierro y zinc, siempre que la cantidad biodisponible sea, al menos, equivalente a la de las fuentes recomendadas.
iii) Quedan exentas de la restitución y adición de micronutrimentos los siguientes productos:
iii.1) Harinas para uso industrial distinto al consumo humano.
iii.2) Las sémolas y semolinas para pastas, en las que la restitución y adición podrá hacerse en la elaboración de la pasta, debiendo cumplir con los mismos niveles de adición; excepto para zinc.
iv) Para efectos de control, los establecimientos que procesan harinas de trigo y de maíz nixtamalizado deberán contar con la siguiente información relativa a la restitución y adición de nutrimentos:
iv.1) Procedimientos escritos del proceso de restitución y adición y de los controles aplicados para garantizar su eficiencia, incluidas las medidas correctivas que se aplicarán en caso de desviaciones.
iv.2) Registro de las variables críticas del proceso que demuestren que se cumplen los procedimientos de restitución y adición, incluyendo reportes de las acciones correctivas aplicadas cuando se detecten desviaciones o incumplimiento de las especificaciones nutrimentales y resultados de análisis de producto terminado (autocontroles).
v) Las premezclas de nutrimentos deberán cumplir con lo siguiente:
v.1) La dosis deberá ser suficiente para alcanzar el nivel mínimo de cada nutrimento para la restitución y adición en mg/kg de harina.
v.2) El envase debe de garantizar la estabilidad e integridad de los nutrimentos, es necesaria la protección a la luz, los materiales deben ser grado alimenticio.
v.3) Para estabilidad y almacenamiento se deben seguir las indicaciones del fabricante, en la especificación, hoja de seguridad y/o certificado de análisis.
vi) Deberá contarse con la evidencia documental que garantice que las harinas que no han sido restituidas y adicionadas serán destinadas para: frituras, como texturizante o espesante o como base para harinas preparadas.
5.2.2.8 Aditivos para alimentos.
Sólo está permitido utilizar los aditivos señalados en el Apéndice Normativo A.
5.2.3 Alimentos a base de cereales, de semillas comestibles, harinas, sémolas o semolinas o sus mezclas
Los productos objeto de este apartado, deben cumplir con las siguientes especificaciones:
5.2.3.1 Microbiológicas.
| Especificaciones | Límite máximo |
| Mesofílicos aerobios | 10 000 UFC/g |
| Hongos | 300 UFC/g |
| Coliformes totales | <30 UFC/g |
| *Salmonella spp en 25 g | negativa |
* Sólo para pastas con huevo
5.2.3.2 Deberán someterse a análisis para las determinaciones de Pb y Cd, periódicamente para efectos de monitoreo. Los niveles de referencia se establecen en el cuadro del numeral 5.2.2.6.
5.2.3.3 Materia extraña.
No más de 50 fragmentos de insectos, no más de un pelo de roedor y estar exentos de excretas, en 50 g de producto.
5.2.3.4 Aditivos para alimentos.
Solamente están permitidos los aditivos señalados en el Apéndice Normativo A.
5.2.4 Productos de panificación
5.2.4.1 Con el fin de establecer las especificaciones sanitarias por sus características, los productos objeto de este apartado se clasifican en:
Galletas.
Galletas con relleno o cobertura o sus combinaciones.
Pan blanco.
Pan dulce.
Pan de harinas integrales.
Pastel y panqué.
Pays.
Productos de bollería.
5.2.4.2 Los productos objeto de este apartado, además de cumplir con lo establecido en el Reglamento deben ajustarse a las siguientes especificaciones:
i) Cuando se emplee alcohol etílico como ingrediente, éste no debe exceder del 1,99% p/p
ii) Microbiológicas.
ii.1) Para el pan blanco, pan de harinas integrales y productos de bollería:
| Especificaciones | Límite máximo |
| Mesofílicos aerobios | 1000 UFC/g |
| Coliformes totales | <10 UFC/g |
ii.2) Pan dulce:
| Especificaciones | Límite máximo |
| Mesofílicos aerobios | 5000 UFC/g |
| Coliformes totales | 20 UFC/g |
| Staphylococcus aureus * | < 100 UFC/g |
* Debe determinarse únicamente en el producto que contenga relleno o cobertura a base de huevo, leche, crema pastelera u otro alimento preparado.
ii.3) Galletas:
| Especificaciones | Límite máximo |
| Mesofílicos aerobios | 3000 UFC/g |
| Coliformes totales | <10 UFC/g |
ii.4) Galletas con relleno o cobertura o sus combinaciones:
| Especificaciones | Límite máximo |
| Mesofílicos aerobios | 5000 UFC/g |
| Coliformes totales | 20 UFC/g |
ii.5) Pasteles, panqués y pays:
| Especificaciones | Límite máximo |
| Mesofílicos aerobios | 10000 UFC/g |
| Coliformes totales | 20 UFC/g |
| Salmonella spp en 25 g | Negativo |
| Escherichia coli* | Negativo |
| Staphylococcus aureus ** | 100 UFC/g |
*Se determinará únicamente bajo situaciones de emergencia sanitaria, cuando la Secretaría de acuerdo al muestreo y los resultados de los análisis microbiológicos detecte la presencia de dicho microorganismo.
** Esta especificación debe determinarse únicamente en pasteles y pays, que contengan relleno o cobertura a base de huevo, leche, crema pastelera u otro alimento preparado.
5.2.4.3 Materia extraña.
No más de 50 fragmentos de insectos, no más de un pelo de roedor y estar exentos de excretas, en 50 g de producto.
5.2.4.4 Los productos objeto de este apartado deberán someterse a análisis para las determinaciones de Pb y Cd periódicamente para efectos de monitoreo. Los niveles de referencia (informativos) se establecen en el cuadro del apartado 5.2.2.6.
5.2.4.5 Aditivos para alimentos.
Solamente están permitidos los aditivos señalados en el Apéndice Normativo A.
6. Muestreo
El procedimiento de muestreo para los productos objeto de esta norma, debe sujetarse a lo que establece la Ley General de Salud.
6.1 El método para el muestreo de los cereales para aflatoxinas, debe llevarse a cabo como se establece en el Apéndice Normativo B.
7. Métodos de prueba
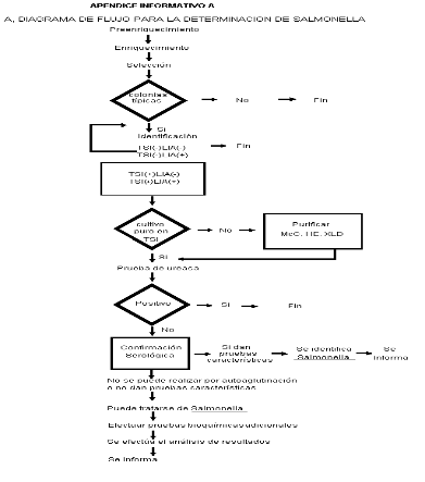
7.1 Para la verificación de las especificaciones de los productos objeto de esta norma, se deben aplicar los métodos de prueba señalados en el Apéndice Normativo C.
8. Etiquetado
Las etiquetas o envases impresos de los productos preenvasados objeto de esta norma, además de cumplir con lo establecido en el Reglamento, deben cumplir con lo siguiente:
8.1 Requisitos Generales
8.1.1 Los productos objeto de esta norma que hayan sido modificados en su composición, deben sujetarse a lo establecido en el Reglamento y a la NOM-086-SSA1-1994, señalada en el apartado de referencias.
8.1.2 Los productos destinados a ser comercializados en el mercado nacional, deben ostentar una etiqueta con la información a que se refiere esta Norma en idioma español, independientemente de que también pueda estar en otros idiomas, cuidando que los caracteres sean al menos iguales en tamaño y proporcionalidad tipográfica y de manera igualmente ostensibles.
8.1.3 La información contenida en las etiquetas debe presentarse y describirse en forma clara, veraz y comprobable.
8.1.4 Las etiquetas que ostenten los productos preenvasados deben fijarse de manera tal que permanezcan disponibles hasta el momento de su uso y consumo en condiciones normales y deben aplicarse por cada unidad, envase múltiple o colectivo, con caracteres claros, visibles, indelebles y en colores contrastantes, fáciles de leer por el consumidor en circunstancias normales de compra y uso.
8.1.5 Debe aparecer en la superficie principal de exhibición del envase del producto cuando menos, la denominación del producto preenvasado. El resto de la información a que se refiere esta Norma Oficial
Mexicana puede incorporarse en cualquier otra parte del envase del producto.
8.1.6 Para el caso de envase múltiple o colectivo para su venta al consumidor, la información a que se refiere esta Norma Oficial Mexicana debe figurar en dicho envase. Sin embargo, la indicación del lote y la fecha de caducidad o de consumo preferente deben aparecer en cada unidad y no tendrán que figurar en el envase múltiple o colectivo. Además, en los productos se deberá indicar la leyenda "No etiquetado para su venta individual" cuando los productos no declaren la información a que se refiere esta Norma. Esta leyenda no será necesaria cuando los envases individuales contenidos en un envase múltiple o colectivo, ostenten la información a que se refiere esta Norma Oficial Mexicana.
8.1.7 Cuando el envase múltiple o colectivo esté cubierto por una envoltura debe figurar en ésta toda la información necesaria, excepto en los casos en que la etiqueta aplicada pueda leerse fácilmente a través de la envoltura exterior.
8.1.8 Cuando en las etiquetas se declaren u ostenten en forma escrita, gráfica o descriptiva que los productos, su uso, aplicación, ingredientes o cualquier otra característica están recomendados, respaldados o aceptados por centros de investigación, asociaciones, organizaciones, entre otros. Se deberá contar con el sustento técnico respectivo, el que estará a disposición de la Secretaría en el momento en el que lo solicite. Dichas declaraciones deben sujetarse a lo siguiente: la leyenda debe describir claramente la característica referida, estar precedida por el símbolo o nombre del organismo y figurar con caracteres claros y fácilmente legibles.
8.2 Nombre o denominación del producto preenvasado
8.2.1 El nombre o denominación del producto preenvasado debe corresponder con la establecida en los ordenamientos legales específicos, en ausencia de éstos, puede indicarse el nombre de uso común, o bien, emplearse una descripción de acuerdo con las características básicas de la composición y naturaleza del producto, que no induzca a error o engaño al consumidor. En el caso de que haya sido objeto de algún tipo de tratamiento se puede indicar el nombre de éste, con excepción de aquellos que de acuerdo con los ordenamientos correspondientes sean de carácter obligatorio.
8.3 Declaración de ingredientes.
8.3.1 En la etiqueta de los productos preenvasados cuya comercialización se haga en forma individual, debe figurar una lista de ingredientes, la cual puede eximirse cuando se trate de productos de un solo ingrediente.
8.3.2 La lista de ingredientes debe ir encabezada o precedida por el término "ingredientes:"
8.3.3 Los ingredientes deben enumerarse por orden cuantitativo decreciente (m/m).
8.3.4 Se debe declarar un ingrediente compuesto cuando constituya más del 25 por ciento y debe ir acompañado de una lista entre paréntesis de sus ingredientes constitutivos por orden cuantitativo decreciente (m/m). Cuando constituya menos de ese porcentaje se deben declarar los aditivos que desempeñan una función tecnológica en la elaboración del producto y aquellos ingredientes o aditivos que se asocien a reacciones alérgicas, de conformidad con los ordenamientos legales correspondientes.
8.3.5 Cuando se trate de alimentos deshidratados o condensados, destinados a ser reconstituidos, pueden enumerarse sus ingredientes por orden cuantitativo decreciente (m/m) en el producto reconstituido, siempre que se incluya una indicación como la que sigue: "ingredientes del producto cuando se prepara según las instrucciones de la etiqueta" o similar.
8.3.6 En la lista de ingredientes debe emplearse una denominación específica, excepto en las clases de ingredientes señalados en el Anexo I donde puede emplearse una denominación genérica.
8.3.7 No obstante lo estipulado en el punto anterior, la manteca de cerdo y el sebo se deben declarar siempre por su denominación específica.
8.3.8 Los aditivos empleados en la elaboración de los productos objeto de esta Norma, deben reportarse con el nombre común o los sinónimos establecidos en el Acuerdo y sus modificaciones, a excepción de los saborizantes y las enzimas, los cuales pueden figurar con la denominación genérica.
8.3.9 Debe ser incluido en la lista de ingredientes todo aditivo que haya sido empleado en los ingredientes y que se transfiera a otro producto en cantidad notable o suficiente para desempeñar en él una función tecnológica.
8.3.10 Están exentos de su declaración en la lista de ingredientes los aditivos transferidos a los productos preenvasados que ya no cumplen una función tecnológica en el producto terminado, así como los coadyuvantes de elaboración, excepto aquellos que puedan provocar reacciones alérgicas y de intolerancia.
8.4. Nombre y domicilio fiscal.
8.4.1 Debe indicarse el nombre, la denominación o razón social y el domicilio fiscal del responsable del producto, este último debe incluir de manera enunciativa mas no limitativa: calle, número, código postal, ciudad y estado.
8.4.2 Para productos importados preenvasados debe indicarse en la etiqueta el nombre, denominación o razón social y domicilio fiscal del importador. Esta información puede incorporarse al producto preenvasado en territorio nacional, antes de la comercialización del producto.
Cuando en un establecimiento diferente al de la persona física o moral, al licenciatario o causahabiente, propietario de la marca, participe en el proceso de los productos, debe figurar en la etiqueta la leyenda "HECHO PARA..." o alguna equivalente, seguido del nombre o domicilio (calle, número, colonia, código postal, ciudad y estado) del responsable del producto, asimismo el lote debe permitir la identificación del o los establecimientos que intervienen en el proceso.
8.5 País de origen
Debe incorporarse la leyenda que identifique el país de origen del producto, por ejemplo: "Hecho en....", "Producto de ...", "Fabricado en ....", o leyenda equivalente, seguida de país de origen.
8.6 Identificación de la clave del lote.
8.6.1 Cada envase debe llevar grabada o marcada de cualquier modo, la identificación del lote al que pertenece, con una indicación que pueda ser en clave que permita su rastreabilidad.
8.6.2 La identificación del lote que incorpore el fabricante en el producto preenvasado no debe ser alterada u ocultada de forma alguna.
8.6.3 Cuando se indique con el formato de fecha, anteponerse la palabra "Lote" o su abreviatura "L".
8.6.4 Si la identificación del lote corresponde a la fecha de caducidad, anteponer las leyendas "Lote" y "Fecha de caducidad" o sus abreviaturas "L y Fech. Cad." o "L y Cad."
8.7 Fecha de caducidad o de consumo preferente
8.7.1 Los productos objeto de esta norma deben declarar la fecha de caducidad o la fecha de consumo preferente y cumplir con lo siguiente:
i) El fabricante debe declararla en el envase o etiqueta, la cual debe consistir por lo menos de:
- El día y el mes para los productos de duración máxima de tres meses;
- El mes y el año para productos de duración superior a tres meses.
ii) La fecha debe estar precedida por una leyenda que especifique que dicha fecha se refiere a la fecha de caducidad o al consumo preferente.
-Para el caso de fecha de caducidad, ésta debe indicarse anteponiendo alguna de las siguientes leyendas, sus abreviaturas o leyendas análogas:
"Fecha de caducidad ___", "Caducidad ____", "Fech Cad ____",
-Para el caso de consumo preferente, ésta debe indicarse anteponiendo alguna de las siguientes leyendas, sus abreviaturas o leyendas análogas:
"Consumir preferentemente antes del____", "Cons. Pref. antes del ___".
8.7.2 La fecha de caducidad o de consumo preferente debe indicar en la etiqueta cualesquiera condiciones especiales que se requieran para la conservación del alimento o bebida no alcohólica preenvasado, si de su cumplimiento depende la validez de la fecha. Por ejemplo, se pueden incluir leyendas como: "manténgase en refrigeración"; "consérvese en congelación"; "una vez descongelado no deberá volverse a congelar"; "una vez abierto, consérvese en refrigeración", u otras análogas.
8.7.3 La fecha de caducidad o de consumo preferente que incorpore el fabricante en el producto preenvasado no puede ser alterada en ningún caso y bajo ninguna circunstancia.
8.8 Leyendas de conservación
8.8.1 En las harinas de cereales y en los productos elaborados a base de cereales, de semillas comestibles, de harinas o sus mezclas y productos de panificación, debe figurar la leyenda "Consérvese en lugar seco y fresco" o leyenda equivalente.
8.8.2 Para los productos objeto de esta norma que requieren refrigeración o congelación deben incluirse según corresponda, las leyendas: "Manténgase o consérvese en refrigeración o congelación", o una leyenda equivalente.
8.9 Instrucciones de uso
8.9.1 La etiqueta debe contener las instrucciones de uso cuando sean necesarias sobre el modo de empleo, incluida la reconstitución, si es el caso, para asegurar una correcta utilización del producto preenvasado.
8.10 Etiquetado Nutrimental
8.10.1 La declaración nutrimental en la etiqueta de los productos objeto de esta norma es obligatoria y debe incluir como mínimo lo siguiente:
a) Contenido energético
b) La cantidad de proteínas,
c) La cantidad de hidratos de carbono o carbohidratos disponibles, indicando la cantidad correspondiente a azúcares
d) La cantidad de grasas o lípidos, especificando la cantidad que corresponda a grasa saturada. Los productos de panificación, además deben declarar el contenido de ácidos grasos "trans".
e) La cantidad de fibra
f) La cantidad de sodio
g) La cantidad del nutrimento o los nutrimentos acerca de los cuales se hace una declaración de propiedades.
h) La cantidad de cualquier otro nutrimento que se considere importante para mantener un buen estado nutricional, según lo establezca la NOM correspondiente.
8.10.2 Cuando se haga una declaración específica de propiedades referente a la cantidad o tipo de hidrato de carbono o carbohidrato, podrán indicarse también las cantidades de almidón y/u otros constituyentes de hidratos de carbono.
8.10.3 Cuando se haga una declaración de propiedades con respecto a la cantidad o el tipo de ácidos grasos o la cantidad de colesterol, deben declararse las cantidades de: ácidos grasos monoinsaturados, ácidos grasos poliinsaturados y colesterol
8.11. Presentación de la información nutrimental
8.11.1 La declaración del contenido de nutrimentos debe hacerse en forma numérica.
8.11.2 La declaración en forma numérica debe expresarse por 100 g o por 100 ml o por porción o por envase, si éste contiene sólo una porción o se declara el número de porciones que contiene el envase. Y debe expresarse en las siguientes unidades:
i. Contenido energético en kilojoules (kJ), pudiendo además declararse en kilocalorías (kcal).
ii. Proteínas en gramos (g)
iii. Hidratos de carbono o carbohidratos disponibles en gramos (g), azúcares (g)
iv. Grasas o lípidos en gramos (g), ácidos grasos saturados (g), ácidos grasos "trans" (g)
v. Fibra (g)
vi. Sodio en gramos (g) o miligramos (mg)
Adicionalmente, se pueden emplear otras unidades de medidas.
8.11.3 La declaración numérica sobre proteínas, vitaminas y minerales debe expresarse en unidades de medida o en porcentaje de la ingestión diaria recomendada (IDR) por 100 g o por 100 ml o por porción o por envase, si éste contiene sólo una porción. En caso de declararse en porcentaje de la IDR, debe citarse la siguiente leyenda: "IDR ponderada para la población mexicana" o "Ingestión diaria recomendada ponderada para la población mexicana".
Para estos casos, se debe emplear la tabla de recomendaciones ponderadas para la población mexicana del Anexo II de esta Norma.
8.11.4 La información nutrimental puede presentarse conforme a lo indicado en el ejemplo de la siguiente tabla. No es obligatorio que se presente de esta forma.
Presentación de la información nutrimental
| Presentación de la información por 100 g, por 100 ml, por porción o por envase |
| Contenido energético | _________ kJ (kcal) |
| Proteínas | _________ g |
| Grasas | _________ g, de los cuales _________ g de grasa saturada. |
| Carbohidratos | _________ g, de los cuales _________ g azúcares |
| Fibra | _________ g |
| Sodio | _________ g o mg |
| Información adicional | _________ g, mg, mg o % IDR |
8.11.5 Los valores de composición bromatológica que figuren en la información nutrimental del producto, deben ser valores medios ponderados derivados por análisis, bases de datos o tablas reconocidas internacionalmente.
8.11.6 Los valores de los nutrimentos que figuren en la información pueden tener un grado de variación, el cual debe garantizar al consumidor que los valores declarados en la etiqueta correspondan a los contenidos en el producto hasta la fecha de caducidad.
8.12 Cálculo de nutrimentos
8.12.1 Energía, la cantidad de energía declarada deberá calcularse utilizando los siguientes factores de conversión:
Carbohidratos 4 kcal/g 17 kJ
Proteínas 4 kcal/g 17 kJ
Grasas 9 kcal/g 37 kJ
Alcohol 7 kcal/g 29 kJ
Acidos orgánicos 3 kcal/g 13 kJ
8.12.2 Proteínas, la cantidad de proteínas a declarar deberá calcularse utilizando la siguiente fórmula:
Proteína = contenido total de nitrógeno Kjeldahl x 6.25
8.12.3 En los casos en que se deba tomar en cuenta el contenido de polialcoholes o polidextrosas para el cálculo de contenido energético se deben utilizar los siguientes factores de conversión:
Polialcoholes 2,4 kcal/g 10 kJ
Polidextrosas 1 kcal/g 4 kJ
8.13. Información nutrimental complementaria
8.13.1 El uso de información nutrimental complementaria, escrita o gráfica, en las etiquetas de los productos es opcional y en ningún caso debe sustituir la información nutrimental.
8.13.2 Cuando se presente la información nutrimental complementaria, deben aplicarse los siguientes criterios:
8.13.3 La inclusión de uno de los siguientes nutrimentos no obliga a incluir uno de los otros y sólo se realiza si se tiene asignada una IDR y el contenido en la porción esté por arriba del 5% de la IDR:
Vitamina A (% IDR), Vitamina E (% IDR), Vitamina C (% IDR), Vitamina B1 (Tiamina) (% IDR), Vitamina B2 (Riboflavina) (% IDR), Vitamina B6 (Piridoxina) (% IDR), Vitamina B12 (Cobalamina) (% IDR), Acido fólico (Folacina) (% IDR), Niacina (Acido nicotínico) (% IDR), Calcio (% IDR), Fósforo (% IDR), Magnesio (% IDR), Hierro (% IDR), Zinc (% IDR), Yodo (% IDR).
8.13.4 Todos o ninguno de los siguientes:
Grasa poliinsaturada ___ g; grasa monoinsaturada __ g; ácidos grasos trans ___ g colesterol ___ mg.
8.13.5 La inclusión de uno de los siguientes no obliga a incluir a otros:
Almidones ___ g; fibras dietéticas __ g; polialcoholes __ g; polidextrosas __ g.
8.13.6 Al expresar los tipos de constituyentes de hidratos de carbono o carbohidratos y de lípidos o grasas referidos en el numeral 8.10.1 incisos c) y d) se debe anteponer el texto "del cual..."
8.13.7 Número de porciones por presentación.
8.13.8 La información nutrimental complementaria puede presentarse conforme a la siguiente
Presentación de la declaración nutrimental complementaria
| Nutrimentos | Porcentaje de IDR |
| Vitamina A | % |
| Vitamina B1 (Tiamina) | % |
| Vitamina B2 (Riboflavina) | % |
| Vitamina B6 (Piridoxina) | % |
| Vitamina B12 (Cobalamina) | % |
| Vitamina C (Acido ascórbico) | % |
| Niacina (Acido nicotínico) | % |
| Acido fólico (Folacina) | % |
| Hierro | % |
| Potasio | % |
8.13.9 La información nutrimental complementaria en las etiquetas debe ir acompañada de programas educativos al consumidor para aumentar su capacidad de comprensión, y lograr que se haga uso de la información.
8.14 Requisitos específicos
8.14.1 Las harinas de trigo y de maíz nixtamalizado preenvasadas adicionadas con ácido fólico, hierro y zinc y restituidas con vitamina B1, vitamina B2, vitamina B3, deben cumplir con lo siguiente:
8.14.2 Sólo podrán utilizar la siguiente denominación:
i) Harina de trigo adicionada con ácido fólico o folacina o folato (vitamina Bc o vitamina B9)*, zinc y hierro, restituida con Vitamina B1 (mononitrato de tiamina)*, Vitamina B2 (riboflavina)* y Vitamina B3 (niacina)*.
ii) Harina de maíz nixtamalizado adicionada con ácido fólico o folacina o folato (vitamina Bc o vitamina B9)*, hierro y zinc y restituida con Vitamina B1 (mononitrato de tiamina), Vitamina B2 (riboflavina)*, Vitamina B3 (niacina)*.
* Los términos entre paréntesis serán opcionales.
8.14.3 No está permitido emplear, denominación distinta a la establecida en esta norma. En los productos preenvasados que las utilicen como materia prima podrán declararlas en el listado de ingredientes como "harina de trigo" o "harina de maíz nixtamalizado".
8.14.4 En el caso de las harinas de trigo y de maíz nixtamalizado preenvasadas se debe indicar el contenido de ácido fólico, vitamina B1, vitamina B2, vitamina B3, hierro y zinc, en mg por 100 g del producto.
8.14.5 Las harinas de trigo y de maíz nixtamalizado preenvasadas deberán declarar en la lista de ingredientes las fuentes de hierro y cinc utilizados.
8.14.6 Cuando se utilice el ácido ascórbico en la harina de trigo preenvasada se debe reportar como aditivo y no como nutrimento.
8.14.7 Las harinas de maíz nixtamalizado deben ostentar en la superficie principal de exhibición el proceso de nixtamalización al que fue sometido. En el caso de que los productos hayan sido objeto de algún otro tratamiento aplicado para asegurar su inocuidad se puede indicar el nombre de éste con excepción de aquellos que de acuerdo con los ordenamientos correspondientes sean de carácter obligatorio.
8.15 Leyendas precautorias
8.15.1 Los productos que contengan alcohol etílico o bebidas alcohólicas en cantidades superiores al 0,5%, deben incluir en la superficie principal de exhibición de la etiqueta, la siguiente leyenda: "Este producto contiene ______% de alcohol. No recomendable para niños". (En el espacio en blanco citar el contenido de alcohol en %).
8.15.2 Los productos elaborados a base de cereales que contengan gluten; como trigo, avena, cebada y centeno deben incluir la siguiente leyenda precautoria: "este producto contiene gluten", o algún otra equivalente. "este producto contiene gluten" u otra equivalente o resaltándolo dentro de los listados de ingredientes (entre paréntesis después de que aparezca el cereal fuente del mismo)
8.15.3 Se pueden incluir leyendas informativas o de orientación que promuevan una dieta saludable.
8.16 Declaraciones prohibidas de propiedades
8.16.1 Se prohíbe el uso de las siguientes declaraciones:
8.16.1.1 De propiedades
i) Declaración de propiedades que hagan suponer que una alimentación equilibrada a base de alimentos ordinarios no puede suministrar cantidades suficientes de todos los elementos nutritivos.
ii) Declaraciones que no pueden comprobarse.
iii) Declaraciones de propiedades sobre la utilidad de un alimento o bebida no alcohólica para prevenir, aliviar, tratar o curar una enfermedad, trastorno o estado fisiológico.
iv) Declaraciones de propiedades que pueden suscitar dudas sobre la inocuidad de alimentos o bebidas no alcohólicas similares.
v) Declaraciones de propiedades que puedan causar o explotar el miedo al consumidor y utilizarlo con fines comerciales.
vi) Declaración de propiedades que afirmen que un determinado alimento constituye una fuente adecuada de todos los nutrientes esenciales
8.16.1.2 Que inducen a error
i) Declaraciones de propiedades sin significado, incluso los comparativos y superlativos.
ii) Declaraciones de propiedades respecto a prácticas correctas de higiene o comercio, tales como: "genuinidad", "salubridad", "sanidad", "sano", "saludable", excepto las señaladas en otros ordenamientos legales aplicables.
iii) Declaraciones de propiedades que afirmen la naturaleza u origen tales como: "natural", "puro", "fresco", "fabricación casera", "kosher", "halal", "orgánico" o "biológico" de un alimento o bebida no alcohólica, excepto en aquellos casos en que se compruebe que el producto tiene realmente esa característica.
iv) Declaraciones de propiedades que sugieran, impliquen o afirmen que el alimento está garantizado o leyendas tales como "calidad garantizada" "sello de garantía" "satisfacción garantizada" "garantía de por vida" "garantía total" "100% garantizado", excepto en aquellos casos en que se informe a los consumidores en qué consisten y la forma en que el consumidor puede hacerlas efectivas
8.17 Los productos envasados en punto de venta, deben ostentar la siguiente información:
a) Nombre o denominación del producto
b) Declaración del contenido
c) Fecha de envasado y, en su caso, fecha de caducidad o consumo preferente
9. Envase y embalaje
9.1 Envase
9.1.1 Los productos preenvasados objeto de esta norma se deben envasar en recipientes elaborados con materiales inocuos y resistentes a distintas etapas del proceso, de tal manera que no reaccionen con el producto o alteren sus características físicas, químicas, sensoriales y microbiológicas.
9.1.2 Para el caso de los productos de panadería que se comercialicen a granel, el material que proporcione el responsable del expendio para envolverlos o empacarlos, debe ser limpio y nuevo, elaborado con materiales inocuos y resistentes, de tal manera que no reaccionen con el producto o alteren sus características físicas, químicas o sensoriales.
9.2 Embalaje
Se deben usar embalajes de material resistente que ofrezcan la protección adecuada a los envases para impedir su deterioro exterior, a la vez que faciliten su manipulación, almacenamiento y distribución.
10 Concordancia con normas internacionales
Esta norma no es equivalente con normas internacionales o normas mexicanas, excepto el apartado 5.2.2 referente a harinas de cereales, sémolas o semolinas en donde es parcialmente equivalente a:
Norma Codex para la harina de trigo. Codex Stan 152-1985 (Rev. 1-1995).
11 Bibliografía
11.1 Ley Federal sobre Metrología y Normalización. Ultima reforma. México, D.F.
11.2 Ley General de Salud. Ultima reforma. México, D.F.
11.3 Reglamento de Control Sanitario de Productos y Servicios. México, D.F.
11.4 Secretaría de Comercio y Fomento Industrial. 1981. NORMA-Z-13/02. Guía para la redacción, estructuración y presentación de las Normas Oficiales Mexicanas. México, D.F.
11.5 Fernández, E. E. 1981. Microbiología sanitaria, agua y alimentos. Vol. 1. Universidad de Guadalajara, México. pp. 685, 883, 839 y 840.
11.6 Frazier, W.C. y Westhoff, D.C. 1985. Microbiología de los alimentos. 3a. edición. Editorial Acribia, S.A. Zaragoza, España. pp. 379-380.
11.7 ICMSF. 1985. Ecología microbiana de los alimentos. Volumen II. Editorial Acribia, S.A. Zaragoza, España. pp. 812-828.
11.8 Libros de consulta sobre tecnología de alimentos. Procesamiento de cereales. UNIFEM 1994. pp. 1-18
11.9 Catalán C. M. Tecnología de los cereales. Ed. Acribia. Zaragoza España 1971
11.10 Codex Alimentarius. Cereales, legumbres, leguminosas, productos derivados y proteínas vegetales. Vol. 7. Segunda edición 1985.
11.11 Macoco P. M. C. Contenido de micotoxinas en cereales para alimento de animales. 1994. UNAM. Facultad de Ciencias.
11.12 Derache R. Toxicología y seguridad de los alimentos. Ediciones Omega, S.A. Barcelona 1990.
11.13 Comisión del Codex Alimentarius. Informe de la 36a. reunión del comité del CODEX sobre aditivos alimentarios y contaminantes en los alimentos.
11.14 Serna S. S. Química, Almacenamiento e industrialización de los cereales. AGT Editor, S.A. 1996
11.15 INCMSZ. Tablas de Valor nutritivo de los alimentos de mayor consumo en Latinoamérica 1996
11.16 Compuestos de Hierro para la Fortificación de Alimentos. Guías para América Latina y el Caribe 2002
11.17 Llanos M. D. Economic Analysis June 2004 Of a National Folic Acid Fortification. Program in Chile Associate Researcher Institute of Nutrition and Food Technology (INTA) Universidad de Chile (Octubre 2003)
11.18 Lindsay H. A. Ph. D. Folate and vitamin B12 status in the Americas. Nutrition Reviews. Volume 62, número 6 (Part II). June 2004.
11.19 Whittaker Paul. Iron and zinc interactions in humans. American Society For Clinical Nutritional. 1998; 68 (Suppl) 442S- 446S
11.20 Pan American Health Organization. Flour Fortification With Iron, Folic Acid And Vitamin B12 Regional Meeting Report October 9-10, 2003 Santiago, Chile.
11.21 Organización Panamericana de la Salud. Centros para el Control y la Prevención de Enfermedades. La prevención de los defectos del tubo neural con ácido fólico
11.22 Food and Drug Administration. 1989. Code of Federal Regulations. 21. PARTS 100 to 169 Revised as of Abril 1. p. 252-265.
11.23 Codex Committee on Food Additives. 19th Session The Hague, 5-11 November 1985. Information on Legal and Other Administrative Limits for Contaminants in Food. Annex 1 to CX/Fa 85/18. p. 24, 70, 81, 87, 89.
11.24 Comisión del Codex Alimentarius. 26 al 30 de Octubre de 1992. Informe de la 8a. reunión sobre Cereales, Legumbres y Leguminosas, Washington, D.C. p. 3.
11.25 Comité del Codex sobre Aditivos Alimentarios y Contaminantes de los Alimentos. 22a. Reunión La Haya, 19-24 de marzo de 1990, Niveles de Orientación para el Cadmio y el Plomo en Alimentos CX/FAC 90/18 Add. 3. 22a. Reunión. La Haya. p. 1-5.
11.26 Egmond Van H.P. National Institute of Public Health and Environmental Hygiene. 28 September to 3 October 1987. The Neatherland. MYC 81/9.2. p. 25-28.
11.27 FAO, OMS, OPS. 1992. Conferencia Internacional Sobre Nutrición. Informe de México. Comisión Nacional de Alimentos. México, 7a. Reunión, Washington, D.C. 22-26 de octubre de 1990 CX/CPL 90/8-Add. 1 Mayo 1990. p. 18, 19, 22, 23.
11.28 Minister of Supply and Services Canada. 1989. Department of National Health and Welfare. Departmental Consolidation of the Food and Drugs Act and of the Food and Drug Regulations. Canada. p. 63 y 63 A.5.
11.29 Reglamentaciones Técnico-Sanitarias del Sector Alimentario. 1989. Tomo II. 1a. ed. Edit. A. Madrid
Vicente. Madrid, España. p. 283-293, 304, 310, 346 y 352.
11.30 Andrew E. Czeizel, et-al. 1992. Prevention of the first occurence of neural-tube defects by periconceptional vitamin supplementation. The New England Journal of Medicine. Vol. 327. No. 26. p. 1832-1835.
11.31 Bourges Héctor. 1982. Nutrición y Alimentos, su problemática en México. Editorial C.E.C.S.A. p. 64.
11.32 Brody Tom, et-al. 1984. Folic Acid. Handbook of vitamins. De. Laurence J. Machlin, Marcel Decker, Inc. p. 459-496.
11.33 Fondu M. 1980. Food Additives Tables. Ed. Elsevier Scientific Publishing Company Amsterdam. The Netherlands.
11.34 Jelinek Charles F. 1987. Distribución de Micotoxinas: Análisis de los datos mundiales sobre productos básicos, incluidos los datos del programa conjunto internacional FAO/OMS/PNUM sobre vigilancia de la contaminación de los alimentos. Tema 5. FAO, OMS, UNEP, JOIN FAO/WHO/UNEP, Second International Conference on Micotoxin Bangkok Tailand. Currents Limits and Regulation on Micotoxins. p. 11-15.
11.35 Joseph Mulinare, MD, et-al, 1988. Periconceptional use of multivitamins and the occurence of neural tube defects. JAMA, Vl. 260, No. 21. p. 3141-3145.
11.36 Kumate Rodríguez, J. et-al. 1992. Manual para la vigilancia epidemiológica. Defectos del tubo neural. No. 16. Secretaría de Salud.
11.37 Pérez Escamilla Rafael. 1995. Folic acid fortification for the prevention of neural tube defects: consensus needed on potential adverse effects. American Journal of Public Health, Vol. 85. No. 11.
11.38 Pomeranz Y. 1989. Wheat: Chemistry and Technology; Vol. II. Edited by The American Association of Cereal Chemists, Inc. Minessota U.S.A. p. 118-123.
11.39 Programa de las Naciones Unidas para el Medio Ambiente y de la Organización Mundial de la Salud, Criterios de Salud Ambiental. 11. Micotoxinas, Publicación Científica No. 453. OPS. p. 2-7.
11.40 Programa Universitario de Investigación en Salud. 1996. Universidad Nacional Autónoma de México. Coordinación para la Investigación Científica. Primera Reunión sobre Investigación de Acido Fólico en Defectos del Tubo Neural. Memorias.
11.41 Quaglia G. 1991. Ciencia y Tecnología de la Panificación. 2a. Ed. Acribia, S.A. Zaragoza, España. p. 163-217 y 392.
11.42 Reilly Conor. 1991. Metal Contamination of Food. 2a. Edición. Edit. Elsevier Applied Science. UK. p. 116, 137 y 154-155.
11.43 Ruiz-Matus, Cuauhtémoc, et-al. Panorama epidemiológico de los defectos del tubo neural en México. Gac. Méd. Mex. Vol. 131, No. 4, p. 485-489.
11.44 Spivey Fox M.R. 1976. Cadmium Metabolism-A, Review of Aspects Pertinent to Evaluating Dietary Cadmiun Intake by Man, The Nutrition Fundation a Monograph. Edited by Prasad A, S. Cap. 42. p. 403-408.
11.45 Hongos productores de micotoxinas emergentes. Lourdes Abacarca, Bragulat, castellá, Accensi y Cabañes. Revista Iberoamericana de Micología 2000; 17:S63-S68.
11.46 Contaminación natural con micotoxinas en maíz forrajero y granos de café verde en el Estado de Nayarit (México). Lourdes Robledo, Marín y Ramos. Revista Iberoamericana de Micología 2001:18:141-144.
11.47 Código de prácticas para reducir la aflatoxina B1 presente en las materias primas y los piensos suplementarios para animales productores de leche. CAC/RCP 45-1997. Codex Alimentarius.
11.48 Código de prácticas para prevenir y reducir la contaminación de los cereales por micotoxinas, con anexos sobre la Ocratoxina A, la zearalenona, las fumonisinas y los tricotesenos. CAC/RCP 51-2003. Codex Alimentarius.
11.49 Estudio FAO: Alimentación y nutrición Reglamentos a nivel mundial para las micotoxinas en a los alimentos y en las raciones en el año 2003. Organización de las Naciones Unidas para la Agricultura y la Alimentación.
11.50 Manual sobre la aplicación del sistema de análisis de peligros y de puntos críticos de control en la prevención y control de las micotoxinas, Organización de las Naciones Unidas para la Agricultura y la Alimentación (FAO) y el Organismo Internacional de Energía Atómica (OIEA).
11.51 Principios generales para la adición de nutrientes esenciales a los alimentos CAC/GL 09-1987
(Enmendados en 1989, 1991) Codex Alimentarius
12 Observancia de la norma
12.1 La vigilancia de la aplicación de esta norma corresponde a la Secretaría de Salud en los términos y de las disposiciones jurídicas aplicables.
13 Vigencia
13.1 La presente Norma Oficial Mexicana entrará en vigor a los ciento ochenta días naturales contados a partir de la fecha de su publicación en el Diario Oficial de la Federación.
13.2 A su entrada en vigor, la presente norma oficial mexicana cancela las Normas Oficiales Mexicanas:
NOM-147-SSA1-1996. Bienes y servicios. Cereales y sus productos. Harinas de cereales, sémolas o semolinas. Alimentos a base de cereales, de semillas comestibles, harinas, sémolas o semolinas o sus mezclas. Productos de panificación. Disposiciones y especificaciones sanitarias y nutrimentales, y la Norma Oficial Mexicana NOM-188-SSA1-2002, Productos y servicios. Control de aflatoxinas en cereales para consumo humano y animal. Especificaciones sanitarias, a excepción del numeral 5.3.2 y el Apéndice Normativo A, publicadas en el Diario Oficial de la Federación el 10 de diciembre de 1999 y 15 de octubre de 2002, respectivamente.
Sufragio Efectivo. No Reelección.
Atentamente
México, D.F., a 10 de marzo de 2009.- El Comisionado Federal para la Protección contra Riesgos Sanitarios y el Presidente del Comité Consultivo Nacional de Normalización de Regulación y Fomento Sanitario, Miguel Angel Toscano Velasco.- Rúbrica.
14. Anexos
Anexo I
| Clases de ingredientes | Denominación genérica |
| Aceites refinados distintos del aceite de oliva | "Aceite", juntamente con el término "vegetal" o "animal", calificado con el término hidrogenado, según el caso. |
| Grasas refinadas | "Grasas", juntamente con el término "vegetal" o "animal", según el caso. |
| Almidones, distintos a los almidones modificados químicamente. | "Almidón". |
| Todos los tipos de carne de pescado, cuando el pescado constituya un ingrediente de otro alimento y siempre que en la etiqueta y presentación de dicho alimento no se haga referencia a una determinada especie de pescado. | "Pescado". |
| Todos los tipos de carne de aves de corral, cuando dicha carne constituya un ingrediente de otro alimento y siempre que en la etiqueta y la presentación de dicho alimento no se haga referencia a un tipo específico de carne de aves de corral. | "Carne de ave". |
| Todos los tipos de quesos, cuando el queso o una mezcla de quesos constituya un ingrediente de otro alimento y siempre que en la etiqueta y la presentación de dicho alimento no se haga referencia a un tipo específico de queso. | "Queso". |
| Todas las especias y extractos de especias en cantidad no superior al 2% en peso, solos o mezclados en el alimento. | "Especia", "especias" o "mezclas de especias", según el caso. |
| Todas las hierbas aromáticas o partes de hierbas aromáticas en cantidad no superior al 2% en peso, solas o mezcladas en el alimento. | "Hierbas aromáticas" o "mezclas de hierbas aromáticas", según el caso. |
| Todos los tipos de preparados de goma utilizados en la fabricación de la goma de base para la goma de mascar. | "Goma de base". |
| Todos los mono y disacáridos. | "Azúcares". |
| La dextrosa anhidra y la dextrosa monohidratada. | "Dextrosa" o "glucosa". |
| Todos los tipos de caseinatos. | "Caseinatos". |
| Manteca de cacao obtenida por presión o extracción o refinada. | "Manteca de cacao". |
| Todas las frutas confitadas, sin exceder del 10% del peso del alimento. | "Frutas confitadas". |
| Todos los condimentos en cantidad no superior al 2% en peso, solos o mezclados en el alimento. | "Condimentos". |
Anexo II
Ingestión Diaria Recomendada (IDR) ponderada para la población mexicana
| Nutrimento | IDR |
| Proteínas | 73,0 | g |
| Vitamina A | 570,0 | µg Eq retinol |
| Vitamina E | 11,0 | mg Eq tocoferol |
| Vitamina B1 (Tiamina) | 800,0 | µg |
| Vitamina B2 (Riboflavina) | 840,0 | µg |
| Vitamina B6 (Piridoxina) | 930,0 | µg |
| Niacina | 11,0 | mg Eq niacina |
| Ac. Fólico | 390,0 | µg |
| Vitamina B12 (cobalamina) | 2,1 | µg |
| Vitamina C (Ac. Ascórbico) | 60,0 | mg |
| Calcio | 900,0 | mg |
| Cobre | 650,0 | µg |
| Flúor | 2,2 | mg |
| Fósforo | 664,0 | mg |
| Hierro | 17,0 | mg |
| Magnesio | 250,0 | mg |
| Zinc | 10,0 | mg |
APENDICE NORMATIVO A
ADITIVOS PARA ALIMENTOS
1 Harinas de cereales, sémolas o semolinas
1.1 En la elaboración de las harinas de cereales, sémolas o semolinas se permite el empleo de los siguientes aditivos y coadyuvantes:
| Aditivo | Límite máximo mg/kg de harina |
| Acido L- ascórbico y su sal de sodio* | BPF |
| Azodicarbonamida | 45, en harina para pan leudado |
| Cloro | 2,500 ** |
| Cloruro de amonio | BPF |
| Dióxido de azufre | 200, en harina para bizcochos y fabricación de pastas solamente |
| Dióxido de cloro | 2,500 ** |
| Fosfato monocálcico | 2500 |
| Lecitina | 200 |
| Peróxido de benzoilo | 75 |
| Peróxido de calcio | 50 |
| Sulfato cálcico | BPF |
* Uso exclusivo como aditivo, no como nutrimento.
** Dosis de tratamiento
1.2 Enzimas, en la elaboración de los productos objeto de este apartado se pueden emplear únicamente las enzimas listadas en el Acuerdo y sus modificaciones, derivadas de las fuentes que ahí se establecen y conforme a las BPF.
2 Alimentos a base de cereales, de semillas comestibles, harinas, sémolas o semolinas o sus mezclas
En la elaboración de los alimentos a base de cereales, de semillas comestibles, harinas, sémolas o semolinas o sus mezclas, se permite el empleo de los siguientes aditivos y coadyuvantes
2.1 Acentuadores de sabor
| Aditivos | Límite máximo mg/kg de producto |
| 5´´ guanilato de calcio | BPF |
| 5´´ guanilato dipotásico | BPF |
| 5´´ guanilato disódico | BPF |
| 5´´ inosinato de calcio | BPF |
| 5´´ inosinato de potasio | BPF |
| 5´´ inosinato disódico | BPF |
| Acido 5´ guanílico | BPF |
| Acido L glutámico | BPF |
| Acido inosínico | BPF |
| Cloruro de sodio | BPF |
| Dextrinas | BPF |
| Glutamato monosódico | BPF |
| Glutamato de calcio | BPF |
| Glutamato de magnesio | BPF |
| Glutamato monoamónico | BPF |
| Glutamato monopotásico | BPF |
2.2 Antioxidantes
| Aditivos | Límite máximo mg/kg |
| Acido isoascórbico | BPF |
| Acido L-ascórbico | BPF |
| Acido palmitil-6-L-ascórbico (palmitato de ascorbilo) | 200 de grasa* |
| Alfa tocoferol | 85 |
| Ascorbato de potasio | BPF |
| Butilhidroquinona terciaria (TBHQ) | 200 de grasa |
| Butilhidroxianisol (BHA) | 50 |
| Butilhidroxitolueno (BHT) | 50 |
| Galato de propilo | 100 |
| Gluconato de potasio | BPF |
| Isoascorbato de sodio | BPF |
| L-ascorbato cálcico | BPF |
| L-ascorbato sódico | BPF |
| Tocoferoles mezclados | BPF |
*La cantidad máxima de uso como antioxidante, será independiente de la cantidad utilizada como nutrimento.
2.3 Colorantes
| Aditivos | Límite máximo mg/kg de producto |
| Amarillo 2G Amarillo alimentos 5 No. C.I. 18965 | 100 * |
| Amarillo ocaso FCF Amarillo alimentos 3 No. C.I. 15985 | 300 * |
| Amarillo alimentos 4 Tartrazina No. C.I. 19140 | 100 * |
| Antocianinas | BPF |
| Azorrubina y sus lacas Rojo alimentos 3 y sus lacas Carmoisina No. C.I. 14720 | 200 |
| Azul brillante FCF Azul alimentos 2 y sus lacas No. C.I. 42090 | 100 |
| Beta-apo 8'carotenal Anaranjado alimentos 6 No. C.I. 40820 | 30 |
| Beta caroteno Anaranjado alimentos 5 No. C.I. 40800 | BPF |
| Cantaxantina Anaranjado alimentos 8 No. C.I. 40850 | BPF |
| Caramelo Clases I, II y III | BPF |
| Caramelo clase IV | 2500 |
| Carotenos naturales Anaranjado alimentos 5 No. C.I. 75130 | 4001 1,000² |
| Clorofilas Verde natural 3 No C.I.75810 | BPF |
| Clorofilina | BPF |
| Cúrcumina No. C.I. 75300 | BPF |
| Dióxido de titanio Pigmento blanco 6 No. C.I. 77891 | 10 000 |
| Eritrosina Rojo alimentos 14 No. C.I. 45430 | 100 * |
| Extracto de annato (Extracto de semillas de Bixa orellana). Anaranjado natural 4 No. C.I. 75120 | 25 |
| Extracto de cochinilla Rojo natural 4 Carmín No. C.I. 75470 | 150³ |
| Indigotina Azul alimentos 1 No. C.I. 73015 | 300 |
| Oleorresina de paprika o extracto de paprika | BPF |
| Ponceau 4R Rojo alimentos 7 Rojo 6 | 200 |
| Riboflavina | 3004 |
| Rojo allura AC Rojo alimentos 17 No. C.I. 16035 | 500 * |
| Rojo betabel o rojo remolacha | BPF |
| Verde rápido F.C.F Verde alimentos 3 No. C.I. 42053 | 500 * |
Se pueden utilizar las lacas de aluminio de los colorantes sintéticos antes mencionados, en una concentración de uso que no exceda la concentración permitida del colorante del que proceda.
* La suma de estos colorantes artificiales no debe exceder de 500 mg/kg de producto.
1 Sólo para cereales para el desayuno
² Mezclas para rebozar
3 Postres a base de cereales y almidón
4 Cereales par desayuno, pasta y fideos, mezclas para rebozar y postres
2.4 Estabilizantes
| Aditivos | Límite máximo g/kg de harina |
| Acido algínico | BPF |
| Agar-agar | BPF |
| Alfa ciclodextrina | BPF |
| Alginato de amonio | BPF |
| Alginato de calcio | BPF |
| Alginato de potasio | BPF |
| Alginato de sodio | BPF |
| Almidón modificado | BPF |
| Carboximetilcelulosa | BPF |
| Carboximetilcelulosa de sodio | BPF |
| Carragenato de amonio, potasio y sodio (incluido el furcelaran) | BPF |
| Carragenina | BPF |
| Celulosa microcristalina | BPF |
| Cloruro de calcio | BPF |
| Cloruro de magnesio | BPF |
| Cloruro de potasio | BPF |
| Dextrinas | BPF |
| Estearoil 2- lactilato de sodio o calcio | 5,000 |
| Esteres acéticos de los mono y diglicéridos de los ácidos grasos | BPF |
| Esteres cítricos de los mono y diglicéridos de los ácidos grasos | BPF |
| Esteres de ácido diacetil tartárico | BPF |
| Esteres de poliglicerol de ácidos grasos | 10 Solo o combinado con otro éster |
| Esteres de propilenglicol de ácidos grasos | 3,750 |
| Esteres del ácido láctico de ácidos grasos | BPF |
| Gamma ciclodextrina | BPF |
| Gluconato de sodio | BPF |
| Goma de semillas de algarrobo | BPF |
| Goma arábiga | BPF |
| Goma gellana | BPF |
| Goma guar | BPF |
| Goma karaya | BPF |
| Goma tara | BPF |
| Goma tragacanto | BPF |
| Goma xantano | BPF |
| Grenetina | BPF |
| Hidroxipropilcelulosa | BPF |
| Hidroxipropilmetilcelulosa | BPF |
| Lactitol | BPF |
| Lecitina | BPF |
| Maltodextrina | BPF |
| Metil celulosa | BPF |
| Mono y diglicéridos de los ácidos grasos | BPF |
| Monoestearato de glicerilo | BPF |
| Monoestearato de sorbitán | 6,100 |
| Monoglicéridos acetilados | BPF |
| Pectina | BPF |
| Polidextrosas A y N | PBF |
| Polivinil pirrolidona | BPF |
| Sal de ácido oléico con calcio, potasio y sodio | BPF |
| Sal mirística, palmítica y ácidos esteáricos con amonio, calcio, potasio y sodio | BPF |
| Triestearato de sorbitán | 10,000 |
2.5 Humectantes
| Aditivos | Límite máximo g/kg de producto |
| Glicerina | BPF |
| Sorbitol | 120 * |
| Triacetina | BPF |
* Su uso está limitado a dicha concentración tanto como humectante como edulcorante.
2.6 Reguladores de pH
| Aditivos | Límite máximo g/kg de producto |
| Acetato de amonio | BPF |
| Acetato de calcio | BPF |
| Acetato de potasio | BPF |
| Acetato de sodio | 0,07 |
| Acido acético glacial | BPF |
| Acido cítrico | BPF |
| Acido clorhídrico | BPF |
| Acido fumárico | BPF |
| Acido láctico | BPF |
| Acido málico | BPF |
| Carbonato ácido de sodio | BPF |
| Carbonato ácido de amonio | BPF |
| Carbonato ácido de potasio | BPF |
| Carbonato amónico | BPF |
| Carbonato cálcico | BPF |
| Carbonato magnésico | BPF |
| Carbonato potásico | BPF |
| Carbonato sódico | BPF |
| Citrato trisódico | BPF |
| Citrato dipotásico | BPF |
| Citrato triamónico | BPF |
| Citrato tricálcico | BPF |
| Citrato tripotásico | BPF |
| D-L-ácido tartárico | BPF |
| Dióxido de carbono | BPF |
| Fosfato de calcio dibásico | 5 * |
| Fosfato de calcio monobásico | 5 * |
| Fosfato de calcio tribásico | 5 * |
| Fosfato de sodio dibásico | 5 |
| Fosfato de sodio tribásico | 5 |
| Fumarato de sodio | BPF |
| Gluconato de calcio | BPF |
| Gluconato de magnesio | BPF |
| Glucono delta lactona | BPF |
| Hidrogenomalato de potasio | BPF |
| Hidrogenomalato de sodio | BPF |
| Hidróxido de calcio | BPF |
| Hidróxido de amonio | BPF |
| Hidróxido de magnesio | BPF |
| Hidróxido potásico | BPF |
| Hidróxido sódico | BPF |
| Lactato de amonio | BPF |
| Lactato de calcio | BPF |
| Lactato de magnesio | BPF |
| Lactato de potasio | BPF |
| Lactato de sodio | BPF |
| Malato de calcio | BPF |
| Malato de potasio | BPF |
| Malato de sodio | BPF |
| Oxido de calcio | BPF |
| Pirofosfato de calcio | 5 * |
| Sulfato de potasio | BPF |
| Sulfato de sodio | BPF |
*La cantidad máxima de uso como regulador(es) de acidez, será independiente de la cantidad utilizada como aporte de calcio.
2.7 Conservadores
| Aditivos | Límite máximo g/kg de producto |
| Acido propiónico | BPF |
| Propionato de calcio | BPF |
| Propionato de potasio | BPF |
| Propionato de sodio | BPF |
2.8 Antiaglutinantes
| Aditivos | Límite máximo g/kg de producto |
| Dióxido de silicio amorfo | BPF |
| Etilcelulosa | BPF |
| Oxido de magnesio | BPF |
| Silicato de calcio | BPF |
| Silicato de aluminio | BPF |
| Silicato de aluminio y calcio | BPF |
| Silicato de magnesio | BPF |
| Silicato de sodio y aluminio | BPF |
| Talco | BPF |
2.9 Gas de envasado
| Aditivos | Límite máximo mg/kg de producto |
| Nitrógeno | BPF |
| Oxido nitroso | BPF |
| Propano | BPF |
2.10 Secuestrantes
| Aditivos | Límite máximo mg/kg de producto |
| Glutamato de potasio | BPF |
| Glutamato de sodio | BPF |
2.11 Saborizantes y aromatizantes
En la elaboración de los productos objeto de este apartado, se permite el empleo de los saborizantes o aromatizantes establecidos en el Acuerdo.
3. Productos de panificación
En la elaboración de los productos objeto de este apartado, se permite el empleo de los aditivos y coadyuvantes siguientes:
3.1 Acentuadores de sabor
| Aditivos | Límite máximo mg/kg de producto |
| Acido glutámico | BPF |
| Cloruro de potasio | BPF |
| Cloruro de sodio | BPF |
| Etilmaltol | 100 |
| Extracto de levadura de Sacharomyces cerevisae | BPF |
| Glutamato de calcio | BPF |
| Glutamato de magnesio | BPF |
| Glutamato monoamónico | BPF |
| Glutamato monopotásico | BPF |
| Glutamato monosódico | BPF |
| Guanilato disódico | BPF |
| Inosinato disódico | BPF |
| Maltodextrinas | BPF |
| Sacarosa | BPF |
3.2 Acondicionadores de masa
| Aditivos | Límite máximo mg/kg de producto |
| Acido ascórbico y sus sales de sodio y calcio | BPF |
| Carbonato de calcio | BPF |
| Cloruro de amonio | BPF |
| Dióxido de silicio | BPF |
| Fumararo de calcio | BPF |
| Fumarato de potasio | BPF |
| Fumarato de sodio | BPF |
| Lactato de sodio o calcio | BPF |
| Metabisulfito de sodio | 50 |
| Mono y diglicéridos de ácidos grasos | BPF |
| Oxido de calcio | BPF |
| Sulfato de calcio | 13 |
| Triacetina | BPF |
3.3 Antioxidantes
| Aditivos | Límite máximo mg/kg de grasa |
| Acido ascórbico | BPF |
| Acido fosfórico | 1300 |
| Acido isoascórbico | BPF |
| Alfa-tocoferol | 200 |
| Ascorbato de potasio | BPF |
| Ascorbato de sodio | BPF |
| Bisulfito de sodio | 50 |
| Butilhidroxianisol (BHA) | 200 |
| Butilhidroxitolueno (BHT) | 200 |
| Galato de propilo | 100 * 200** |
| Isoascorbato de sodio | BPF |
| Lecitina | BPF |
| Metabisulfito de sodio o potasio | 50 |
| Oleorresina de paprika | BPF |
| Palmitato de Ascorbilo | 1,000 |
| Sulfito de potasio o sodio | 50 |
| Terbutilhidroquinona (TBHQ) | 200 |
| Tiosulfato de sodio | 50 |
| Tocoferoles mezclados | BPF |
* Panadería ordinaria
** Pastelería fina
3.4 Colorantes
| Aditivos | Límite máximo mg/kg de producto |
| Amarillo 2G Amarillo alimentos 5 No. C.I. 18965* | 100 |
| Amarillo ocaso FCF Amarillo alimentos 3 No. C.I. 15985* | 300 |
| Amarillo alimentos 4 Tartrazina No. C.I. 19140 | 100 |
| Azul brillante FCF Azul alimentos 2 y sus lacas No. C.I. 42090* | 500 (sólo para decoraciones) |
| Beta caroteno Anaranjado alimentos 5 No. C.I. 40800 | BPF |
| Cantaxantina Anaranjado alimentos 8 No. C.I. 40850 | BPF |
| Caramelo Clases I, II y III | BPF |
| Caramelo clase IV | 1200 |
| Carotenos naturales Anaranjado alimentos 5 No. C.I. 75130 | 1,000 |
| Clorofilas Verde natural 3 No. C.I. 75810 | BPF |
| Cúrcumina No. C.I. 75300 | BPF |
| Dióxido de titanio Pigmento blanco 6 No. C.I. 77891 | 10 000 ** |
| Eritrosina Rojo alimentos 14 No. C.I. 45430* | 100 |
| Extracto de annato (Extracto de semillas de Bixa orellana). Anaranjado natural 4 No. C.I. 75120 | 10 |
| Extracto de cochinilla Rojo natural 4 No. C.I. 75470 | 200 |
| Extracto de tegumento de uva No. C.I. N.R. | 100 |
| Indigotina Azul alimentos 1 y sus lacas No. C.I. 73015* | 300 |
| Oxido de hierro amarillo No. C.I. 77492 | 75 |
| Oxido de hierro rojo No. C.I. 77491 | 75 |
| Oxido de hierro negro No. C.I. 77499 | 75 |
| Ponceau 4R Rojo cochinilla A Rojo alimentos 7 No. C.I. 16255 | 50 |
| Riboflavina | 300 (panadería) 1,000 (decoraciones) |
| Rojo allura AC Rojo alimentos 17 No. C.I. 16035* | 300 |
| Rojo betabel o rojo remolacha | BPF |
| ß-apo-8-carotenal Anaranjado alimentos 6 No. C.I. 40820 | 30 |
| Verde rápido F.C.F Verde alimentos 3 No. C.I. 42053 | 100* |
Se pueden utilizar las lacas de aluminio de los colorantes sintéticos antes mencionados, en una concentración de uso que no exceda la concentración permitida del colorante del que proceda.
* Cuando se utilicen mezclas de colorantes artificiales la suma de éstos no debe exceder de 500 mg/kg de producto, respetando la concentración máxima de uso para cada uno de ellos.
** Uso exclusivamente en productos de panificación con cobertura y relleno cremoso.
3.5 Conservadores
| Aditivos | Límite máximo mg/kg de producto |
| Acido benzoico y sus sales de sodio | 1000 solo o combinado con otro conservador permitido |
| Acido propiónico y sus sales de sodio o calcio | BPF |
| Acido sórbico y sus sales de sodio y potasio | 1000 solo o combinado con otro conservador permitido |
| Diacetato de sodio | BPF |
| Eritorbato de sodio | BPF |
| Propil parabeno | 1000 solo o combinado con otro conservador permitido |
| Sorbato de calcio | 1000 |
| Sorbato de potasio | 1000 |
| Sorbato de sodio | 1000 |
* Cuando se utilicen mezclas de conservadores la suma de éstos no deberá exceder el límite máximo del conservador de mayor concentración.
3.6 Emulsivos, estabilizadores, espesantes y gelificantes
| Aditivos | Límite máximo |
| Agar agar | BPF |
| Alginato de amonio, calcio, potasio y sodio | BPF |
| Almidones modificados | BPF |
| Carboximetil celulosa de sodio | BPF |
| Carboximetilcelulosa | BPF |
| Carragenatos de calcio, potasio o sodio | BPF |
| Carragenina | BPF |
| Celulosa microcristalina | BPF |
| Cera de carnauba | BPF |
| Dextrinas | BPF |
| Estearoil 2-lactilato de sodio o calcio | 5000 mg/kg de harina |
| Esteres acéticos de los mono y diglicéridos de los ácidos grasos | BPF |
| Esteres acéticos y de ácidos grasos del glicerol | BPF |
| Esteres cítricos de los mono y diglicéridos de los ácidos grasos | BPF |
| Esteres de ácido diacetil tartárico | BPF |
| Esteres de poliglicerol de ácidos grasos | 10000 mg/kg de harina solo o combinado con otro éster |
| Esteres de propilenglicol de ácidos grasos | 3750 mg/kg de harina |
| Esteres de sacarosa | 3750 mg/kg de producto |
| Esteres del ácido láctico de ácidos grasos | BPF |
| Esteres lácticos y de ácidos grasos del glicerol | BPF |
| Fosfato de aluminio y sodio | 1g/kg de harina |
| Fosfato de sodio | BPF |
| Goma Arábiga | BPF |
| Goma de Algarrobo | BPF |
| Goma Guar | BPF |
| Goma Karaya | BPF |
| Goma laca | BPF |
| Goma Tragacanto | BPF |
| Goma Xantano | BPF |
| Grenetina | BPF |
| Hidroxipropil metil celulosa | BPF |
| Lecitina | BPF |
| Maltodextrinas | BPF |
| Metil celulosa | BPF |
| Metil etil celulosa | BPF |
| Mono y diglicéridos de los ácidos grasos | BPF |
| Monoestearato de Glicerilo | BPF |
| Monoestearato de sorbitán | 6100 mg/kg de harina |
| Monoglicéridos acetilados | BPF |
| Monoglicéridos succinilados | 5g/kg de harina |
| Monopalmitato de glicerilo | BPF |
| Pectinas | BPF |
| Polisorbato 60** | 3,000 sólo para decorados |
| Polisorbato 65** | 3,000 sólo para decorados |
| Polisorbato 80** | 3,000 sólo para decorados |
| Sales de amonio de ácido fosfatídico | BPF |
| Triestearato de sorbitán | 10,000 mg/kg de harina |
| Tripolifosfato de sodio | BPF |
** Cuando se utilicen mezclas de polisorbatos, la suma de éstos no debe exceder del 1%, respetando la concentración máxima de uso para cada uno de ellos.
3.7 Gasificantes o polvos para hornear
| Aditivos | Límite máximo mg/kg de harina |
| Acido tartárico | BPF |
| Bicarbonato de amonio | BPF |
| Bicarbonato de potasio | BPF |
| Bicarbonato de sodio | BPF |
| Carbonato de sodio, amonio o potasio | BPF |
| Fosfato monobásico de calcio | 5000 |
| Pirofosfato ácido de sodio | 2500 |
| Sulfato doble de aluminio y sodio | BPF |
| Tartrato ácido de potasio | 2500 |
3.8 Humectantes
| Aditivos | Límite máximo |
| Alginato de propilenglicol | 5000 mg/kg de producto |
| Glicerina | BPF |
| Propilenglicol | 5000 mg/kg de producto |
| Sorbitol* | 300 g/kg de producto |
* Su uso está limitado a dicha concentración tanto como humectante como edulcorante. La etiqueta del producto que contenga este aditivo alimentario se ajustará a lo establecido en la NOM-086-SSA1-1994 o la que la sustituya (véase referencias).
3.9 Leudante
| Aditivos | Límite máximo |
| Levadura | BPF |
3.10 Reguladores de pH
| Aditivos | Límite máximo |
| Acetato de sodio | 70 mg/kg de producto |
| Acido acético | BPF |
| Acido cítrico | BPF |
| Acido clorhídrico | BPF |
| Acido fumárico y sus sales de sodio o potasio | BPF |
| Acido láctico | BPF |
| Acido málico | BPF |
| Carbonato de amonio | BPF |
| Carbonato de calcio | BPF |
| Citrato de sodio o potasio | BPF |
| Citrato dihidrogenado de sodio | BPF |
| Fosfato diamónico | 9,300 |
| Fosfato dibásico de calcio | 2500 mg/kg de harina |
| Fosfato dibásico de sodio | 2500 mg/kg de harina |
| Fosfato hidrogenado diamónico | 9300 mg/kg de producto |
| Fosfato tricálcico | 5 mg/kg |
| Hidróxido de calcio | BPF |
| Hidróxido de sodio | BPF |
| Lactato de amonio | BPF |
| Lactato de sodio o calcio | BPF |
3.11 Antiaglutinantes
| Aditivos | Límite máximo |
| Oxido de magnesio | BPF |
| Silicato de calcio | BPF |
| Silicato de aluminio | BPF |
| Silicato de aluminio y calcio | BPF |
| Silicato de magnesio | BPF |
| Silicato de sodio | BPF |
| Silicato de sodio y magnesio | BPF |
| Talco | BPF |
3.12 Gases de envasado
| Aditivos | Límite máximo |
| Propano | BPF |
3.13 Saborizantes y aromatizantes
En la elaboración de los productos objeto de este apartado, se permite el empleo de los saborizantes o aromatizantes establecidos en el Acuerdo.
APENDICE NORMATIVO B. MUESTREO DE CEREALES
Generalidades
1. El muestreo debe ser realizado por un técnico en muestreo con un instrumento de muestreo que permita obtener la muestra. En el caso de producto en costales, el instrumento debe llegar al centro de cada costal muestreado.
1.1 Adicionalmente, en el caso de establecimientos, se debe tomar las muestras provenientes de las zonas de calentamiento. Si no existen durante la visita, las tomará de las últimas zonas de calentamiento registradas.
1.2 En los establecimientos, se debe solicitar tomar la temperatura y la humedad de las muestras.
1.3 Se debe registrar, según sea el caso, el área, número de costales o unidades de transporte muestreadas.
1.4 Las bodegas y almacenamientos en intemperie, se dividen en zonas o áreas que contengan hasta 2000 ton, obteniéndose de cada una, la muestra compuesta.
1.5 Se tomarán una o más muestras primarias en cada uno de los puntos de muestreo que se establecen en C.3.1 cuando se trate de producto a granel, o en 2.2 cuando se trate de producto en costales.
1.6 De la suma de las muestras primarias, se constituirá una muestra compuesta, la que se homogeneizará, no debiendo ser menor a 5 kg.
1.7 Dependiendo de la altura del volumen almacenado, será el número de extracciones para cada punto de muestreo.
Tabla 1. Profundidad con que se efectúe el muestreo
| Profundidad m. | Instrumento de muestreo | No. de extracciones |
| 1 | Sonda de alvéolos | 1 |
| 2 | Sonda de bala, sonda de alvéolos. | 3* |
| 3 | Sonda de bala, sonda de alvéolos. | 3* |
| 4 | Sonda de bala. | 3* |
| 5 | Sonda de bala. | 3* |
* Las muestras primarias deben obtenerse de diferentes profundidades.
2. Puntos de muestreo.
2.1 Cereales almacenados a granel en bodegas o almacenamientos en intemperie. Vista superior.
2.2 Cereales almacenados a granel en silos. Vista superior.
2.2.1 Cuando debido al diseño del silo no sea posible tomar las muestras primarias de la parte superior, se tomarán de las escotillas.
2.3 Cereales almacenados en costales.
2.3.1 Se deben identificar las estibas, cada una de las cuales se debe muestrear en forma de "M" imaginaria, la que debe ir del primero al último tendido, el ancho máximo de la parte inferior de la "M" no debe ser mayor a 5 m.
Esquema 3. Puntos de muestreo para producto en costales.
2.3.2 Debe tomarse una muestra de cada uno de los costales por donde pasen las líneas de la "M" trazada de acuerdo a lo señalado en el esquema anterior.
2.3.3 El número mínimo de costales a muestrear por lote, se ajustará a lo señalado en la tabla 1, si el número de sacos almacenados es mayor que el número máximo considerado en la tabla, se muestrearán los restantes como si fuera otro lote.
Tabla 2. Número mínimo de sacos a muestrear por lote
Número de costales
| En lote | A muestrear |
| hasta 99 | 10 |
| 100-199 | 15 |
| 200-299 | 20 |
| 300-499 | 30 |
| 500-799 | 40 |
| 800-1299 | 55 |
| 1300-3199 | 75 |
| 3200-7999 | 115 |
| 8000-21999 | 150 |
| 22000-49999 | 225 |
2.4 Muestreo de cereales en transportes.
2.4.1 Las Secretarías están facultadas para efectuar el muestreo en unidades de transporte en cualquier momento y lugar.
2.4.2 Puntos de muestreo.
Esquema 4. Contenedores terrestres de hasta 30 toneladas. Vista superior.
Esquema 5. Contenedores terrestres mayores de 30 ton. Vista superior.
2.5 Muestreo en movimiento.
2.5.1 Las muestras deben tomarse de los lugares o áreas donde el grano se encuentre en movimiento, como durante las operaciones de carga y descarga de las bodegas, almacenamientos en intemperie o durante los movimientos de transferencia entre silos.
2.5.2 La cantidad de muestra a obtener, será aproximadamente de 1 muestra primaria de aproximadamente 500 g por cada 12,5 ton hasta obtener una muestra compuesta no menor de 5 kg, pudiendo calcularse la frecuencia de introducción del instrumento de muestreo con la siguiente ecuación:
M = t/c
Donde:
M = frecuencia en min con que se debe introducir el instrumento de muestreo.
t = toneladas representadas por cada muestra primaria (ton/muestra).
c = capacidad de la banda transportadora o capacidad de descarga del vehículo (ton/min).
3 Envío de muestras.
Las muestras deben depositarse en bolsas nuevas de papel kraft, evitando su ruptura y etiquetarse al momento de la toma de muestra, las etiquetas se ajustarán a lo establecido en el siguiente formato:
3.1 Del etiquetado de muestras.
3.1.1 Para muestras de bodega.
Tipo de producto _______________________________________________________________
Centro: ______________________________________________________________________
Ubicación: ____________________________________________________________________
Bodega No.: _________________ Sección: ____________________________________________
Fecha toma de muestra: _________________________________________
Hora:_______________________________________________________________________
Observaciones:________________________________________________________________
Identificación de la muestra:
3.1.2 Para muestras durante la movilización.
Tipo de producto:_______________________________________________________________
Centro de envío: _______________________________________________________________
Ubicación: ____________________________________________________________________
Centro de destino: ______________________________________________________________
Ubicación: ____________________________________________________________________
Nombre o Cía.: ________________________________________________________________
Fecha y hora de la toma de muestra: _________________________________________________
Datos del vehículo: _____________________________________________________________
Identificación de la muestra:
3.2 Reporte de laboratorio.
Identificación de la muestra:
Centro: ______________________________________________________________________
Ubicación: ____________________________________________________________________
Tipo de producto:_______________________________________________________________
Nombre de bodegas muestreadas: __________________________________________________
Número de muestras compuestas por bodega: __________________________________________
Concentración en cada muestra compuesta: ___________________________________________
Concentración promedio de AF en cada bodega: ________________________________________
Identificación de la muestra:
Fecha de realización del análisis:
Vehículo muestreado: ________________________________
Centro de origen: ____________________________________
Centro de destino: ___________________________________
Concentración de AF: __________________________
En caso de resultar la concentración de AF mayor o igual a 20 µg/kg reportar a:__________________
___________________________________________________________________________
Fecha de realización del análisis: _________________________________________________________
15.3 Apéndice normativo C. Métodos de Prueba
Indice
1 Determinación de materia extraña
1.1 Método para la determinación de materia extraña pesada en harinas de cereales
1.2 Método para la determinación de materia extraña ligera en harina de trigo
1.3 Método para la determinación de materia extraña ligera en harina de maíz
1.4 Método para la determinación de materia extraña ligera en harina de arroz
1.5 Método para la determinación de materia extraña ligera en harina de cebada, harina de avena y mezcla de cereales secos
1.6 Determinación de materia extraña ligera en alimentos a base de cereales, de semillas comestibles, de harinas, sémolas o semolinas o sus mezclas
1.7 Métodos para la determinación de materia extraña en productos de panificación.
1.7.1 Método para la determinación de materia extraña ligera (fragmentos de insectos, insectos enteros, pelos de roedor y fragmentos de plumas) en productos horneados con frutas y nueces.
1.7.2 Método para la determinación de materia extraña ligera en pan blanco y productos con alto contenido de grasa
1.7.3 Método para la determinación de materia extraña ligera en panes con alto contenido de fibra
2 Método para la Determinación de Humedad y Sólidos Totales en Harina
3 Método de prueba para la determinación de aflatoxinas en cereales.
4 Análisis microbiológico de productos objeto de esta norma
4.1 Procedimiento para la preparación y dilución de muestras de alimentos para su análisis microbiológico.
4.2 Método para la cuenta de bacterias aerobias en placa.
4.3 Método para la cuenta de microorganismos coliformes totales en placa.
4.4 Método para la determinación de Salmonella en alimentos.
4.5 Método para la determinación de Staphylococcus aureus en productos objeto de esta norma
4.6 Método para la cuenta de mohos y levaduras en alimentos
5 Método de prueba para la determinacion de cadmio, plomo, fierro y zinc en productos objeto de esta norma alimentos por espectrometría de absorción atómica.
6 Determinación de Vitamina B1 y B2 por Cromatografía Líquida de Alta Resolución (HPLC).
7 Determinación de Niacina. Método microbiológico
8 Determinación de Acido Fólico. Método microbiológico.
1 Determinación de materia extraña
1.1 Método para la determinación de materia extraña pesada en harinas de cereales
1.1.1 Fundamento.
La materia extraña se separa por sedimentación y posteriormente se filtra para observación al microscopio.
1.1.2 Reactivos y Materiales.
Todos los reactivos que a continuación se mencionan deben ser grado analítico a excepción de los que se indican.
Cuando se indique agua debe entenderse como agua destilada.
1.1.2.1 Reactivos.
Cloroformo (CHCl3).
Isopropanol (C3H8-OH).
Mezcla glicerina - alcohol etílico 96% Alc. Vol. 1:3
(v/v) (C3H5) (OH)3 - C2H5-OH).
(Mezclar 1 volumen de glicerina con 3 volúmenes de alcohol etílico)
1.1.2.2 Material.
Vasos de precipitados de 250 ml.
Papel de filtración rápida rayado para conteo con líneas paralelas de aproximadamente 5 mm de separación.
Embudo Büchner.
Matraz Kitazato.
Material común de laboratorio.
1.1.3 Equipo.
Balanza analítica con 0,1 mg de sensibilidad.
Equipo de filtración al vacío.
Microscopio binocular estereoscópico con objetivos que pueden ser de 3, 6, 7 y 10x y oculares apareados de amplio campo visual de 10, 30 y 100 x respectivamente.
Lámpara para el microscopio o luz natural equivalente.
1.1.4 Procedimiento.
1.1.4.1 Pesar por triplicado 50 g de muestra en un vaso de precipitados de 250 ml.
1.1.4.2 Añadir CHCl3 hasta 1 cm del borde, mezclar muy bien y dejar reposar por lo menos 30 min. Revolver varias veces durante este lapso la capa que sube hasta la superficie.
1.1.4.3 Decantar el CHCl3 y el tejido flotante a un papel filtro en un embudo Büchner. Cuidar de no remover los residuos pesados del fondo del vaso. Antes de decantar hay que cuidar que la capa que queda flotando no se haga tan compacta que dificulte esta operación.
1.1.4.4 Añadir una cantidad de isopropanol igual a la cantidad de cloroformo y sedimento que queda en el vaso de precipitados; dejar que vuelva a reposar y decantar como antes.
1.1.4.5 Repetir este proceso con una mezcla a partes iguales de cloroformo e isopropanol hasta que quede muy poco tejido en el vaso. Debe tenerse cuidado de no decantar ningún fragmento de materia extraña pesada que pueda estar presente.
1.1.4.6 Filtrar a través de un papel filtro rayado y lavar los residuos del vaso con una fracción de cloroformo o isopropanol.
1.1.4.7 Pasar el papel filtro con el residuo a una caja Petri humedecida con la mezcla de glicerina - alcohol etílico y así mantenerlo.
1.1.4.8 Contar al microscopio utilizando una luz suficientemente fuerte para que muestre todos los detalles a través del microscopio. Contar y explorar con la aguja de disección sobre toda la superficie del papel, línea por línea.
1.1.4.9 Voltear y explorar cada pieza del material ya que algunos fragmentos son irreconocibles a menos que se muevan.
1.1.4.10 No contar material dudoso (una amplificación de 30x en algunos casos es útil para examinar piezas dudosas).
1.1.4.11 Marcar el papel en un lado de cada fragmento y contar por medio de un lápiz graso, para futuros chequeos y para evitar cuentas erróneas.
1.1.5 Reportar el promedio de las 3 determinaciones como excretas, arena y alguna otra materia extraña pesada encontrada en 50 g de muestra.
1.2 Método para la determinación de materia extraña ligera en harina de trigo
1.2.1 Fundamento.
Después de someter la muestra a una hidrólisis ácida, el material considerado como materia extraña ligera se captura por flotación en aceite mineral y posteriormente retenido en papel filtro para su observación al microscopio.
1.2.2 Reactivos y materiales.
Todos los reactivos que a continuación se mencionan deben ser grado analítico a menos que se indique otra especificación.
Cuando se indique agua debe entenderse como agua destilada.
1.2 2.1 Reactivos.
Acido clorhídrico (HCl) de 36,5 a 38,0% de pureza, con un peso específico de 1,185 - 1,192.
Acido clorhídrico al 3%. Diluir 3 volúmenes de ácido clorhídrico en 97 volúmenes de agua (v/v).
Solución de detergente al 5% (p/v).
i) En un vaso de precipitados de 100 ml pesar 5 g de laurilsulfato de sodio.
ii) Disolver con agua y trasvasar cuantitativamente a un matraz volumétrico de 100 ml enjuagando varias veces con agua y llevar al aforo.
Aceite mineral ligero con un peso específico (24°C) de 0,840 - 0,860 y una viscosidad (40°C) de 45 - 55 cSt.
Mezcla glicerina - alcohol etílico 96% Alc. Vol. 1:3 (v/v) (C3H5) (OH)3 - C2H5-OH)
i) Mezclar 1 volumen de glicerina con 3 volúmenes de alcohol etílico.
1.2.2.2 Materiales.
Vasos de precipitados de 100, 250, 1000 y 2000 ml.
Matraz Kitazato.
Embudo Büchner.
Embudo percolador o embudo Kilborn.
Caja Petri.
Aguja de disección.
Parrilla de calentamiento con agitación.
Papel de filtración rápida rayado para conteo con líneas paralelas de aproximadamente 5 mm de separación.
Material común de laboratorio.
1.2.3 Equipo.
Balanza analítica con 0,1 mg de sensibilidad.
Equipo de filtración al vacío.
Agitador magnético.
Microscopio binocular estereoscópico con objetivos que pueden ser de 3, 6, 7 y 10x y oculares apareados de amplio campo visual de 10, 30 y 100x respectivamente.
Lámpara para el Microscopio o luz natural equivalente.
1.2.4 Procedimiento.
1.2.4.1 Digerir por triplicado 50 g de harina en un vaso de precipitados de 2000 ml con 600 ml de ácido clorhídrico al 3% en un autoclave por 5 min a 121°C. Dejar que la presión baje a cero y abrir la válvula de ventilación. Transferir inmediatamente el digerido a un vaso de precipitados de 1000 ml, enjuagando con ácido
clorhídrico al 3% a temperatura ambiente.
1.2.4.2 Adicionar 50 ml de aceite mineral y agitar magnéticamente por 5 min, transferir a un embudo percolador conservando el vaso. Dejar reposar por 30 min y agitar muy suavemente con una varilla de vidrio varias veces, durante los primeros 10 min.
1.2.4.3 Drenar la capa inferior hasta aproximadamente 3 cm de la interfase. Lavar los lados con agua fría y dejar que las capas se separen por un tiempo aproximado de 2 a 3 min. Repetir el drenado y lavado con agua hasta que la fase inferior esté clara. Después del lavado final, drenar la capa de aceite en el vaso original y enjuagar los lados del embudo con agua y alcohol etílico.
1.2.4.4 Agregar ácido clorhídrico al 3% y llevar a ebullición por 3 a 4 min en una parrilla de calentamiento. Filtrar (usando un embudo Büchner y sistema de vacío) la solución caliente a través de un papel filtro rayado y enjuagar perfectamente el vaso y embudo con agua, alcohol y una solución de detergente al 5%. Filtrar en forma separada cada enjuague a través del mismo papel filtro.
1.2.4.5 Examinar el papel en el microscopio como en el método 1 según los puntos 1.1.4.7 al 1.1.4.11
1.2.4.6 Reportar el promedio de las 3 determinaciones como fragmentos de insectos, pelos de roedor y alguna otra materia extraña ligera encontrados en 50 g de muestra.
1.3 Método para la determinación de materia extraña ligera en harina de maíz
1.3.1 Fundamento.
Después de someter la muestra a una hidrólisis ácida, el material considerado como materia extraña ligera se captura por flotación en aceite mineral y posteriormente retenido en papel filtro para su observación al microscopio.
1.3.2 Reactivos y Materiales.
Todos los reactivos que a continuación se mencionan deben ser grado analítico a menos que se indique otra especificación.
Cuando se indique agua debe entenderse agua destilada.
1.3.2.1 Reactivos.
Acido clorhídrico (HCl) de 36,5 a 38,0% de pureza y con un peso específico de 1,185 - 1,192.
i) Acido clorhídrico al 5%. Diluir 5 volúmenes de ácido clorhídrico en 95 volúmenes de agua (v/v).
Solución de detergente al 5% (v/v).
i) En un vaso de precipitados de 100 ml pesar 5 g de laurilsulfato de sodio.
ii) Disolver con agua y trasvasar cuantitativamente a un matraz volumétrico de 100 ml enjuagando varias veces con agua y llevar al aforo.
Aceite mineral ligero. Con un peso específico (24°C) de 0,840-0,860 y una viscosidad (40°C) de 45 - 55 cSt.
Keroseno deodorizado.
Mezcla glicerina - alcohol etílico 96% Alc. Vol. 1:3 (v/v) (C3H5) (OH)3 - C2H5-OH)
i) Mezclar 1 volumen de glicerina con 3 volúmenes de alcohol etílico.
1.3.2.2 Material.
Vasos de precipitados de 100, 250, 1000 y 2000 ml.
Matraz Kitazato.
Embudos de extracción.
Embudo de Hirsch.
Caja Petri.
Aguja de disección.
Parrilla de calentamiento con agitación.
Papel de filtración rápida rayado para conteo con líneas paralelas de aproximadamente 5 mm de separación.
Material común de laboratorio.
1.3.3 Equipo.
Balanza analítica con 0,1 mg de sensibilidad.
Equipo de filtración al vacío.
Agitador magnético.
Microscopio binocular estereoscópico con objetivos que pueden ser de 3, 6, 7 y 10x y oculares apareados de amplio campo visual de 10, 30 y 100x respectivamente.
Lámpara para el microscopio o luz natural equivalente.
1.3.4 Procedimiento.
1.3.4.1 Dispersar por triplicado 50 g de harina en vasos de precipitados de 1000 ml con 400 ml de ácido clorhídrico al 5% (v/v) y de 20 ml de aceite mineral. Colocar el vaso en una parrilla de calentamiento y llevar a ebullición agitando constantemente (con agitador magnético). Hervir por 10 min.
1.3.4.2 Quitar el vaso de la parrilla de calentamiento y pasar su contenido a un embudo de extracción. Enjuagar el vaso y la varilla con 50 ml de agua caliente, pasar los enjuagues al embudo de extracción y retener el vaso y la varilla. Llenar el embudo con agua fría hasta aproximadamente 3 cm abajo de la parte superior.
1.3.4.3 Dejar sedimentar por espacio de 30 min y drenar la capa inferior hasta aproximadamente 5 cm de la interfase. Adicionar 25 ml de Keroseno al embudo y drenar la capa de aceite en el vaso retenido. Si se separó una gran cantidad de material almidonoso junto con la capa de aceite, hidrolizar con 100 a 200 ml de ácido clorhídrico al 5% antes de continuar.
1.3.4.4 Lavar las paredes del embudo de extracción con una solución de detergente al 5% y colectar los lavados en el vaso retenido. Filtrar el contenido completo del vaso con una solución de detergente al 5% y filtrar a través del mismo papel.
1.3.4.5 Examinar el papel en el microscopio como en el método 1 según los puntos 1.1.4.7 al 1.1.4.11.
1.3.4.6 Reportar el promedio de las 3 determinaciones como fragmentos de insectos, pelos de roedor y alguna otra materia extraña ligera encontrados en 50 g de muestra.
1.4 Método para la determinación de materia extraña ligera en harina de arroz
1.4.1 Fundamento.
Después de someter la muestra a una hidrólisis ácida, el material considerado como materia extraña ligera se captura por flotación en aceite mineral y posteriormente retenido en papel filtro para su observación al microscopio.
1.4.2 Reactivos y Materiales.
Todos los reactivos que a continuación se mencionan deben ser grado analítico a menos que se indique otra especificación.
Cuando se indique agua debe entenderse como agua destilada.
1.4.2.1 Reactivos.
Acido clorhídrico (HCl) de 36,5 a 38,0% de pureza y con un peso específico de 1,185 - 1,192.
i) Acido clorhídrico al 5%. Diluir 3 volúmenes de ácido clorhídrico en 97 volúmenes de agua (v/v).
Solución de detergente al 1% (p/v).
i) En un vaso de precipitados de 100 ml pesar 1 g de laurilsulfato de sodio.
ii) Disolver con agua y trasvasar cuantitativamente a un matraz volumétrico de 100 ml enjuagando varias veces con agua y llevar al aforo.
Aceite mineral ligero. Con un peso específico (24°C) de 0,840 - 0,860 y una viscosidad (40°C) de 45 - 55 cSt.
Isopropanol (CH3)2 CHOH al 40% (v/v).
Diluir 40 ml de isopropanol con agua en un matraz volumétrico de 100 ml y llevar al volumen.
Mezcla glicerina - alcohol etílico 96% Alc. Vol. 1:3 (v/v) (C3H5) (OH)3 - C2H5-OH).
i) Mezclar 1 volumen de glicerina con 3 volúmenes de alcohol etílico.
1.4.2.2 Material.
Vasos de precipitados de 100, 250, 1000 y 2000 ml.
Matraz Kitazato.
Embudos Büchner.
Embudo percolador o embudo Kilborn.
Caja Petri.
Aguja de disección.
Parrilla de calentamiento con agitación.
Papel de filtración rápida rayado para conteo con líneas paralelas de aproximadamente 5 mm de separación.
Tamiz con número de malla 230.
Material común de laboratorio.
1.4.3 Equipo.
Balanza analítica con 0,1 mg de sensibilidad.
Equipo de filtración al vacío.
Agitador magnético.
Microscopio binocular estereoscópico con objetivos que pueden ser de 3, 6, 7 y 10x y oculares apareados de amplio campo visual de 10, 30 y 100x respectivamente.
Lámpara para el Microscopio o luz natural equivalente.
1.4.4 Procedimiento.
1.4.4.1 Preparación de la muestra.
i) Precalentar la parrilla a la máxima temperatura. Colocar la barra magnética en un vaso de precipitados de 2000 ml. Adicionar 100 g de muestra y 100 ml de agua caliente de forma rápida y vigorosa. Agregar 75 ml de ácido clorhídrico y llevar a la marca de 800 ml con agua caliente. Hacer esta determinación por triplicado.
ii) Colocar la mezcla caliente en la parrilla con agitación y agitar vigorosamente hasta ebullición. Hervir por espacio de 5 min.
iii) En pequeñas cantidades transferir la mezcla caliente a través de un tamiz con número de malla 230. Guardar el vaso de precipitados.
iv) Lavar el residuo que queda en el tamiz con agua caliente a chorro constante hasta que disminuya el espumado y el agua salga cristalina.
v) Transferir el residuo a un vaso de 2000 ml con isopropanol al 40%. Colocar la barra magnética y llevar con isopropanol al 40% hasta la marca de 800 ml. Colocar en la parrilla y calentar a ebullición con agitación constante. Adicionar 95 ml de aceite mineral y llevar a ebullición durante 3 min.
vi) Fijar el embudo de separación (percolador) y adicionar 300 ml de isopropanol al 40%. Transferir la mezcla caliente por la parte superior del embudo (percolador). Enjuagar el vaso de 2000 ml con isopropanol al 40% y vaciar el enjuagado en el embudo de separación (percolador). Con el mismo vaso adicionar suficiente isopropanol al 40% (aproximadamente 1000 ml) hasta 3 cm antes de la parte superior del embudo.
vii) Dejar reposar 5 min y drenar el contenido hasta 5 cm antes del fondo de la capa de aceite.
viii) Repetir el llenado a intervalos de 2 min con agua caliente hasta que la fase acuosa sea clara.
ix) Drenar la capa de aceite dentro de un vaso de precipitados de 1000 ml. Enjuagar el embudo de separación (percolador) por las paredes con constantes lavados de agua e isopropanol al 40%, colectar los lavados en el mismo vaso de precipitados de 1000 ml y enjuagar finalmente con una solución de detergente al
1%. Filtrar a través del papel filtro rayado.
x) Examinar el papel en el microscopio como en el método 1 según los puntos 1.1.4.7 al 1.1.4.11.
xi) Reportar el promedio de las 3 determinaciones como fragmentos de insectos, pelos de roedor y alguna otra materia extraña ligera encontrados en 50 g de muestra.
1.5 Método para la determinación de materia extraña ligera en harina de cebada, harina de avena y mezcla de cereales secos
1.5.1 Fundamento
Después de someter la muestra a una hidrólisis ácida el material considerado como materia extraña ligera se captura por flotación en aceite mineral y posteriormente retenido en papel filtro para su observación al microscopio.
1.5.2 Reactivos y Materiales
Todos los reactivos que a continuación se mencionan deben ser grado analítico a menos que se indique otra especificación.
Cuando se indique agua debe entenderse como agua destilada.
1.5.2.1 Reactivos
Acido clorhídrico (HCl) de 36,5 a 38,0% de pureza y con un peso específico de 1,185 - 1,192.
i) Acido clorhídrico al 3%. Diluir 3 volúmenes de ácido clorhídrico en 97 volúmenes de agua (v/v).
Aceite mineral ligero. Con un peso específico (24°C) de 0,840 - 0,860 y una viscosidad (40°C) de 45 - 55 cSt.
Mezcla glicerina - alcohol etílico 96% Alc. Vol. 1:3 (v/v) (C3H5) (OH)3 - C2H5-OH)
ii) Mezclar 1 volumen de glicerina con 3 volúmenes de alcohol etílico.
Isopropanol (CH3)2 CHOH al 40% (v/v).
iii) Diluir 40 ml de isopropanol con agua en un matraz volumétrico de 100 ml y llevar al aforo.
Mezcla isopropanol al 40% - tween 80 o equivalente (1:1)
iv) A 40 ml de tween 80, adicionar 210 ml de isopropanol al 40%, mezclar y filtrar (se pueden preparar volúmenes proporcionales).
Mezcla isopropanol al 40%- Sal disódica de ácido etilendiaminotetraacético (EDTA)
v) Disolver 5 g de sal disódica de EDTA en 150 ml de agua, agregar 100 ml de isopropanol al 40% mezclar y filtrar (se pueden preparar volúmenes proporcionales).
Igepal (Dialquilfenoxipolietilenoxietanol) o emulsificante equivalente.
1.5.2.2 Material
Vasos de precipitados de 100, 600, 1000 y 2000 ml
Matraz trampa de Wildman de 1000 o 2000 ml
Embudos para polvos
Embudo de Büchner
Matraz Kitazato
Caja Petri
Tamiz con número de malla 230
Aguja de disección
Parrilla de calentamiento con agitación
Papel de filtración rápida rayado para conteo con líneas paralelas de aproximadamente 5 mm de separación.
Material común de laboratorio.
1.5.3 Equipo
Balanza analítica con 0,1 mg de sensibilidad
Equipo de filtración al vacío
Agitador magnético
Microscopio binocular estereoscópico con objetivos que pueden ser de 3, 6, 7 y 10x y oculares apareados de amplio campo visual de 10, 30 y 100x respectivamente.
Lámpara para el Microscopio o luz natural equivalente.
1.5.4 Procedimiento
1.5.4.1 Pesar por triplicado 50 g de muestra en un vaso de precipitados de 2000 ml con una corriente fuerte de agua caliente (55-70°C) dirigida a una pared del vaso, agregar 1 litro de agua, adicionar 80 ml de ácido clorhídrico. Si la lista de ingredientes del producto incluye aceite vegetal, adicionar 20 ml de emulsificante Igepal.
1.5.4.2 En la parrilla precalentada al máximo calor, colocar el vaso. Al inicio agitar vigorosamente para evitar que se queme, después volver a agitar suavemente para mezclar y calentar durante 20 min. Si el producto se obscurece, reducir la intensidad de la temperatura.
1.5.4.3 Transferir el contenido del vaso a un tamiz con número de malla 230 y lavarla bajo una fuerte corriente de agua, hasta que ésta salga clara, lavar el residuo colocando la muestra sobre uno de los lados del tamiz.
1.5.4.4 Empapar el residuo húmedo con isopropanol y dejarlo drenar. Formar una copa de papel filtro y envolver éste alrededor de un vaso de precipitados de 600 ml e introducir la copa de papel en el vaso de precipitados de 1000 ml.
1.5.4.5 Con la ayuda de un embudo para polvos, llevar el matraz trampa con isopropanol al 40% dejándolo caer lentamente por la varilla de agitación. Dejar reposar por 30 min y atrapar. Adicionar 35 ml de aceite mineral agitar suavemente a mano por 30 segundos y dejar reposar 10 min. Volver a entrampar, filtrar sobre papel filtro rayado.
1.5.4.6 Examinar el papel en el microscopio como en el método 1 según los puntos 1.1.4.7 al 1.1.4.11.
1.5.4.7 Reportar el promedio de las 3 determinaciones como fragmentos de insectos, pelos de roedor y alguna otra materia extraña ligera encontrados en 50 g de muestra.
1.6 Determinación de materia extraña ligera en alimentos a base de cereales, de semillas comestibles, de harinas, sémolas o semolinas o sus mezclas
1.6.1 Fundamento
Después de someter la muestra a una hidrólisis ácida el material considerado como materia extraña ligera se captura por flotación en aceite mineral y posteriormente retenido en papel filtro para su observación al microscopio.
1.6.2 Reactivos y materiales
Todos los reactivos que a continuación se mencionan deben ser grado analítico a menos que se indique otra especificación.
Cuando se indique agua debe entenderse agua destilada.
1.6.2.1 Reactivos
Acido clorhídrico (HCl) de 36,5 a 38,0% de pureza y con un peso específico de 1,185-1,192.
Aceite mineral ligero. Con un peso específico (24°C) de 0,840-0,860 y una viscosidad (40°C) de 45-55 cSt.
Mezcla glicerina - alcohol etílico de 96% alc. vol. 1:3 (v/v)
(C3H5)(OH)3 - C2H5-OH)
i) Mezclar 1 volumen de glicerina con 3 volúmenes de alcohol etílico.
Isopropanol (CH3)2CHOH al 40% (v/v).
ii) Diluir 40 ml de isopropanol con agua en un matraz volumétrico de 100 ml y llevar al aforo.
Igepal (Dialquilfenoxipolietilenoxietanol) o el equivalente como tween.
1.6.2.2 Material
Vasos de precipitados de 100, 600, 1000 y 2000 ml
Matraz trampa de Wildman de 1000 o 2000 ml o percolador o embudo de Kilborn
Embudo Büchner
Matraz Kitazato
Caja Petri
Agitador magnético
Tamiz con número de malla 230
Aguja de disección
Papel de filtración rápida rayado para conteo con líneas paralelas de aproximadamente 5 mm de separación
Material común de laboratorio
1.6.3 Aparatos e Instrumentos
Parrilla de calentamiento con agitación
Balanza analítica con 0,1 mg de sensibilidad
Equipo de filtración al vacío
Microscopio binocular estereoscópico con objetivos que pueden ser de 3, 6, 7 y 10x y oculares apareados de amplio campo visual de 10, 30 y 100x respectivamente
Lámpara para el microscopio o luz natural equivalente.
1.6.4 Procedimiento
1.6.4.1 Para productos de bajo contenido de grasas o aceites:
Pesar por triplicado 50 g de muestra en un vaso de precipitados de 1 o 1,5 litros (dependiendo del volumen del producto) adicionar 500 ml de agua caliente (55-70°C) y 40 ml de HCl. Colocar en una parrilla con agitación magnética, calentar la mezcla hasta ebullición agitando suavemente durante 20 min.
Transferir el contenido del vaso a un tamiz con número de malla 230 y lavarla bajo una fuerte corriente de agua, hasta que ésta salga clara, lavar el residuo colocando la muestra sobre uno de los lados del tamiz, lavando con isopropanol al 40%. Transferir el contenido del tamiz al matraz trampa de Wildman o regresarlo al vaso original si se va a emplear el percolador.
i) Procedimiento con el matraz trampa
Con isopropanol al 40% llevar a un volumen de 800 ml y adicionar 30 ml de HCl, colocar el matraz sobre una parrilla con agitación magnética. Subir la varilla de agitación arriba del nivel del líquido sosteniéndola con una pinza. Colocar una barra magnética y con agitación suave hervir la muestra durante 5 min. Adicionar 50 ml de aceite mineral y agitar 3 min. Quitar el matraz de la parrilla y lavarlo con isopropanol al 40%. Dejar reposar 10 min y entrampar enjuagando el cuello del matraz con isopropanol o alcohol. Filtrar sobre papel filtro rayado. Examinar al microscopio.
ii) Procedimiento para el percolador o embudo de Kilborn
En el vaso original de la muestra llevar a un volumen de 600 ml con isopropanol al 40% y adicionar 25 ml de HCl. Llevar a ebullición con agitación suave, hervir durante 5 min, agregar 50 ml de aceite mineral y agitar 3 min.
Transferir el contenido del vaso al percolador enjuagando el vaso sobre éste con isopropanol al 40%.
Si el residuo en el separador es pesado, resuspenderlo con una varilla de vidrio, enjuagándola dentro del percolador.
Dejar reposar por 3 min y drenar el contenido hasta 3 cm antes de llegar a la parte superior de la capa de aceite, volver a llenar con agua caliente (55-70°C), repetir la operación de drenado y llenar con agua caliente con intervalos de 3 min hasta que la fase acuosa quede libre de "material plant" (material entrampable).
Desechar los drenados. Drenar la capa oleosa, recibiéndola en el vaso original, lavando las paredes del percolador alternativamente con isopropanol o agua caliente y alcohol, usando un gendarme de hule para
lavar las paredes.
Filtrar el contenido del vaso sobre papel rayado. Examinar al microscopio.
1.6.4.2 Para productos que contienen alto contenido de grasas o aceite:
Proceder como en 1.6.4.1, previa adición de 20 ml del emulsificante (Igepal o su equivalente).
1.6.5 Informe de la prueba
Reportar el promedio de las tres determinaciones como fragmentos de insectos, pelos de roedor y alguna materia extraña ligera encontradas en 50 g de muestra.
1.7 Métodos para la determinación de materia extraña en productos de panificación.
1.7.1 Método para la determinación de materia extraña ligera (fragmentos de insectos, insectos enteros, pelos de roedor y fragmentos de plumas) en productos horneados con frutas y nueces.
Método por Hidrólisis Acida.
1.7.1.1 Fundamento
Después de someter la muestra a una hidrólisis ácida el material considerado como materia extraña ligera se capta por flotación en heptano y es posteriormente retenido en papel filtro para su observación al microscopio.
1.7.1.2 Reactivos y Materiales
Todos los reactivos que a continuación se mencionan deben ser grado analítico a menos que se indique otra especificación.
Cuando se indique agua deberá entenderse agua destilada.
i) Reactivos.
Acido clorhídrico (HCl) de 36,5 a 38,0% de pureza y con un peso específico de 1,185 - 1,192
Alcohol etílico (C2H5OH) al 95% puede emplearse alcohol comercial sin desnaturalizar.
Alcohol etílico al 60%
En un matraz volumétrico de 1 litro adicionar 631,6 ml de alcohol de 95% y llevar al volumen con agua.
Cloroformo (CHCl3)
Heptano C7H6 puede emplearse n-heptano comercial con un contenido máximo de 8% de tolueno.
Mezcla glicerina-alcohol etílico (C3H5(OH)3 C2H5OH) 1:3 v/v
Mezclar 1 volumen de glicerina con 3 volúmenes de alcohol etílico al 95%.
Solución de acetato de etilo (C4H8O2) solución acuosa saturada.
Solución antiespumante: Diluir 1g de antiespumante con 20 ml de solución de acetato de etilo, usar el sobrenadante y mantener el envase perfectamente cerrado.
ii) Materiales.
Vaso de precipitados de 100, 250, 1000 y 2000 ml.
Vidrios de reloj.
Matraces volumétricos de diferentes capacidades.
Matraz trampa de Wildman, compuesto de Imetraz.
Matraz Erlenmeyer de 1 a 12 litros previsto de un tapón émbolo de hule sujeto al extremo de una varilla metálica.
Embudo Büchner.
Caja Petri.
Aguja de disección.
Papel de filtración rápida rayado para conteo con líneas paralelas de aproximadamente 5 mm de separación.
Tamiz con No. de malla 140 de 5 a 8 pulgadas de diámetro.
1.7.1.3 Equipo
Autoclave
Balanza analítica con sensibilidad de 0,1 mg
Sistema para filtrar al vacío
Placa de calentamiento
Microscopio binocular estereoscópico con objetivos que pueden ser 3, 6, 7, 10x y oculares apareados de amplio campo visual de 10, 30 y 100x respectivamente.
Lámpara para el microscopio o luz natural equivalente.
1.7.1.4 Procedimiento
Agregar 225 g de muestra a un vaso de precipitados de 2 litros que contenga 1 litro de agua y 30 ml de ácido clorhídrico concentrado.
Humedecer completamente el producto y agitar hasta que la suspensión esté prácticamente libre de grumos. Agregar la solución antiespumante y tapar con un vidrio de reloj, calentar de 15 a 20 min en autoclave a 121°C. Dejar que la presión baje a 0 antes de abrir la válvula de ventilación.
Transferir el digerido en pequeñas porciones al tamiz de malla No. 140 y lavar perfectamente entre adiciones con la pasta rociadora de una piseta. Después de que toda la muestra ha sido transferida, continuar con el lavado hasta que no haya reducción en la cantidad del residuo.
Después de completar los lavados (sin material almidonoso visible libre de salvado), lavar dos veces en forma alternativa con alcohol y cloroformo en ese orden, después enjuagar perfectamente con alcohol y finalmente con agua.
Transferir el material a un papel filtro si es que hay poco residuo a un matraz trampa de 1 o 2 litros si hay mucho residuo.
Usar una cuchara para transferir la mayor parte del material.
Enjuagar el residuo del tamiz con una piseta que contenga alcohol al 60%, lavar la malla con un chorro constante de agua caliente, colectando el residuo final en un borde de la malla, pasarlo al matraz trampa con la ayuda de la piseta de alcohol al 60%. Agregar 400 o 900 ml de alcohol al 60% dependiendo del tamaño del matraz.
Hervir por 20 min. Enfriar abajo de 20°C y adicionar 20 o 40 ml de heptano, llevar al matraz con alcohol al 60% y sifonear 2 veces.
Tener cuidado en la agitación y adición del alcohol para prevenir emulsiones o inclusión de aire si el residuo en el matraz tiende a elevarse, agitar el material hacia abajo 2 o 3 veces.
Filtrar con el fin de retener el material y examinar el microscopio.
Pasar el papel filtro con el residuo o una caja Petri humedecida con la mezcla de glicerina-alcohol etílico y así mantenerlo.
Contar al microscopio utilizando una luz suficientemente fuerte para que muestre todos los detalles a través del microscopio, contar y explorar con la aguja de disección sobre toda la superficie del papel, línea por línea voltear y explorar cada pieza del material, ya que algunos fragmentos son irreconocibles a menos que se muevan.
No contar material dudoso, una amplificación de 30X en algunos casos es útil para examinar piezas dudosas.
Marcar el papel en un lado de cada fragmento contado, por medio de un lápiz graso, para futuros chequeos y para evitar cuentas erróneas.
Repetir el conteo para los fragmentos de insectos, pelos de roedor, incrustados en 225 g de muestra.
1.7.2 Método para la determinación de materia extraña ligera en pan blanco y productos con alto contenido
de grasa
1.7.2.1 Fundamento
Después de someter a la muestra a una digestión el material considerado como materia extraña ligera se capta por flotación en aceite y es posteriormente retenido en papel filtro para su observación al microscopio.
1.7.2.2 Reactivos y Materiales
i) Reactivos
Acido Clorhídrico HCl de 36,5 a 38,0% de pureza y con un peso específico de 1,185 - 1,192
Aceite mineral ligero con peso específico (24°C) de 0,840 - 0,860 y una viscosidad (40°C) de 45 - 55 cSt.
Alcohol etílico (C2H5OH) al 95% se puede emplear alcohol comercial sin desnaturalizar.
Isopropanol (CH3)2CHOH
Solución de acetato de etilo (C4H8O2), solución acuosa saturada.
Solución antiespumante. Diluir 1 g de antiespumante con 20 ml de solución de acetato de etilo, usar el sobrenadante y mantener el envase perfectamente cerrado.
Emulsificantes. Surfactantes no iónicos, solubles en agua, A-Nonilfenoxipoli (etilenoxi) etanol; Igepal CO-730 o equivalente.
Beta- Dialquilfenoxi Poli (etilenoxi) etanol Igepal DM-710
Detergente al 5% (p/v). Disolver 5 g de lauril sulfato de sodio y llevar al volumen de 100 ml
ii) Material
Vasos de precipitados de 100, 250, 1000 y 2000 ml
Matraces volumétricos de diferentes capacidades
Vidrios de reloj
Caja Petri
Aguja de disección
Embudo percolador o Embudo Kilborn
Varilla de vidrio
Tamiz con malla No. 230
Papel de filtración rápida rayado para conteo con líneas paralelas de aproximadamente 5 mm de separación.
iii) Equipo
Balanza analítica con sensibilidad de 0,1 mg
Agitador magnético
Placa de calentamiento con agitación magnética
Microscopio binocular estereoscópico con objetivos que pueden ser 3, 6, 7 y 10x y oculares apareados de amplio campo visual de 10, 30 y 100x respectivamente
Lámpara para el microscopio o luz natural equivalente
1.7.2.3 Procedimiento
Agregar 1 litro de agua caliente (55 a 70°C) a un vaso de 2 litros añadir 20 ml del emulsificante B y 5 ml del emulsificante A y mezclar bien.
Agregar 225 g de muestra y cortar el pan en trozos de menos de 1 pulgada cuadrada y agitar bien.
La digestión puede efectuarse de dos formas:
i) Autoclave. Agregar con agitación 30 ml de ácido clorhídrico concentrado. Añadir 1 ml de solución antiespumante, calentar en el autoclave por 30 min a 121°C, dejar que la presión baje a 0 antes de abrir la válvula de ventilación.
ii) Baño de vapor. Agregar con agitación 90 ml de ácido clorhídrico concentrado. Calentar en baño de vapor por 10 min. Agregar 1 ml de solución antiespumante. Hervir 15 min sobre una placa de calentamiento con agitación magnética, mantener el vaso cubierto con un vidrio de reloj.
iii) Humedecer la malla No. 230, moviéndola en zigzag, con agua caliente (55 a 75°C). Tamizar hasta que el chorro esté claro y la espuma desaparezca. Transferir el residuo retenido en la malla al vaso original (Precaución. No permitir que la muestra en el vaso o la malla se enfríe). Agregar 30 ml de ácido clorhídrico concentrado y diluir a 1 litro con agua. Agitar en el agitador magnético y llevar a ebullición. Hervir por 6 min y agregar 50 ml de aceite mineral y continuar con el calentamiento hasta que se reanude la ebullición. Transferir el vaso a una placa de calentamiento fría con agitación magnética y agitar por 3 min.
iv) Inmediatamente pasar el contenido del vaso a un percolador que contiene aproximadamente 250 ml de agua. Enjuagar el vaso en el percolador y llevar el volumen a la marca de 1700 con agua. Después de 1 min, agitar el contenido del percolador con una varilla de vidrio. Colocar la varilla en el vaso y apartarla para recibir el drenado final de aceite. Dejar reposar 2 min. Drenar el aceite hasta la marca de 250 ml y descartar los drenados. Volver a llenar el percolador con agua. Continuar con el drenado y llenado hasta que la fase acuosa inferior esté casi clara. Drenar el aceite hasta la marca de 250 ml. Drenar el aceite en el vaso original. Lavar las paredes del percolador con al menos 50 ml de agua y alcohol o isopropanol. Si las paredes no se ven limpias, siga los lavados con agua y detergente al 5%. Filtrar sobre un papel rayado y examinar al microscopio.
Examinar al microscopio como en el método 1.7.1
Reportar los fragmentos de insectos, pelos de roedor encontrados en 225 g de muestra.
1.7.3 Método para la determinación de materia extraña ligera en panes con alto contenido de fibra
1.7.3.1 Fundamento
Después de someter la muestra a una digestión, el material considerado como materia extraña ligera se capta por flotación en aceite y es posteriormente retenido en papel filtro para su observación al microscopio.
1.7.3.2 Reactivos y Materiales.
i) Reactivos.
Acido Clorhídrico HCL de 36,5 a 38,0% de pureza y con un peso específico de 1,185 - 1,192
Aceite mineral ligero con un peso específico (24°C) de 0,840 - 0,860 y una viscosidad (40°C) de 45-55 cSt.
Alcohol etílico (C2H5OH) al 95%, se puede emplear alcohol comercial sin desnaturalizar.
Isopropanol (CH3)2CHOH
Solución de Acetato de Etilo (C4H8O2), solución acuosa saturada.
Solución antiespumante. Diluir 1 g de antiespumante con 20 ml de acetato de etilo, usar el sobrenadante y mantener el envase perfectamente cerrado.
Detergente al 5% (p/v). Disolver 5 g de lauril sulfato de sodio y llevar al aforo a 100 ml.
Solución alcohol-ácido. Mezclar una parte de ácido clorhídrico concentrado, con 9 partes de isopropanol al 40%.
ii) Material
Vaso de precipitados de 100, 250, 1000 y 2000 ml.
Matraces volumétricos de diferentes capacidades.
Embudo percolador o embudo Kilborn
Varilla de vidrio
Gendarme
Tamiz con No. de malla 140
Papel de filtración rápida rayado para conteo con líneas paralelas de aproximadamente 5 mm de separación.
iii) Equipo
Autoclave
Balanza analítica con 0,1 mg de sensibilidad.
Agitador magnético.
Placa de calentamiento con agitación magnética
Microscopio binocular estereoscópico con objetivos que pueden ser 3, 6, 7, 10x y oculares apareados de amplio campo visual de 10, 30 y 100x respectivamente.
Lámpara para el microscopio o luz natural equivalente.
1.7.3.3 Procedimiento
i) Agregar 225 g de muestra a un vaso de 2 litros conteniendo aproximadamente 1 litro de agua y 50 ml de ácido clorhídrico concentrado. Agitar bien, añadir 1ml de solución antiespumante. Calentar al autoclave 15 min a 121ºC, dejar que la presión baje a 0 antes de abrir la válvula de ventilación. Pasar el digerido en pequeñas porciones a través de la malla No. 140 con agua caliente (55 - 70°C) hasta que la cantidad del residuo permanezca constante. Colocar la malla en una charola, cubrir el residuo con una capa de aproximadamente 2 cm de alcohol o isopropanol, dejar reposar 5 min y drenar.
Repetir este paso 3 veces con cloroformo, luego 2 veces más con alcohol o isopropanol y drenar completamente. Inmediatamente transferir cuantitativamente el residuo retenido en la malla a un vaso de 1 litro con ayuda de la mezcla alcohol-ácido, diluir el contenido a aproximadamente 600 ml con la mezcla de alcohol-ácido. Agregar 50 ml de aceite mineral y agitar magnéticamente durante 5 min.
ii) Pasar completamente el contenido del vaso al percolador o al embudo Kilborn y retener el vaso. Dejar reposar 30 min, agitar en forma suave aproximadamente cada 5 min con un agitador largo de vidrio, durante los primeros 20 min; drenar el contenido hasta casi 250 ml. Agregar mezcla alcohol-ácido hasta 3 cm abajo de la parte superior y dejar reposar 30 min, agitando con la varilla como se hizo anteriormente. Drenar otra vez hasta 250 ml. Llenar el embudo con agua fría, dejar sedimentar por un tiempo aproximado de 1,5 min y drenar hasta 250 ml. Continuar con el drenado y llenado hasta que la fase acuosa inferior esté clara y libre de material en suspensión.
iii) Después del último lavado, drenar la interfase agua-aceite en el vaso retenido. Inmediatamente lavar las paredes del percolador con porciones de 50 a 100 ml de agua caliente, isopropanol o alcohol y si fuera necesario con solución de detergente al 5%. Filtrar a través de papel filtro rayado, lavando las paredes del vaso con porciones de 50 a 100 ml de agua caliente, isopropanol o alcohol y si fuera necesario con solución de detergente al 5%. Filtrar a través de papel filtro rallado, lavando las paredes del vaso con porciones de 50 a 100 ml de agua caliente, isopropanol o alcohol y si fuera necesario con solución de detergente al 5%, usando un gendarme de hule. Examinar al microscopio como en el método 1.7.1
Reportar los fragmentos de insectos y pelos de roedor, encontrados en 225 g de muestra.
2 Método para la Determinación de Humedad y Sólidos Totales en Harina
2.1 Fundamento
Cuando un producto es sometido a secado en condiciones específicas, presenta una pérdida de peso, debido a la evaporación del agua que contiene, la cual se reporta como valor de humedad.
2.2 Material
Cajas de aluminio de 55 mm de diámetro por 15 mm de altura, con tapa.
Desecador hermético con agente desecante apropiado, tales como silica gel, cloruro de calcio o equivalentes y excluyendo el ácido sulfúrico.
Pinzas de crisol.
2.3 Equipo
Balanza analítica con sensilibidad de 0,0001 g
Estufa de secado capaz de mantenerse a 130 ± 3ºC y provista de un orificio para ventilación.
2.4 Procedimiento
2.4.1 Pesar 2 g de harina en una caja de aluminio la cual previamente se ha secado por una hora a 130 ± 3ºC y enfriada en desecador durante una hora.
2.4.2 Colocar la caja con la muestra dentro de la estufa y secar durante una hora a 130 ± 3ºC. El tiempo debe empezar a contar a partir de que la temperatura en la estufa con la muestra alcance los 130 ± 3ºC. La caja deberá estar semitapada.
2.4.3 Después de una hora, tapar la caja dentro de la estufa. Sacar la caja y colocarla en el desecador y dejarla enfriar hasta que alcance la temperatura ambiente (aproximadamente una hora).
2.4.4 Una vez que se haya enfriado pesarla y reportar la pérdida de peso como humedad, y el residuo de la harina como Sólidos Totales.
2.5 Cálculos
(A-B) x 100
% Humedad = -----------------------
W
% Sólidos Totales = 100 - % Humedad
En donde:
A = Peso de la caja con muestra en g
B = Peso de la caja con muestra desecada en g
W = Peso de la muestra en g
2.6 Repetibilidad
La diferencia entre dos resultados sucesivos obtenidos en las mismas condiciones en la misma muestra no debe exceder de ± 0,2%. En caso contrario repetir las determinaciones.
2.7 Precauciones
El agente desecante debe estar en buenas condiciones.
3 Método de prueba para la determinación de aflatoxinas en cereales.
3.1 Preparación de la Muestra analítica.
3.1.1 Pesar 25 g de muestra y adicionarla al vaso de la licuadora.
3.1.1.1 Adicionar 5 g de cloruro de sodio y 125 mL de metanol grado analítico al 60%.
3.1.1.2 Licuar durante un minuto a la más alta velocidad.
3.1.1.3 Filtrar a través de papel aflautado de 24 cm de diámetro.
3.1.2 Extracción de las AF por medio de columnas de inmunoafinidad.
3.1.2.1 Medir 20 mL del filtrado y adicionar 20 mL de agua destilada. Mezclar y filtrar a través de papel fibra de vidrio.
3.1.2.2 Medir 10 o 15 mL del filtrado (de acuerdo con las instrucciones de la columna de inmunoafinidad empleada).
3.1.2.3 Quitar la tapa de la columna de inmunoafinidad y pasar el filtrado a través de ella a razón de un flujo de dos gotas por segundo. Colectar en el frasco para residuos.
3.1.2.4 Lavar la columna dos veces, con 10 mL de agua cada vez, llevando a sequedad.
3.1.2.5 En caso de haber utilizado 10 mL de filtrado, añadir 1 mL de metanol grado HPLC eluir y recibir en una celda de borosilicato.
3.1.2.6 En caso de haber utilizado 15 mL de filtrado, añadir 2,3 mL de metanol grado HPLC eluir y recibir en una celda de borosilicato.
3.1.2.7 Seguir con el resto de la metodología especificada en cualquiera de los métodos de prueba establecidos en el apartado 3 Método de prueba para la determinación de aflatoxinas en cereales
3.2 Extracción por columnas de inmunoafinidad.
3.2.1 Fundamento.
Las AF son extraídas de la muestra, con metanol al 80%, el extracto es filtrado y diluido con agua, filtrado y pasado a través de una columna de inmunoafinidad la cual contiene un anticuerpo monoclonal específico para AF. En este estado la aflatoxina se liga al anticuerpo de la columna. La columna es entonces lavada con agua para eliminar impurezas. Posteriormente, después de pasar metanol a través de la columna, las AF son removidas del anticuerpo, esta solución es medida en un fluorómetro previa derivatización con solución diluida de bromo. Las AF son cuantificadas en forma total.
3.2.2 Materiales.
Columnas de inmunoafinidad.
Papel filtro aflautado de 24 cm Ø Whatman No. 1 o equivalente.
Papel filtro fibra de vidrio de 11 cm Ø Whatman No. 934AH o equivalente.
Matraces Erlenmeyer de 125 mL.
Vasos de precipitados de 100 mL.
Embudos de plástico de 100 mm Ø.
Embudos de plástico de 60 mm Ø.
Dosificador de 1 a 5 mL.
Dosificador de 5 a 10 mL.
Dosificador de 20 a 100 mL.
Probeta de 1000 mL.
Pipetas volumétricas de 10 mL.
Pipetas volumétricas de 5 mL.
Pipetas volumétricas de 1 mL.
Auxiliar de macropipeteado.
Jeringas de vidrio de 10 mL.
Estándares de calibración de 3 niveles.
Celdas de borosilicato de 12x75 mm.
Gradilla de plástico para celdas de 12x75 mm.
Preparación de patrones de calibración. De no contar con los estándares provistos por el fabricante, preparar el estándar de calibración de la siguiente manera: use como testigo ácido sulfúrico (H2SO4) 0.1N. Como patrón de AF de 20 ng, use 34 mg de sulfato de quinina dihidratada/mL de H2SO4 0.1N.
3.2.3 Equipo.
Licuadora de alta velocidad con vaso de acero inoxidable o de vidrio de 250 mL.
Bomba manual.
Mezclador tipo vórtex.
Fluorómetro con lámpara pulsada de Xenón o cuarzo-halógeno y filtros de excitación de 360 nm y de emisión de 450 nm.
3.2.4 Reactivos.
Solución de metanol al 80%.
Medir 800 mL de metanol grado analítico y mezclar con 200 mL de agua destilada en probeta graduada de 1000 mL.
Cloruro de sodio.
Metanol grado HPLC.
Solución reveladora de bromo al 0,03%.
i) Solución de bromo al 0,03%.
ii) Se mide 1 mL de solución reveladora de concentración al 0,03% y se añaden 9 mL de agua destilada. Preparar el día de su uso.
Solución PBS pH 7.3 *.
* En caso que se requiera por parte del fabricante de la columna.
i) Preparación PBS pH 7.3. En caso de ser necesaria la preparación de la solución se tienen las siguientes alternativas:
a) Pesar las siguientes sales:
Cloruro de potasio 1 g.
Ortofosfato dihidrogenado de potasio 1 g.
Ortofosfato hidrogenado de sodio (anhidro) 5,8 g.
Cloruro de sodio 40,0 g.
Disolver las sales en aproximadamente 4,5 litros de agua destilada.
Ajustar el pH de la solución a 7.3 utilizando ácido clorhídrico (HCI) o hidróxido de sodio (NaOH), según corresponda.
Completar el volumen final a 5 litros y volver a verificar el pH.
b) Tomar una tableta de PBS y disolver en 100 mL de agua destilada.
Las soluciones permanecen estables durante un mes.
3.2.5 Preparación de la muestra analítica.
3.2.5.1 Pesar 50 g de la muestra molida e introducirla en el vaso de la licuadora.
3.2.5.2 Adicionar 5 g de cloruro de sodio y 100 mL de metanol al 80%.
3.2.5.3 Licuar durante un minuto a alta velocidad.
3.2.5.4 Filtrar a través de papel aflautado de 24 cm de Ø. (Filtrado 1).
3.2.6 Extracción de las AF por medio de columnas de inmunoafinidad.
3.2.6.1 Medir 10 mL del filtrado 1 y adicionar 40 mL de agua destilada. Mezclar y filtrar a través de papel fibra de vidrio (filtrado 2).
3.2.6.2 Medir 5 mL del filtrado 1 y adicionar 35 mL de agua destilada. Mezclar y filtrar a través de papel fibra de vidrio (filtrado 2).
3.2.6.3 Conectar una columna de inmunoafinidad a la punta de una jeringa de vidrio colocada en la bomba manual. En caso de ser necesario pasar a través de la columna 20 mL de PBS.
3.2.6.4 En el caso de seguir el procedimiento descrito en el punto anterior 3.2.6.1, medir 10 mL filtrado 2 en la jeringa.
3.2.6.5 En el caso de seguir el procedimiento descrito en el punto anterior 3.2.6.2, medir 15 mL del filtrado 2 en la jeringa.
3.2.6.6 Quitar la tapa de la columna de inmunoafinidad y pasar el filtrado 2 a través de ella a razón de un flujo de dos gotas por segundo. Colectar en el frasco para residuos.
3.2.6.7 Lavar la columna dos veces, con 10 mL de agua cada vez.
3.2.6.8 Pasar aire por la columna llevándola a sequedad.
3.2.6.9 En caso de seguir el procedimiento descrito en el punto 3.2.6.4, añadir 1 mL de metanol grado HPLC, eluir y recibir en una celda de borosilicato.
3.2.6.10 En caso de seguir el procedimiento descrito en 3.2.6.5, añadir 2,3 mL de metanol grado HPLC, eluir y recibir en una celda de borosilicato.
3.3 Cuantificación por fluorometría.
3.3.1 Calibración de los fluorómetros.
La calibración del fluorómetro debe hacerse de acuerdo con la que señale el "Manual del fabricante".
3.3.2 Procedimiento de cuantificación.
3.3.2.1 Una vez separadas las AF de conformidad con lo señalado en el punto anterior "extracción de la AF por medio de las columnas de inmunoafinidad", proceder con los siguientes pasos:
3.3.2.2 Adicionar solución reveladora 1 mL (si se siguió el punto 3.2.6.1). o 2 mL (si se siguió el punto anterior 3.2.6.2).
3.3.2.3 Agitar la celda en el agitador tipo vórtex (eliminar las burbujas que se forman).
3.3.2.4 Colocar la celda en el fluorómetro previamente calibrado.
3.3.2.5 Leer la concentración de AF totales después de 60 segundos, directamente en µg/kg.
3.4 Método HPLC.
3.4.1 Fundamento.
Las AF son extraídas de la muestra, con metanol al 80%, el extracto es filtrado, diluido con agua y pasado a través de una columna de inmunoafinidad la cual contiene un anticuerpo monoclonal específico para AF B1, B2, G1 y G2. Las AF son aisladas, purificadas y concentradas en la columna y posteriormente son eluidas con acetonitrilo. El eluido es derivatizado con ácido trifluoroacético. Las AF son cuantificadas en forma individual por cromatografía en fase reversa y detectadas por fluorometría.
3.4.2 Materiales.
Columnas de inmunoafinidad.
Papel filtro aflautado de 24 cm Ø.
Papel filtro fibra de vidrio de 11 cm Ø.
Matraces Erlenmeyer de 125 mL.
Vasos precipitados de 100 mL.
Embudos de plástico de 100 mm Ø.
Embudos de plástico de 60 mm Ø.
Dosificador de 1 a 5 mL.
Dosificador de 10 a 50 m.
Micropipetas digitales de 10 a 100 µL; 100 a 1000 µL.
Filtros para solventes orgánicos de 47 mm y poro de 0,45 µm.
Filtros para solventes acuosos de 47 mm y poro de 0,45 µm.
Equipo de filtración Millipore o similar.
Dosificador de 20 a 100 mL.
Probeta de 1000 mL.
Pipetas volumétricas de 10 mL.
Pipetas volumétricas de 5 mL.
Pipetas volumétricas de 1 mL.
Auxiliar de macropipeteado.
Jeringas de vidrio de 10 mL.
Probeta graduada de 100 mL.
Frascos vial de vidrio ámbar con tapón de rosca capacidad de 4 mL.
Frascos de vidrio de 1 litro para almacenamiento de fase móvil.
Viales de vidrio ámbar de 1,8 mL con septum de rosca.
Filtros para muestras de politetrafluoretileno de 13 mm y poro de 0,45 µm.
Matraces aforados color ámbar de 50 y 100 mL.
Matraces volumétricos de 1 y 2 L.
Jeringas desechables de 5 mL con aguja.
Frascos color ámbar de 100 mL con tapón.
Celdas de cuarzo para espectrofotómetro de 1 cm de paso de luz.
Pipetas Pasteur.
Pipetas volumétricas de 25 mL.
3.4.3 Equipo.
Sistema de degasificación de solventes por membrana de vacío, inyección de helio u otro equivalente.
Bombas de gradiente con válvula para mezclado de cuatro solventes o sistema isocrático de bombas.
Inyector automático o manual de muestras con loop de 50 µL o más y sistema de autolimpieza.
Columna HPLC C-18 de 4,6 x 250 mm o 4,6 x 150 mm, 5 µm de tamaño partícula.
Detector de fluorescencia con lámpara pulsada de Xenón y filtros de excitación a 360 nm y de emisión de 450 nm.
Graficador, integrador de datos o computadora personal con el software adecuado para el control del equipo y procesamiento de datos.
Balanza granataria con una precisión de 0,1 g.
Baño de agua con temperatura controlada 65°C.
Molino para granos.
Licuadora a alta velocidad con jarra de acero inoxidable de 250 mL.
Espectrofotómetro de Ultravioleta - visible capaz de hacer barrido de 330 a 370 nm.
3.4.4 Preparación de reactivos.
Agua grado HPLC filtrada a través de poro de 0,45µm.
Acetonitrilo grado HPLC filtrado a través de poro de 0,45µm.
Metanol grado HPLC filtrado a través de poro de 0,45µm.
Fase móvil: agua 60%, acetonitrilo 20%, metanol 20%, para columna de 4,6 x 250 mm y agua 70%, acetonitrilo 12% y metanol 18% para columna de 4,6 x 150 mm. Las proporciones de la fase móvil pueden ajustarse a fin de obtener una buena resolución de las AF.
Acido trifluoroacético.
Agua destilada.
Acido acético glacial.
Solución derivatizadora.
Mezclar 10 mL de ácido trifluoroacético, 5 mL de ácido acético glacial y 35 mL de agua destilada. Filtrar a través de poro de 0,45µm.
Benceno grado espectrométrico.
Acetonitrilo grado espectrométrico.
Patrones individuales certificados de AFB1, B2, G1 y G2 en cristales o películas.
Mezcla de benceno-acetonitrilo (98+2).
Medir 98 mL de benceno y mezclar con 2 mL de acetonitrilo. Guardar en frasco color ámbar bien tapado.
Acido sulfúrico concentrado.
Dicromato de potasio.
Solución de ácido sulfúrico 0,018 N.
Disolver 1 mL de ácido sulfúrico concentrado y aforar a 2 L con agua.
Soluciones patrón de dicromato de potasio.
Aproximadamente 0,25 mM. Pesar exactamente 78 mg de dicromato de potasio previamente secado en estufa a 100 105° C durante 2 h, y aforar a 1 L con ácido sulfúrico 0,018 M.
i) Aproximadamente 0,125 mM. Diluir 25 mL de la solución de 0,25 mM a 50 mL con ácido sulfúrico 0,018 M.
ii) Aproximadamente 0,0625 mM. Diluir 25 mL de la solución de 0,125 mM a 50 mL con ácido sulfúrico 0,018 M.
3.4.5 Preparación de soluciones patrón de AF.
3.4.5.1 Inyectar con jeringa desechable y sin abrir los frascos que contienen la aflatoxina, aproximadamente 4 mL de mezcla de benceno: acetonitrilo 98+2. Agitar en mezclador vórtex hasta completar disolución.
3.4.5.2 Abrir con mucho cuidado cada uno de los frascos y, trasvasar analíticamente a un matraz aforado de 100 mL. Aforar con mezcla de benceno: acetonitrilo (concentración aproximada de 100 µg/mL).
3.4.5.3 Medir exactamente 10 mL de esta solución y aforar a 100 mL con benceno: acetonitrilo 98+2 (concentración aproximada de 10 µg/mL).
3.4.5.4 Trasvasar las soluciones anteriores a un frasco color ámbar con tapón y debidamente identificado, y guardar en congelación hasta su uso.
3.4.6 Obtención del espectro de absorción.
3.4.6.1 Dejar equilibrar a temperatura ambiente cada una de las soluciones estándar de aproximadamente 10 µg/mL.
3.4.6.2 Calibrar el espectrofotómetro a 0 de absorbancia utilizando una solución de benceno: acetonitrilo 98+2 como blanco.
3.4.6.3 Efectuar un barrido de 330 a 370 nm de cada una de las soluciones y obtener el valor de absorbancia a la longitud de máxima absorción, la cual debe estar cercana a 350 nm.
| Aflatoxina | Absorbancia máxima (A) | Peso molecular (PM) | Coeficiente de extinción (CE) |
| B1 | | 312 | 19,800 |
| B2 | | 314 | 20,900 |
| G1 | | 328 | 17,100 |
| G2 | | 330 | 18,200 |
3.4.6.4 Regresar las soluciones de cada una de las AF a su frasco original.
3.4.6.5 Cálculo de la concentración.
µg AF/mL = A x PM x 1000 x FC CE
donde:
FC = Factor de corrección (confrontar instrucciones para el cálculo de factor de corrección).
Cada una de las soluciones debe presentar una concentración entre 8 y 10 µg/mL.
3.4.7 Cálculo del factor de corrección (FC).
3.4.7.1 Calibrar el espectrómetro a 0 de absorbancia utilizando ácido sulfúrico 0,018 N como blanco.
3.4.7.2 Leer la absorbancia de las tres soluciones de dicromato de potasio de menor a mayor concentración, a la longitud de onda de máxima absorción, la cual debe ser cercana a 350 nm.
3.4.7.3 Llenar la siguiente tabla con los valores de absorbancia obtenidos y los cálculos realizados:
| Sol. Dicromato de potasio (mM) | Absorbancia a 350 nm (A) | CE= A x 1000/mM |
| 0,25 | | |
| 0,125 | | |
| 0,0625 | | |
| | | CE promedio = |
3.4.7.4 Calcular el factor de corrección (FC) aplicando la siguiente ecuación:
donde:
3160 es el coeficiente de extinción (CE) para soluciones de dicromato de potasio.
El valor de FC debe estar en el intervalo de 0,95 a 1,05, de no ser así verificar el instrumento o la técnica para determinar y eliminar la causa.
3.4.8 Preparación de la solución madre de AF de 1000 ng/ml.
De las soluciones madre de AF individuales y de concentración conocida (10 µg/mL), medir las cantidades en microlitros que correspondan a 500 ng de B1, 300 ng de B2, 100 ng de G1 y 100 ng de G2 para preparar 50 mL de la misma. Aforar a 50 ml con solución de benceno: acetonitrilo (98+2) y agitar. Guardar en frasco vial de vidrio color ámbar perfectamente identificado y en congelación. Cada µl de solución equivale a un ng de AF totales.
3.4.9 Preparación de las soluciones patrón de trabajo.
Medir 20, 50, 100, 150 y 200 µL de la solución madre (1000 ng/ml) en viales de vidrio ámbar. Evaporar a sequedad con nitrógeno. Añadir 1 mL de acetonitrilo grado HPLC. Agitar y guardar en congelación hasta su uso.
3.4.10 Curva estándar de AF en ng/mL.
| AF | B1 | B2 | G1 | G2 | Totales |
| Conc. 1 | 10 | 2 | 6 | 2 | 20 |
| Conc. 2 | 25 | 5 | 15 | 5 | 50 |
| Conc. 3 | 50 | 10 | 30 | 10 | 100 |
| Conc. 4 | 75 | 15 | 45 | 15 | 150 |
| Conc. 5 | 100 | 20 | 60 | 20 | 200 |
3.4.11 Preparación de las muestras.
Una vez separadas las AF de conformidad con lo señalado en el punto 3.2.6, proceder con los siguientes pasos:
3.4.11.1 Añadir acetonitrilo 1 ml (si se siguió el procedimiento descrito en el punto 3.2.6.1) o 1,5 ml (si se siguió el procedimiento descrito en el punto 3.2.6.2).
3.4.11.2 Eluir y colectar en un frasco vial color ámbar. Guardar en congelación hasta su uso.
3.4.12 Derivatización de las AF B1 y G2.
3.4.12.1 Sacar del congelador las mezclas patrón de trabajo y las muestras preparadas. Llevar a temperatura ambiente.
3.4.12.2 Medir 200 µl de cada una de ellas y adicionar 700 µL de solución derivatizadora, todo en un frasco vial de 1,8 mL. Mezclar por 30 seg.
3.4.12.3 Incubar a 65°C durante 10 min en baño de agua.
3.4.12.4 Enfriar al chorro de agua. Filtrar a través de filtro para muestras de 0,45 ml.
3.4.12.5 Guardar en congelación hasta su uso.
3.4.13 Acondicionamiento del cromatógrafo de líquidos.
3.4.13.1 Encender todos los componentes del sistema de cromatografía.
3.4.13.2 Fijar los siguientes parámetros cromatográficos de acuerdo con las instrucciones de operación del equipo:
Fase móvil:
Para columna de 4,6 x 250 mm: agua 60%, acetonitrilo 20%, metanol 20%.
Para columna de 4,6 x 150 mm: agua 70%, acetonitrilo 12%, metanol 18%.
Flujo: 1 mL/min.
Volumen de inyección: 50 µl.
Tiempo de análisis: 15 min.
Detector de fluorescencia:
Excitación: 360 nm.
Emisión: 440 nm.
3.4.13.3 Ajustar la atenuación y el factor de respuesta del detector a fin de obtener una sensibilidad óptima.
3.4.13.4 Purgar las bombas del sistema con cada uno de los componentes de la fase móvil usando un flujo de 10 mL/min. Colectar aproximadamente 20 ml.
3.4.13.5 Correr la fase móvil a través de todo el sistema a un flujo de 1 mL/min, hasta obtener una línea base estable (aproximadamente 30 min).
3.4.14 Acondicionamiento del método.
3.4.14.1 Inyectar 50 µl de la mezcla estándar de trabajo derivatizada equivalente a 100 ng/ml de AF totales.
3.4.14.2 Verificar una buena resolución de las 4 AF así como optimizar el tiempo de corrida (aproximadamente 15 min). Las AF eluyen en el siguiente orden: G1, B1, G2 y B2. Considerar el tiempo de retención de cada aflatoxina.
3.4.14.3 Inyectar por triplicado 50 ml de cada una de las cinco mezclas patrón de trabajo.
3.4.14.4 Obtener e imprimir el cromatograma de cada una de ellas.
3.4.14.5 Graficar la concentración de cada aflatoxina contra el área promedio del pico obtenida. Calcular mediante regresión lineal la pendiente, el factor de correlación y la ordenada al origen de cada uno de los gráficos.
1. ml solución madre de 1000 ng/ml totales.
2. Cantidad de AFG1 en ng.
3. Area promedio de pico de AFG1 en ng.
4. Cantidad de AFB1 en ng.
5. Area promedio de pico de AFB1 en ng.
6. Cantidad de AFG2 en ng.
7. Area promedio de pico de AFG2 en ng.
8. Cantidad de AFB2 en ng.
9. Area promedio de pico de AFB2 en ng.
| 1 | 2 | 3 | 4 | 5 | 6 | 7 | 8 | 9 |
| 20 | 6 | | 10 | | 2 | | 2 | |
| 50 | 15 | | 25 | | 5 | | 5 | |
| 100 | 30 | | 50 | | 10 | | 10 | |
| 150 | 45 | | 75 | | 15 | | 15 | |
| 200 | 60 | | 100 | | 20 | | 20 | |
3.4.15 Inyección de muestras.
3.4.15.1 Inyectar 50 ml de cada una de las muestras derivatizadas.
3.4.15.2 Obtener e imprimir el cromatograma de cada una de ellas.
3.4.15.3 Identificar cada una de las AF comparando el tiempo de retención contra el obtenido para cada uno de los patrones.
3.4.15.4 Obtener el valor del área de cada AF en la muestra.
3.4.16 Expresión de resultados.
mg/kg de AF en la muestra = Area de pico - ordenada al origen x 1 o 1,5 x dilución
pendiente
Se utilizará 1 o 1,5 dependiendo de la cantidad de acetonitrilo que se agregó al eluato.
El resultado será la suma de los valores de las distintas AF.
3.4.17 Limpieza del sistema de cromatografía.
3.4.17.1 Al terminar los análisis, apagar el detector y el inyector automáticos.
3.4.17.2 Bombear acetonitrilo o metanol por espacio de media hora.
3.4.17.3 Posteriormente apagar el sistema de bombas y la computadora.
3.4.18 Del procedimiento de limpieza y descontaminación del material de vidrio y área de trabajo para la determinación de aflatoxinas.
3.4.18.1 Objetivo.
Establecer directrices para la descontaminación del material, equipo y área de trabajo utilizados, así como los procedimientos a seguir en caso de derrames y remanentes de extractos de las muestras.
3.4.18.2 Generalidades.
El trabajo de limpieza y descontaminación será realizado por personal capacitado y que cuente con equipo protector como bata, guantes impermeables y lentes de seguridad.
3.4.18.3 Descontaminación del material de laboratorio.
Todo el material de vidrio que haya sido utilizado durante el análisis, debe sumergirse en una solución de hipoclorito de sodio, la cual se prepara diluyendo una parte de solución comercial de hipoclorito (con una concentración entre 5 y 6%), con diez partes de agua.
Después del tratamiento, el material debe enjuagarse abundantemente con agua corriente, seguido de agua destilada, y secar por escurrimiento o en estufa de 90-100°C.
3.4.18.4 Descontaminación del área de trabajo.
Después del análisis, las superficies de las áreas de trabajo deben limpiarse con una toalla desechable impregnada en solución de hipoclorito de sodio.
3.4.18.5 Descontaminación de material desechable.
Todo el material desechable, debe sumergirse durante un mínimo de 5 min en la solución de hipoclorito de sodio. La solución descontaminante usada debe eliminarse por el drenaje y los materiales desechables tratados, deben empacarse en una bolsa de plástico sellada para colocarse en el depósito de desechos.
3.4.18.6 Tratamiento de derrames.
Los derrames de soluciones de AF deben tratarse inmediatamente con hipoclorito de sodio, vertiéndolo directamente del envase, recoger los líquidos con un papel absorbente, el cual también se colocará en una bolsa de plástico.
3.4.18.7 Tratamiento de remanentes de extracto de muestras.
Una vez que se ha separado una alícuota del extracto de la muestra es frecuente que permanezca un remanente del mismo. Estos restos de extractos deben tratarse con una cantidad de hipoclorito de sodio equivalente a la unidad de volumen del residuo a tratar. Los líquidos resultantes se deben acumular en un recipiente para desechos líquidos y eliminarse en un lugar destinado especialmente para éstos.
4 Análisis microbiológico de productos objeto de esta norma
4.1 Procedimiento para la preparación y dilución de muestras de alimentos para su análisis microbiológico.
4.1.1 Introducción
Esta norma está orientada a proporcionar las guías generales para la preparación de diluciones para el examen microbiológico de alimentos. En vista de la gran cantidad de productos en este campo de aplicación, estas guías pueden ser inapropiadas para todos ellos en forma detallada y para otros requerirse otros métodos diferentes. Sin embargo, en todos los casos donde sea posible se recomienda apegarse a estas guías y modificarse únicamente cuando sea necesario.
La dilución primaria tiene por objeto obtener una distribución lo más uniforme posible de los microorganismos contenidos en la muestra destinada para el análisis.
La preparación de diluciones decimales adicionales, si son necesarias, tiene como objetivo reducir el número de microorganismos por unidad de volumen, para permitir, después de la incubación, la observación de la prueba en el caso de tubos o matraces y la cuenta de colonias en el caso de placas.
4.1.2 Reactivos y materiales
4.1.2.1 Reactivos
Los reactivos que a continuación se mencionan deben ser grado analítico. Cuando se indique agua debe entenderse como agua destilada.
Preparación de reactivos
Solución de hidróxido de sodio 1,0 N
| FORMULA |
| INGREDIENTES | CANTIDADES |
| Hidróxido de sodio | 4,0 g |
| Agua | 100 ml |
Preparación:
Disolver el hidróxido de sodio y llevar a 100 ml con agua.
Soluciones diluyentes
Solución reguladora de fosfatos (solución concentrada).
| Fórmula |
| Ingredientes | Cantidades |
| Fosfato de sodio monobásico | 34,0 g |
| Agua | 1,0 l |
Preparación:
Disolver el fosfato en 500 ml de agua y ajustar el pH a 7,2 con solución de hidróxido de sodio 1,0 N.
Llevar a un litro con agua.
Esterilizar durante 15 minutos a 121° ± 1,0°C.
Conservar en refrigeración (solución concentrada).
Tomar 1,25 ml de la solución concentrada y llevar a un litro con agua (solución de trabajo).
Distribuir en porciones de 99,90 y 9 ml según se requiera.
Esterilizar a 121° ± 1,0°C durante 15 minutos.
Después de la esterilización, el pH y los volúmenes finales de la solución de trabajo deberán ser iguales a los iniciales.
Agua peptonada
| Fórmula |
| Ingredientes | Cantidades |
| Peptona | 1,0 g |
| Cloruro de sodio | 8,5 g |
| Agua | 1,0 l |
Preparación:
Disolver los componentes en un litro de agua.
Ajustar el pH a 7 ± 0,1 con hidróxido de sodio 1,0 N.
Distribuir en porciones de 99,90 y 9 ml o en cualquier volumen múltiplo de nueve según se requiera.
Esterilizar a 121 ± 1,0°C durante 15 minutos.
Después de la esterilización, el pH y los volúmenes finales de la solución de trabajo deberán ser iguales a los iniciales.
Si este diluyente no es usado inmediatamente, almacenar en lugar oscuro a una temperatura entre 0 a 5°C por un tiempo no mayor de un mes, en condiciones tales que no alteren su volumen o composición.
4.1.2.2 Materiales
Pipetas bacteriológicas para distribuir 10 y 1 ml (o si es necesario de 1 ml y 2 ml), con tapón de algodón. Las pipetas pueden ser graduadas en volúmenes iguales a una décima de su volumen total.
Frascos de vidrio de 250 ml con tapón de rosca.
Tubos de 16 x 150 mm con tapón de rosca.
Utensilios esterilizables para la obtención de muestras: cuchillos, pinzas, tijeras, cucharas, espátulas, etc.
Todo el material e instrumentos que tengan contacto con las muestras bajo estudio deberán esterilizarse mediante:
Horno, durante 2 h a 170 a 175°C o 1 h a 180°C o Autoclave, durante 15 minutos como mínimo a 121 ± 1,0°C.
El material de vidrio puede sustituirse por material desechable que cumpla con las especificaciones deseadas. No debe usarse material de vidrio dañado por esterilización repetida y éste debe ser químicamente inerte.
4.1.3 Aparatos e instrumentos
Horno para esterilizar que alcance una temperatura mínima de 170°C.
Autoclave con termómetro y manómetro, calibrada con termómetro de máximas y mínimas.
Baño de agua con control de temperatura y circulación mecánica, provista con termómetro calibrado con divisiones de 0,1°C y que mantenga la temperatura a 45 ± 0,5°C.
Licuadora de una o dos velocidades controladas por un reóstato o bien un homogeneizador peristáltico (Stomacher).
Vasos para licuadora con tapa esterilizables o bolsas estériles para homogeneizador peristáltico.
Balanza granataria con sensibilidad de 0,1 g.
4.1.4 Procedimiento
4.1.4.1 Preparación de la dilución primaria.
Para muestras congeladas de un alimento originalmente líquido o licuable, fundir por completo en baño de agua de 40 a 45°C un tiempo máximo de 15 minutos y homogeneizar agitando vigorosamente.
Para la parte líquida de una muestra heterogénea la cual sea considerada suficientemente representativa de la muestra total (por ejemplo la fase acuosa de grasas animales y vegetales).
i) Agitar la muestra manualmente con 25 movimientos de arriba a abajo en un arco de 30 cm efectuados
en un tiempo de 7 segundos. Tomar 1 ml de la muestra y diluir con 9 ml del diluyente el cual debe encontrarse a una temperatura similar a ésta, evitando el contacto entre la pipeta y el diluyente.
ii) Siempre que la cantidad de muestra lo permita, tomar alícuotas mayores, por ejemplo volúmenes de 10 u 11 ml, diluidos con 90 o 99 ml, de la misma forma que se describió anteriormente
4.1.4.2 A partir de muestras sólidas o semisólidas.
Las muestras sólidas y semisólidas congeladas, deben descongelarse en refrigeración de 4 a 8ºC durante 18 horas y no más de 24 horas antes de proceder a su análisis.
i) Pesar una cantidad de 10 u 11 g de la muestra por analizar en un recipiente o bolsa plástica estériles de tamaño adecuado.
ii) Adicionar un volumen de 90 a 99 ml del diluyente llevado a una temperatura similar a la de la muestra.
iii) Operar la licuadora o el homogeneizador peristáltico de 1 a 2 minutos hasta obtener una suspensión completa y homogénea según se indique en la técnica correspondiente para cada alimento. Aún en los equipos más lentos, este tiempo no debe exceder de 2,5 minutos.
iv) Permitir que las partículas grandes se sedimenten, y transferir la cantidad deseada tomando de las capas superiores de la suspensión.
Cuando la dilución primaria es muy viscosa o pegajosa, adicionar más diluyente, lo cual debe tomarse en cuenta para las operaciones subsecuentes o expresión de resultados. El homogeneizador peristáltico (Stomacher) puede no ser adecuado para algunos productos (por ejemplo, aquellos con partículas agudas o constituyentes que no se dispersen fácilmente). Debe ser utilizado sólo cuando exista evidencia (publicada o por ensayos comparativos) de que los resultados obtenidos no difieren significativamente con aquellos obtenidos con licuadora.
4.1.4.2 Preparación de las diluciones decimales adicionales.
i) Transferir 1 ml o un múltiplo, por ejemplo, 10 u 11 ml de la dilución primaria 1 + 9 (10-1), en otro recipiente conteniendo nueve veces el volumen del diluyente estéril a la temperatura apropiada, evitando el contacto entre la pipeta y el diluyente.
ii) Mezclar cuidadosamente cada botella de diluyente siempre de la misma manera que se describe en el punto i) del numeral 4.1.4.1
iii) La selección de las diluciones que se vayan a preparar y de aquellas que se van a inocular, dependen del número esperado de microorganismos en la muestra, con base a los resultados de análisis previos y de la información que se obtenga del personal de inspección que la haya colectado. En ausencia total de información, trabajar con las diluciones de la primera a la sexta.
iv) Utilizar pipetas diferentes para cada dilución inoculando simultáneamente las cajas que se hayan seleccionado. El volumen que se transfiera nunca debe ser menor al 10% de la capacidad total de la pipeta.
v) Si la pipeta es terminal y se transfiere un volumen de líquido equivalente a su capacidad total, escurrir aplicando la punta de la pipeta una sola vez en una área de la caja Petri sin líquido.
vi) Mientras se afora el líquido de la pipeta, la punta de ésta debe apoyarse en el interior del cuello del frasco y mantenerla en posición vertical, para lo cual este último debe inclinarse lo necesario.
En estudios donde se busca la presencia o ausencia de una determinada especie de microorganismos en 0,1 ml o 0,1 g, no es necesario preparar diluciones mayores.
El criterio para seleccionar las diluciones a preparar de acuerdo con el número de microorganismos esperado es:
Para la técnica del número más probable utilizar tres tubos: donde sea posible demostrar el microorganismo en 10 ml de la dilución más alta.
Para la técnica de cuenta en placa, considerar aquellas en las que se puedan contar de 25 a 250 colonias en un mínimo de una de tres diluciones en el método de cuenta de bacterias aerobias en placa. En el caso de otros grupos microbianos, considerar el número especificado de colonias en la Norma Oficial Mexicana correspondiente.
4.1.4.3 Duración del procedimiento.
En general, las diluciones de la muestra deben ser preparadas inmediatamente antes del análisis y éstas deben ser usadas para inocular el medio de cultivo dentro de los 20 minutos posteriores a su preparación.
4.2 Metodo para la cuenta de bacterias aerobias en placa.
4.2.1 Introducción
Cuando se requiere investigar el contenido de microorganismos viables en un alimento, la técnica comúnmente utilizada es la cuenta en placa. En realidad esta técnica no pretende poner en evidencia todos los microorganismos presentes. La variedad de especies y tipos diferenciables por sus necesidades nutricionales, temperatura requerida para su crecimiento, oxígeno disponible, etc., hacen que el número de colonias contadas constituyan una estimación de la cifra realmente presente y la misma refleja si el manejo sanitario del producto ha sido el adecuado.
Por otra parte el recuento de termofílicos, psicrofílicos y psicotróficos es importante para predecir la estabilidad del producto bajo diferentes condiciones de almacenamiento.
Para obtener resultados reproducibles y por lo tanto significativos, es de suma importancia seguir fielmente y controlar cuidadosamente las condiciones.
Esta técnica puede aplicarse para la estimación de microorganismos viables en una amplia variedad de alimentos.
4.2.2 Fundamento
El fundamento de la técnica consiste en contar las colonias, que se desarrollan en el medio de elección después de un cierto tiempo y temperatura de incubación, presuponiendo que cada colonia proviene de un microorganismo de la muestra bajo estudio. El método admite numerosas fuentes de variación, algunas de ellas controlables, pero sujetas a la influencia de varios factores.
4.2.3 Reactivos y materiales
4.2.3.1 Reactivos
Los reactivos que a continuación se mencionan, deben ser grado analítico.
Cuando se indique agua, debe entenderse agua destilada, con pH cercano a la neutralidad.
Medio de Cultivo.
Agar Triptona-Extracto de Levadura (agar para cuenta estándar).
| Fórmula |
| Ingredientes | Cantidades |
| Extracto de levadura | 2,5 g |
| Triptona | 5,0 g |
| Dextrosa | 1,0 g |
| Agar | 15,0 g |
| Agua | 1,0 l |
Preparación del medio de cultivo.
Suspender los componentes del medio deshidratado en un litro de agua. Hervir hasta total disolución.
Distribuir en recipientes de vidrio esterilizables de capacidad no mayor de 500 ml, cantidades de aproximadamente la mitad del volumen del mismo. Esterilizar en autoclave a 121 ± 1,0 ºC, durante 15 minutos. El pH final del medio debe ser 7,0 ± 0,2 a 25ºC.
Si el medio de cultivo es utilizado inmediatamente, enfriar a 45ºC ± 1,0 ºC en baño de agua y mantenerlo a esta temperatura hasta antes de su uso. El medio no debe de fundirse más de una vez.
En caso de medios deshidratados seguir las instrucciones del fabricante.
El medio de cultivo anterior es el de uso más generalizado. Para algunos alimentos en particular se requerirá de un medio de cultivo especial que se debe indicar al describir la técnica para ese alimento.
4.2.3.2 Materiales
Todo el material que tenga contacto con las muestras o los microorganismos debe estar estéril.
Se requiere, los materiales mencionados en 4.1 Preparación y Dilución de Muestras de Alimentos para su Análisis Microbiológico.
4.2.4 Aparatos e instrumentos
Se requiere, además de los mencionados en 4.1, Preparación y dilución de muestras de alimentos para su análisis microbiológico, los siguientes:
Incubadora con termostato que evite variaciones mayores de ± 1,0 ºC, provista con termómetro calibrado.
Contador de colonias de campo obscuro, con luz adecuada, placa de cristal cuadrículada y lente amplificador.
Registrador mecánico o electrónico.
Microscopio óptico.
Baño de agua con o sin circulación mecánica, provista con termómetro calibrado con divisiones de hasta 1,0°C y que mantenga la temperatura a 45 ± 1,0°C.
4.2.5 Preparacion de la muestra
Para la preparación de la muestra seguir la 4.1, Preparación y dilución de muestras de alimentos para su análisis microbiológico.
4.2.6 Procedimiento
4.2.6.1 Distribuir las cajas estériles en la mesa de trabajo de manera que la inoculación; la adición de medio de cultivo y homogenización, se puedan realizar cómoda y libremente. Marcar las cajas en sus tapas con los datos pertinentes previamente a su inoculación y correr por duplicado.
4.2.6.2 Después de inocular las diluciones de las muestras preparadas según en B.5.1 Preparación y dilución de muestras de alimentos para su análisis microbiológico, en las cajas Petri, agregar de 12 a 15 ml del medio preparado, mezclarlo mediante 6 movimientos de derecha a izquierda, 6 en el sentido de las manecillas del reloj, 6 en sentido contrario y 6 de atrás a adelante, sobre una superficie lisa y horizontal hasta lograr una completa incorporación del inóculo en el medio; cuidar que el medio no moje la cubierta de las cajas. Dejar solidificar.
4.2.6.3 Incluir una caja sin inóculo por cada lote de medio y diluyente preparado como testigo de esterilidad.
4.2.6.4 El tiempo transcurrido desde el momento en que la muestra se incorpora al diluyente hasta que finalmente se adiciona el medio de cultivo a las cajas, no debe exceder de 20 minutos.
4.2.6.5 Incubar las cajas en posición invertida (la tapa hacia abajo) por el tiempo y la temperatura que se requieran, según el tipo de alimento y microorganismo de que se trate, véase el cuadro 1.
CUADRO 1
| Grupo bacteriano | Temperatura | Tiempo de incubación |
| Termofílicos aerobios | 55 ± 2ºC | 48 ± 2 h |
| Mesofílicos aerobios | 35 ± 2ºC | 48 ± 2 h |
| Psicrotróficos | 20 ± 2ºC | 3 - 5 días |
| Psicrofílicos | 5 ± 2ºC | 7 - 10 días |
4.2.6.6 En la lectura seleccionar aquellas placas donde aparezcan entre 25 a 250 UFC, para disminuir el error en la cuenta.
4.2.6.7 Contar todas las colonias desarrolladas en las placas seleccionadas (excepto las de mohos y levaduras), incluyendo las colonias puntiformes. Hacer uso del microscopio para resolver los casos en los que no se pueden distinguir las colonias de las pequeñas partículas de alimento.
4.2.7 Expresión de resultados
4.2.7.1 Cálculo del método.
i) Después de la incubación, contar las placas que se encuentren en el intervalo de 25 a 250 colonias, usando el contador de colonias y el registrador. Las placas de al menos una de tres diluciones deben estar en el intervalo de 25 a 250. Cuando sólo una dilución está en el intervalo apropiado, véase el cuadro 2, ejemplo 1. Calcular la cuenta promedio por gramo o mililitro de dicha dilución y reportar.
ii) Cuando dos diluciones están en el intervalo apropiado, determinar la cuenta promedio dada por cada dilución antes de promediar la cuenta de las dos diluciones para obtener la cuenta en placa por gramo o mililitro, véase el cuadro 2, ejemplo 2.
iii) Con el fin de uniformar los criterios para el reporte de las cuentas en ensayos donde las placas presenten situaciones no contempladas en los ejemplos anteriores, se presentan las siguientes guías:
iv) Placas con menos de 25 colonias.- Cuando las placas corridas para la menor dilución muestran cuentas de menos de 25 colonias, contar el número de colonias presentes en dicha dilución, promediar el número de colonias y multiplicar por el factor de dilución para obtener el valor estimado de cuenta en placa. Aclarar en su informe esta situación agregando la leyenda "valor estimado", véase el cuadro 2, ejemplo 3.
v) Placas con más de 250 colonias.- Cuando el número de colonias por placa exceda de 250, contar las colonias en aquellas porciones de la placa que sean representativas de la distribución de colonias. Contar por ejemplo, una cuarta parte o una mitad del área de la caja y multiplicar el valor obtenido por 4 o 2, respectivamente. Si solamente pueden contarse algunos cuadros, considerar que el fondo de una caja Petri de 100 mm de diámetro contiene 65 cuadros de la cuadrícula del contador. Aclarar en el informe esta situación agregando la leyenda "valor estimado", véase el cuadro 2, ejemplo 4.
vi) Colonias extendidas.- Las colonias extendidas pueden presentarse en las siguientes formas:
vii) Cadenas de colonias no separadas claramente entre sí, que parecen ser causadas por la desintegración de un cúmulo de bacterias.
viii) Colonias que se desarrollan en película entre el agar y el fondo de la caja.
ix) Colonias que se desarrollan en película en la orilla de la caja sobre la superficie del agar.
x) Colonias de crecimiento extendido y en algunas ocasiones acompañadas de inhibición del crecimiento, que en conjunto exceden el 50% de la caja o represión del crecimiento que por sí mismo excede el 25% de la superficie de la caja.
xi) Cuando es necesario contar en cajas que contienen colonias extendidas que no están incluidas en punto x) del numeral 4.2.7.1, contar cualquiera de los tipos vii), viii) o ix) del numeral 4.2.7.1, como provenientes de una sola fuente. En el caso de las colonias del tipo vii) del numeral 4.2.7.1, si la caja contiene una sola cadena, contar como una sola colonia, si la caja contiene varias cadenas que parecen originarse de fuentes separadas, contar cada cadena como colonia individual. No contar cada colonia de la cadena individualmente. Las colonias del tipo vii) y ix) del numeral 4.2.7.1, generalmente se observan como crecimiento diferenciable de otras colonias y se cuentan como tales. Los crecimientos tipo x) del numeral
4.2.7.1, reportarlos como crecimiento extendido. En caso de que una dilución se encuentre dentro del rango y otra dilución presente colonias de crecimiento extendido, reportar la dilución en la que se pueden contar las colonias, véase el cuadro 2, ejemplo 5.
xii) Placas sin colonias.- Cuando las placas de todas las diluciones no muestran colonias, reportar la cuenta en placa como menor que una vez el valor de la dilución más baja usada, véase el cuadro 2, ejemplo 6.
xiii) Placas corridas por duplicado, una con crecimiento dentro del intervalo adecuado y otra con más de 250 colonias.- Cuando una placa tiene entre 25 y 250 colonias y su duplicado más de 250 colonias, contar ambas placas incluyendo la que está fuera del intervalo para determinar la cuenta en placa, véase el cuadro 2, ejemplo 7.
xiv) Placas corridas por duplicado, una placa de cada dilución dentro del intervalo de 25 a 250 colonias.- Cuando una placa dentro de diferentes diluciones contiene el número de colonias especificadas en el intervalo, contar el número de colonias de las cuatro placas para calcular la cuenta en placa, véase el cuadro 2, ejemplo 8.
xv) Placas corridas por duplicado, ambas placas de una dilución dentro del intervalo de 25 a 250 y sólo una de la otra dilución dentro del mismo. Contar las cuatro cajas incluyendo aquélla con menos de 25 o más de 250 colonias, para calcular la cuenta en placa, véase el cuadro 2, ejemplo 9.
xvi) Después de contabilizar las colonias en las placas seleccionadas, multiplicar por la inversa de la dilución para obtener el número de UFC por mililitro o gramo de la muestra. Redondear la cifra obtenida en la cuenta de manera que sólo aparezcan dos dígitos significativos al inicio de esta cifra. Para redondear, elevar el segundo dígito al número inmediato superior cuando el tercer dígito de la derecha sea cinco o mayor (por ejemplo: 128 redondear a 130). Si el tercer dígito es cuatro o menos, reemplazar el tercer dígito con cero y el segundo dígito mantenerlo igual (Por ejemplo: 2417 a 2400):
4.2.8 Informe de la prueba
Reportar como: Unidades formadoras de colonias, ___ UFC/g o ml, de bacterias aerobias en placa en agar triptona extracto de levadura o agar para cuenta estándar, incubadas ________ horas a _______ ºC.
CUADRO 2
Cálculo de los valores de la cuenta en placa
(ensayos por duplicado)
| Ejemplo | | Colonias contadas | | UFC/ g o ml |
| número | 1:100 | 1:1,000 | 1:10,000 | |
| 1 | >250 | 178 | 16 | 180,000 |
| | >250 | 190 | 17 | |
| 2 | >250 | 220 | 25 | 250,000 |
| 3 | 18 | 2 | 0 | 1,600 |
| | 14 | 0 | 0 | |
| 4 | >250 | >250 | 512 | 5,000,000 |
| | >250 | >250 | 495 | |
| 5 | >250 | 235 | Crecimiento extendido | |
| 6 | 0 | 0 | 0 | <100 |
| 7 | >250 | 240 | 24 | 250,000 |
| | >250 | 268 | 19 | |
| 8 | >250 | 216 | 23 | 280,000 |
| | >250 | 262 | 42 | |
| 9 | >250 | 215 | 20 | 23,000 |
| | >250 | 235 | 26 | |
| | >250 | 275 | 32 | 270,000 |
| | >250 | 225 | 26 | |
4.3 Método para la cuenta de microorganismos coliformes totales en placa.
4.3.1 Introducción
El grupo de los microorganismos coliformes es el más ampliamente utilizado en la microbiología de los alimentos como indicador de prácticas higiénicas inadecuadas.
El uso de los coliformes como indicador sanitario puede aplicarse para:
La detección de prácticas sanitarias deficientes en el manejo y en la fabricación de los alimentos.
La evaluación de la calidad microbiológica de un producto, aunque su presencia no necesariamente implica un riesgo sanitario.
Evaluación de la eficiencia de prácticas sanitarias e higiénicas del equipo.
La calidad sanitaria del agua y hielo utilizados en las diferentes áreas del procesamiento de alimentos.
La demostración y la cuenta de microorganismos coliformes, puede realizarse mediante el empleo de medios de cultivos líquidos o sólidos con características selectivas o diferenciales.
4.3.2 Fundamento
El método permite determinar el número de microorganismos coliformes presentes en una muestra, utilizando un medio selectivo (agar rojo violeta bilis) en el que se desarrollan bacterias a 35°C en aproximadamente 24 h, dando como resultado la producción de gas y ácidos orgánicos, los cuales viran el indicador de pH y precipitan las sales biliares.
4.3.3 Reactivos y materiales
4.3.3.1 Reactivos
Los reactivos que a continuación se mencionan, deben ser grado analítico y cuando se indique agua debe entenderse como agua destilada.
i) Soluciones diluyentes
Solución reguladora de fosfatos (solución concentrada)
| Fórmula |
| Ingredientes | Cantidades |
| Fosfato monopotásico | 34,0 g |
| Agua | 1,0 l |
Preparación:
Disolver el fosfato en 500 ml de agua y ajustar el pH a 7,2 con solución de hidróxido de sodio 1,0 N.
Llevar con agua a un litro.
Esterilizar a 121± 1,0°C durante 15 minutos. Conservar en refrigeración (solución concentrada).
Tomar 1,25 ml de la solución concentrada y llevar a un litro con agua (solución de trabajo).
Distribuir en porciones de 99,90 y 9 ml según se requiera.
Esterilizar durante 15 minutos a 121± 1,0°C.
Después de la esterilización, el pH y los volúmenes finales de la solución de trabajo deben ser iguales a los iniciales.
ii) Agua peptonada
| Fórmula |
| Ingredientes | Cantidades |
| Peptona | 1,0 |
| NaCl | 8,5 g |
| Agua | 1,0 l |
Preparación:
Disolver los componentes en un litro de agua.
Ajustar el pH a 7,0 con hidróxido de sodio 1,0 N.
Distribuir en porciones de 99,90 y 9 ml o en cualquier volumen múltiplo de nueve según se requiera.
Esterilizar durante 15 minutos a 121 ± 1,0°C.
Después de la esterilización, los volúmenes finales de la solución de trabajo deben ser iguales a los iniciales.
Si este diluyente no es usado inmediatamente, almacenar en lugar obscuro a una temperatura entre 0 a 5°C por un tiempo no mayor de un mes, en condiciones tales que no alteren su volumen o composición.
iii) Medio de cultivo
Agar-rojo- violeta-bilis -lactosa (RVBA)
| Fórmula |
| Ingredientes | Cantidades |
| Peptona | 7,0 g |
| Extracto de levadura | 3,0 g |
| Lactosa | 10,0 g |
| Sales biliares | 1,5 g |
| Cloruro de sodio | 5,0 g |
| Rojo neutro | 0,03 g |
| Cristal violeta | 0,002 g |
| Agar | 15,0 g |
| agua | 1,0 l |
Preparación:
Mezclar los componentes en el agua y dejar reposar durante algunos minutos.
Mezclar perfectamente y ajustar el pH a 7,4 con ácido clorhídrico 0,1N o con hidróxido de sodio 0,1N a 25°C, de forma que después del calentamiento se mantenga en este valor.
Calentar con agitación constante y hervir durante 2 minutos.
Enfriar inmediatamente el medio en un baño de agua hasta que llegue a 45°C.
Evitar el sobrecalentamiento del medio.
No debe esterilizarse en autoclave.
Usar el medio dentro de las tres primeras horas después de su preparación.
En el caso de utilizar medio de cultivo deshidratado, seguir las instrucciones del fabricante.
4.3.3.2 Materiales
Pipetas bacteriológicas para distribuir 10 y 1 ml (o si es necesario de 11 y 2 ml), con tapón de algodón.
Las pipetas pueden ser graduadas en volúmenes iguales a una décima de su volumen total.
Frascos de vidrio de 250 ml con tapón de rosca.
Tubos de 16 X 150 mm con tapón de rosca.
Utensilios esterilizables para la obtención de muestras: cuchillos, pinzas, tijeras, cucharas, espátulas, etc.
Cajas Petri.
Todo el material e instrumentos que tengan contacto con las muestras bajo estudio debe esterilizarse mediante:
Horno, durante 2 h a 170 - 175°C, o 1 h a 180°C; o en autoclave, durante 15 minutos como mínimo a 121 ± 1,0°C.
El material de vidrio puede sustituirse por material desechable que cumpla con las especificaciones deseadas. No debe usarse material de vidrio dañado por las esterilizaciones repetidas y éste debe ser químicamente inerte.
4.3.4 Aparatos e instrumentos
Horno para esterilizar que alcance una temperatura mínima de 170°C.
Autoclave con termómetro y manómetro, calibrada con termómetro de máximas y mínimas.
Baño de agua con control de temperatura y circulación mecánica, provista con termómetro calibrado con divisiones de 0,1° C y que mantenga la temperatura a 45 ± 1,0°C.
Licuadora de una o dos velocidades controladas por un reóstato o bien un homogeneizador peristáltico (Stomacher).
Vasos para licuadora con tapa esterilizables o bolsas estériles para homogeneizador peristáltico.
Incubadora con termostato que evite variaciones mayores de ± 1,0° C, provista con termómetro calibrado.
Contador de colonias de campo oscuro, con luz adecuada, placa de cristal cuadriculada y lente amplificador.
Registrador mecánico o electrónico.
Microscopio óptico.
Potenciómetro con una escala mínima de 0,1 unidades de pH a 25 °C.
4.3.5 Preparación de la muestra
La preparación de la muestra debe ser de acuerdo a lo establecido en 4.1 Preparación y dilución de muestras de alimentos para su análisis microbiológico.
4.3.6 Procedimiento
4.3.6.1 Colocar en cajas Petri por duplicado 1 ml de la muestra líquida directa o de la dilución primaria, utilizando para tal propósito una pipeta estéril.
4.3.6.2 Repetir el procedimiento tantas veces como diluciones decimales se requiera sembrar, utilizando una pipeta estéril diferente para cada dilución.
4.3.6.3 Vertir de 15 a 20 ml del medio RVBA fundido y mantenido a 45 ± 1,0°C en baño de agua. En el caso de utilizar cajas de Petri de plástico se vierte de 10 a 15 ml del medio. El tiempo transcurrido entre la preparación de la dilución primaria y el momento en que se vierte el medio de cultivo, no debe exceder de 20 minutos.
4.3.6.4 Mezclar cuidadosamente el inóculo con el medio con seis movimientos de derecha a izquierda, seis movimientos en el sentido de las manecillas del reloj, seis movimientos en el sentido contrario al de las manecillas del reloj y seis de atrás para adelante, sobre una superficie lisa y nivelada. Permitir que la mezcla solidifique dejando las cajas Petri reposar sobre una superficie horizontal fría.
4.3.6.5 Preparar una caja control con 15 ml de medio para verificar la esterilidad.
4.3.6.6 Después de que está el medio completamente solidificado en la caja, verter aproximadamente 4 ml del medio RVBA a 45 ± 1,0°C en la superficie del medio inoculado. Dejar que solidifique.
4.3.6.7 Invertir las placas y colocarlas en la incubadora a 35°C, durante 24 ± 2 horas.
4.3.6.8 Después del periodo especificado para la incubación, contar las colonias con el contador de colonias.
4.3.6.9 Seleccionar las placas que contengan entre 15 y 150 colonias. Las colonias típicas son de color rojo oscuro, generalmente se encuentran rodeadas de un halo de precipitación debido a las sales biliares, el cual es de color rojo claro o rosa, la morfología colonial es semejante a lentes biconvexos con un diámetro de 0,5 a 2,0 mm.
4.3.7 Expresión de los resultados
4.3.7.1 Cálculo del método
i) Placas que contienen entre 15 y 150 colonias características.
Separar las placas que contienen el número antes mencionado de colonias características en dos diluciones consecutivas. Contar las colonias presentes. Calcular el número de coliformes por mililitro o por gramo de producto, multiplicando el número de colonias por el inverso de la dilución correspondiente, tomando los criterios del punto 4.2. Método para la Cuenta de Bacterias Aerobias en Placa.
ii) Placas que contienen menos de 15 colonias características.
Si cada una de las placas tiene menos de 15 colonias características, reportar el número obtenido seguido de la dilución correspondiente.
iii) Placas con colonias no características.
Si en las placas no hay colonias características, reportar el resultado como: menos de un coliforme por 1/d por gramo, en donde d es el factor de dilución.
4.3.8 Informe de la prueba
Informar: UFC/g o ml en placa de agar rojo violeta bilis, incubados a 35°C durante 24 ± 2 h.
En caso de emplear diluciones y no observar crecimiento, informar utilizando como referencia la dilución más baja utilizada, por ejemplo dilución 10-1.
En caso de no observar crecimiento en la muestra sin diluir se informa: "no desarrollo de coliformes por ml".
4.4 Método para la determinación de Salmonella en alimentos.
4.4.1 Introducción
Los miembros del género Salmonella han sido muy estudiados como patógenos cuando se encuentran presentes en los alimentos. El control de este microorganismo, tanto por parte de las autoridades sanitarias, como en las plantas procesadoras de alimentos, depende en cierta medida del método analítico utilizado para su detección.
Este microorganismo fue inicialmente identificado en muestras clínicas y los métodos empleados para estos casos se adaptaron posteriormente para su detección en alimentos. Las modificaciones a los métodos consideraron dos aspectos principales, el primero es el debilitamiento o daño a las células bacterianas presentes en un alimento, debido al proceso a que está sujeto (por ejemplo: tratamiento térmico, secado, etc.) y segundo, la variabilidad inherente a la naturaleza del producto bajo estudio. Para diversos alimentos existen diferentes protocolos para el aislamiento de Salmonella, todos ellos son esencialmente similares en principio y emplean las etapas de preenriquecimiento, enriquecimiento selectivo, aislamiento en medios de cultivo selectivos y diferenciales, identificación bioquímica y confirmación serológica de los microorganismos.
4.4.2 Fundamento
La presente técnica para la detección de Salmonella en alimentos, describe un esquema general que consiste de 5 pasos básicos:
4.4.2.1 Preenriquecimiento, es el paso donde la muestra es enriquecida en un medio nutritivo no selectivo, que permite restaurar las células de Salmonella dañadas a una condición fisiológica estable.
4.4.2.2 Enriquecimiento selectivo, empleado con el propósito de incrementar las poblaciones de Salmonella e inhibir otros organismos presentes en la muestra.
4.4.2.3 Selección en medios sólidos, en este paso se utilizan medios selectivos que restringen el crecimiento de otros géneros diferentes a Salmonella y permite el reconocimiento visual de colonias sospechosas.
4.4.2.4 Identificación bioquímica, este paso permite la identificación génerica de los cultivos de Salmonella y la eliminación de cultivos sospechosos falsos.
4.4.2.5 Serotipificación, es una técnica serológica que permite la identificación específica de un cultivo.
4.4.3 Reactivos y materiales
En caso de disponerse de fórmulas comerciales deshidratadas, se deben seguir las instrucciones impresas en la etiqueta respectiva para su preparación.
Las sustancias químicas usadas para preparar los medios de cultivo y los reactivos deben ser grado analítico.
4.4.3.1 Reactivos
i) Medios de pre-enriquecimiento
Agua de peptona tamponada
| Fórmula |
| Ingredientes | Cantidades |
| Peptona | 10,0 g |
| Cloruro de sodio | 5,0 g |
| Fosfato sódico dibásico | 3,5 g |
| Fosfato potásico monobásico | 1,5 g |
| Agua | 1,0 l |
Preparación
Disolver los componentes en agua, calentando si es necesario.
Ajustar el pH, si es necesario, después de la esterilización a 7,0.
Distribuir en recipientes de vidrio esterilizables con la capacidad necesaria para obtener las porciones necesarias para la prueba.
Esterilizar por 20 min a 121 ± 1ºC.
Caldo lactosado
| Fórmula |
| Ingredientes | Cantidades |
| Extracto de carne | 3,0 g |
| Peptona | 5,0 g |
| Lactosa | 5,0 g |
| Agua destilada | 1,0 g |
| pH final 6,9 + 0,2 |
Preparación
Disolver los ingredientes en agua, calentando a 65ºC.
Distribuir en porciones de 225 ml, en frascos de 500 ml.
Esterilizar durante 15 min a 121ºC ± 1ºC.
ii) Caldo de enriquecimiento
Caldo selenito-cistina
| Fórmula |
| Ingredientes | Cantidades |
| Tristona o polipeptona | 5,0 g |
| Lactosa | 4,0 g |
| Fosfato disódico | 10,0 g |
| Selenito ácido de sodio | 4,0 g |
| L- cistina | 0,01 g |
| Agua destilada | 1,0 l |
| pH final 7,0 + 2 a 25°C | |
Preparación
Disolver los ingredientes en un litro de agua destilada estéril y distribuir en volúmenes de 10 y 225 ml en recipientes estériles, según se requiera.
El caldo así preparado es transparente. De preferencia usarlo el mismo día de su preparación.
Si se desea conservar el medio por varios días, puede exponerse al calor en autoclave por 5 min a 110ºC ± 1ºC, tomando entonces un color salmón.
Caldo tetrationato
| Fórmula |
| Ingredientes | Cantidades |
| Proteosa peptona o triptona | 5,0 g |
| Sales biliares | 1,0 g |
| Carbonato de calcio | 10,0 g |
| Tiosulfato de sodio pentahidratado | 30,0 |
| Agua destilada | 1,0 l |
| pH final 7,0 + 0,1 |
Preparación
Disolver los ingredientes en un litro de agua destilada estéril.
Distribuir, agitando constantemente, en porciones de 10 y 225 ml, en recipientes estériles. Guardar en refrigeración.
Antes de usar el medio, agregar 2 ml de una solución yodo-yoduro y 1 ml de solución de verde brillante al 0,1% por cada 100 ml de caldo. El medio una vez adicionado de yodo no debe calentarse y debe usarse el mismo día de su preparación.
Vassiliadis-Rappaport
| Fórmula |
| Solución A |
| Ingredientes | Cantidades |
| Tristona | 5,0 g |
| Cloruro de sodio | 8,0 g |
| Fosfato de potasio hidrogenado | 1,6 g |
| Agua destilada | 1,0 l |
Disolver los componentes en agua por calentamiento cercano a 70ºC.
| Solución B |
| Ingredientes | Cantidades |
| Cloruro de magnesio hexahidratado | 400 g |
| Agua destilada | 1,0 l |
Disolver el cloruro de magnesio en agua.
Como esta sal es muy higroscópica es conveniente disolver el contenido entero de cloruro de magnesio desde un recipiente recientemente abierto de tal modo que la concentración de la solución sea de 0,4 g/ml.
Conservar en frasco ámbar a temperatura ambiente.
| Solución C |
| Ingredientes | Cantidades |
| Oxalato de verde de malaquita | 0,4 g |
| Agua destilada | 100 ml |
Disolver el oxalato de verde de malaquita en agua.
Conservar en frasco ámbar a temperatura ambiente.
| Medio completo |
| Ingredientes | Cantidades |
| Solución A | 1,000 ml |
| Solución B | 100 ml |
| Solución C | 10 ml |
Preparación
Adicionar 1 000 ml de la solución A, 100 ml de la solución B y 10 ml de la solución C.
Ajustar el pH si es necesario, de tal manera que después de la esterilización sea de 5,2.
Distribuir antes de usar dentro de tubos en cantidades de 10 ml.
Almacenar en refrigeración.
Caldo de soya tripticasa
| Fórmula |
| Ingredientes | Cantidades |
| Tripticasa o triptosa | 17,0 g |
| Fitona | 3,0 g |
| Glucosa | 2,5 g |
| Cloruro de sodio | 2,5 g |
| Agua destilada | 1,0 g |
| pH final 7,3 + 0,2 |
Preparación
Disolver los ingredientes en 1 litro de agua destilada, calentando lentamente hasta su disolución completa.
Distribuir porciones de 225 ml dentro de matraces de 500 ml y esterilizar en autoclave durante 15 min a 121ºC ± 1ºC.
Leche descremada reconstituida
Suspender 100 g de leche descremada en polvo en un litro de agua destilada. Agitar circularmente hasta disolución. Distribuir en volúmenes de 225 ml en matraces Erlenmeyer de 500 ml. Esterilizar a 121ºC ± 1ºC por 15 min. El volumen final debe corregirse para mantener 225 ml.
Caldo soya tripticasa estéril adicionado con sulfito de potasio
Adicionar al caldo soya tripticasa 5 g de sulfito de potasio por cada 1000 ml de medio, quedando una concentración final de sulfito de potasio del 0,5%. Adicionar el sulfito de potasio antes de esterilizar en autoclave en la forma habitual.
iii) Medios de aislamiento
Agar verde brillante (VB)
| Fórmula |
| Ingredientes | Cantidades |
| Extracto de levadura | 3,0 g |
| Polipeptona (proteosa peptona No. 3) | 10,0 g |
| Cloruro de sodio | 5,0 g |
| Lactosa | 10,0 g |
| Sacarosa | 10,0 g |
| Rojo de fenol | 0,08 g |
| Agar | 20,0 g |
| Verde brillante | 0,0125 g |
| Agua destilada | 1,0 l |
| pH final 6,9 ± 0,2 |
Preparación
Suspender los ingredientes en un litro de agua destilada y calentar a ebullición, hasta disolución completa. Ajustar el pH.
Esterilizar en autoclave por 15 min a 121ºC ± 1ºC. El sobrecalentamiento del medio disminuye su selectividad.
Enfriar el medio a 50ºC y distribuirlo en cajas de petri estériles. El aspecto del medio es obscuro, de color marrón.
Agar con sulfito de bismuto
| Fórmula |
| Ingredientes | Cantidades |
| Extracto de carne de res | 5,0 g |
| Mezcla de peptonas | 10,0 g |
| Glucosa | 5,0 g |
| Fosfato disódico (anhidro) | 5,0 g |
| Sulfato ferroso (anhidro) | 0,3 g |
| Sulfito de bismuto | 8,0 g |
| Verde brillante | 0,025 g |
| Agar | 20,0 g |
| Agua destilada | 1,0 l |
| pH final | 7,6 + 0,2 |
Preparación
Suspender los ingredientes en un litro de agua. Calentar hasta su disolución completa, agitando frecuentemente. Ajustar el pH.
Enfriar a 45ºC y verter en cajas de petri estériles, distribuyendo de manera homogénea el precipitado propio del medio.
El aspecto de las placas es opaco, de color verde pálido y deben usarse el mismo día de su preparación. Si la coloración es parda, no deben utilizarse.
El medio no debe esterilizarse en autoclave; el sobrecalentamiento afecta su selectividad.
Agar xilosa lisina desoxicolato (XLD)
| Fórmula |
| Ingredientes | Cantidades |
| Xilosa | 3,75 g |
| L- lisina | 5,0 g |
| lactosa | 7,5 g |
| Sacarosa | 7,5 g |
| Cloruro de sodio | 5,0 g |
| Extracto de levadura | 3,0 g |
| Rojo de fenol | 0,08 g |
| Agar | 15,0 g |
| Desoxocolato de sodio | 2,5 g |
| Citrato férrico- amónico | 0,8 g |
| Tiosulfato de sodio | 6,8 g |
| Agua destilada | 1,0 l |
| pH final | 6,9 + 0,2 |
Preparación
Suspender los ingredientes en un litro de agua destilada, y calentar en baño de agua a 55ºC, agitando frecuentemente, hasta disolución completa. Ajustar el pH.
Enfriar a 50ºC y verter en cajas de petri estériles. No se esterilice.
El sobrecalentamiento produce una precipitación; la reactividad del medio puede ser satisfactoria, pero las colonias suelen ser muy pequeñas.
El aspecto del medio es claro y de color rojo brillante.
Agar para Salmonella y Shigella (SS)
| Fórmula |
| Ingredientes | Cantidades |
| Extracto de carne | 5,0 g |
| Polipeptona | 5,0 g |
| Lactosa | 10,0 g |
| Sales biliares | 8,5 g |
| Citrato de sodio dihidratado | 8,5 g |
| Tiosulfato de sodio pentahidratado | 8,5 g |
| Citrato férrico | 1,0 g |
| Agar | 13,5 g |
| Rojo neutro | 0,025 g |
| Verde brillante | 0,33 mg |
| Agua destilada | 1,0 l |
| pH final 7,0 + 0,2 |
Preparación
Suspender los ingredientes en un litro de agua destilada estéril y calentar a ebullición hasta disolución completa. Ajustar el pH. No esterilizar en autoclave.
Enfriar a 50ºC y distribuir en cajas de petri estériles en condiciones asépticas.
El aspecto del medio fundido es claro y de color rosado.
Agar entérico Hektoen
| Fórmula |
| Ingredientes | Cantidades |
| Proteosa peptona | 12,0 g |
| Extracto de levadura | 3,0 g |
| Lactosa | 12,0 g |
| Sacarosa | 12,0 g |
| Salicilina | 2,0 g |
| Sales biliares | 9,0 g |
| Cloruro de sodio | 5,0 g |
| Tiosulfato de sodio | 5,0 g |
| Citrato amónico férrico | 1,5 g |
| Azul de bromotimol | 0,064 g |
| Fascina ácida | 0,1 g |
| Agar | 13,5 g |
| Agua | 1,0 l |
| pH final | 7,5 + 0,2 |
Preparación
Suspender los ingredientes en agua destilada, hervir con agitación hasta completa disolución del agar.
No sobrecalentar.
Dejar enfriar a 55-60ºC y distribuir en cajas de petri estériles en condiciones asépticas.
iv) Medios para pruebas bioquímicas
Agar de tres azúcares y hierro (TSI)
| Fórmula |
| Ingredientes | Cantidades |
| Peptona de carne | 1,0 g |
| Paptona de caseína | 1,0 g |
| Cloruro de sodio | 0,5 g |
| Lactosa | 1,0 g |
| Sacarosa | 1,0 g |
| Glucosa | 0,1 g |
| Agar | 1,3 g |
| Rojo de fenol | 2,5 mg |
| Sulfato ferroso amónico pentahidratado | 20,0 mg |
| Tiosulfato de sodio | 20,0 mg |
| Agua destilada | 100 ml |
| pH final 7,3 + 0,2 |
Preparación
Suspender los ingredientes en 100 ml de agua destilada. Calentar a ebullición, agitando ocasionalmente, hasta disolución completa.
Enfriar a 60ºC y ajustar el pH.
Distribuir en volúmenes de 3 ml en tubos de 13 x 100 mm y esterilizar a 121ºC ± 1ºC durante 15 min.
Inclinar los tubos de manera que el medio de cultivo en el fondo alcance una altura de 3 cm y una profundidad de 4 cm. El medio es de color rojo.
Agar de hierro y lisina (LIA)
| Fórmula |
| Ingredientes | Cantidades |
| Peptona de gelatina | 0,5 g |
| Extracto de levadura | 0,3 g |
| Glucosa | 0,1 g |
| L-lisina | 1,0 g |
| Citrato férrico amónico | 50 mg |
| Tiosulfato de sodio anhidro | 4,0 mg |
| Púrpura de bromocresol | 2,0 mg |
| Agar | 1,5 g |
| Agua destilada | 100 ml |
| pH final | 6,7 + 0,2 |
Preparación
Suspender los ingredientes en el agua destilada y mezclar bien, calentar hasta ebullición con agitación frecuente hasta conseguir la disolución completa. Ajustar el pH.
Distribuir en volúmenes de 3 ml en tubos de 13 x 100 mm, con tapón de rosca.
Esterilizar en autoclave a 121ºC ± 1ºC durante 12 min. Dejar que los tubos se enfríen en posición inclinada, de tal modo que se obtengan columnas de medio de 4 cm y una superficie inclinada de 2 cm.
El medio ya preparado es de color púrpura.
Agar nutritivo
| Fórmula |
| Ingredientes | Cantidades |
| Extracto de carne | 3,0 g |
| Peptona | 5,0 g |
| Agar | 15,0 g |
| Agua destilada | 1,0 l |
| pH final | 6,8 + 0,2 |
Preparación
Suspender los ingredientes en agua. Dejar reposar de 5 a 10 min.
Calentar a ebullición hasta disolución completa. Distribuir en tubos de 13 x 100 mm, en cantidades de 1/3 de su volumen.
Esterilizar a 121ºC ± 1ºC por 15 min. Inclinar los tubos antes que el agar solidifique.
Medio de SIM (para Sulfuro, Indol y Movilidad)
| Fórmula |
| Ingredientes | Cantidades |
| Extracto de carne | 3,0 g |
| Peptona | 30,0 g |
| Hierro peptonizado | 0,20 g |
| Tiosulfato de sodio | 0,025 g |
| Agua destilada | 1,0 l |
| pH final | 7,3 + 0,2 |
Preparación
Suspender los ingredientes en el agua destilada, calentar a ebullición agitando frecuentemente hasta lograr una disolución completa.
Enfriar a 50ºC y ajustar el pH.
Distribuir el medio en volúmenes de 3 ml en tubos de 13 x 100 mm y esterilizar en autoclave a 121ºC ± 1ºC durante 15 min. Se dejan enfriar los tubos en posición vertical.
Agar citrato de Simmons
| Fórmula |
| Ingredientes | Cantidades |
| Fosfato de amonio | 1,0 g |
| Fosfato dipotásico | 1,0 g |
| Cloruro de sodio | 5,0 g |
| Citrato de sodio | 2,0 g |
| Sulfato de magnesio | 0,20 g |
| Azul de bromotimol | 0,08 g |
| Agar | 15,0 g |
| Agua destilada | 1,0 l |
| pH final | 6,8 + 0,2 |
Preparación
Suspender los ingredientes en el agua destilada, calentar a ebullición agitando frecuentemente hasta lograr una disolución completa.
Ajustar el pH.
Distribuir el medio en volúmenes de 3 ml en tubos de 13 x 100 mm y esterilizar en autoclave a 121ºC ± 1ºC durante 15 min.
Dejar enfriar los tubos en posición inclinada.
Caldo MR-VP (Rojo de metilo-Voges Proskauer)
| Fórmula |
| ingredientes | Cantidades |
| Peptona | 7,0 g |
| Dextrosa | 5,0 g |
| Difosfato de potasio | 5,0 g |
| Agua destilada | 1,0 l |
| pH final | 6,9 + 0,2 |
Preparación
Suspender los ingredientes en el agua destilada, calentar a ebullición agitando frecuentemente hasta lograr una disolución completa.
Ajustar el pH.
Distribuir el medio en volúmenes de 3 ml en tubos de 13 x 100 mm y esterilizar en autoclave a 121ºC ± 1ºC durante 15 min.
Caldo manitol
| Fórmula |
| Ingredientes | Cantidades |
| Extracto de carne | 1,0 g |
| Proteosa peptona | 10,0 g |
| Cloruro de sodio | 5,0 g |
| Rojo de fenol | 0,018 g |
| Manitol | 10,0 g |
| Agua | 1,0 l |
| pH final | 7,4 + 0,2 |
Preparación
Suspender 26 g del medio deshidratado en un litro de agua, mezclar y ajustar el pH.
Distribuir en volúmenes de 2 a 3 ml en tubos de 13 x 100 mm.
Esterilizar a 121ºC ± 1ºC durante 15 min.
Caldo malonato
| Fórmula |
| Ingredientes | Cantidades |
| Extracto de levadura | 1,0 g |
| Sulfato de amonio | 2,0 g |
| Fosfato dipotásico | 0,6 g |
| Fosfato monopotásico | 0,6 g |
| Cloruro de sodio | 2,0 g |
| Malonato | 3,0 g |
| Glucosa | 0,250 g |
| Azul de bromotimol | 0,025 g |
| Agua | 1,0 l |
| pH final | 6,7 + 0,2 |
Preparación
Suspender los ingredientes en agua, mezclar y ajustar el pH.
Distribuir en tubos de 13 x 100 mm en cantidades de 3 ml.
Esterilizar en autoclave a 121ºC ± 1ºC durante 15 min.
Caldo urea
| Fórmula |
| Ingredientes | Cantidades |
| Urea | 20,0 g |
| Extracto de levadura | 0,1 g |
| Fosfato monopotásico | 9,10 g |
| Fosfato dipotásico | 9,5 g |
| Rojo de fenol | 0,01 g |
| Agua | 1,0 l |
| pH final | 6,8 + 0,2 |
Preparación
Disolver los ingredientes en agua destilada.
NO CALENTAR. Esterilizar por filtración a través de membrana 0,45 µm o en autoclave de 5 a 8 lb de presión durante 15 min.
Distribuir asépticamente de 1,5 a 3 ml en tubos estériles de 13 x 100 mm.
Caldo de urea rápido
| Fórmula |
| Ingredientes | Cantidades |
| Urea | 20,0 g |
| Extracto de levadura | 0,10 g |
| Fosfato monopotásico | 0,091 g |
| Fosfato dipotásico | 0,095 g |
| Rojo de fenol | 0,010 g |
| Agua | 1,0 l |
| pH final | 6,8 + 0,2 |
Preparación
Disolver los ingredientes en agua destilada.
NO CALENTAR. Esterilizar por filtración a través de membrana 0,45 µm.
Distribuir asépticamente de 1,5 a 3 ml en tubos estériles de 13 x 100 mm.
Caldo infusión cerebro corazón
| Fórmula |
| Ingredientes | Cantidades |
| Infusión cerebro corazón | 200,0 g |
| Infusión de corazón de res | 250,0 g |
| Proteosa peptona | 10,0 g |
| Cloruro de sodio | 5,0 g |
| Fosfato disódico dodecahidratado | 2,5 g |
| Dextrosa | 2,0 g |
| Agua destilada | 1,0 l |
| pH final | 7,4 ± 0,2 |
Preparación
Disolver los ingredientes en agua destilada, calentar suavemente.
Distribuir y esterilizar a 121ºC ± 1ºC durante 15 min.
v) Soluciones
Solución verde brillante al 0,1% (1:1000)
| Fórmula |
| Ingredientes | Cantidades |
| Verde brillante | 0,1 g |
| Agua destilada estéril | 100,0 ml |
Disolver 0,1 g de verde brillante en agua destilada estéril hasta completar 100 ml.
Solución de yodo-yoduro
| Fórmula |
| Ingredientes | Cantidades |
| Cristales de yodo | 6,0 g |
| Yoduro de potasio | 6,0 g |
| Agua destilada | 100,0 ml |
Disolver los cristales y el yoduro de potasio en agua destilada hasta completar 100 ml.
Conservar en frasco ámbar.
Solución salina al 0,85%
| Fórmula |
| Ingredientes | Cantidades |
| Cloruro de sodio | 0,85 g |
| Agua destilada | 100,0 ml |
Disolver el cloruro de sodio en el agua y esterilizar a 121°C ± 1°C durante 15 min.
Solución salina formalizada
| Fórmula |
| Ingredientes | Cantidades |
| Solución de formaldehído (36-38 %) | 6,0 ml |
| Cloruro de sodio | 8,5 g |
| Agua destilada | 1,0 l |
Disolver 8,5 g de cloruro de sodio en 1 litro de agua destilada. Esterilizar a 121ºC ± 1ºC durante 15 min.
Enfriar a temperatura ambiente. Adicionar 6 ml de la solución de formaldehído. No esterilizar después de la adición de formaldehído.
Reactivo de Kovac
| Fórmula |
| Ingredientes | Cantidades |
| p-dimetil-aminobenzaldehído | 5,0 g |
| Alcohol amílico | 75,0 ml |
| Acido clorhídrico concentrado | 25,0 ml |
Disolver el p-dimetil-aminobenzaldehído en el alcohol amílico y después agregar el ácido clorhídrico lentamente. Conservar en frasco ámbar en refrigeración.
Solución de alfa-naftol al 5%
| Fórmula |
| Ingredientes | Cantidades |
| Alfa-naftol | 5,0 g |
| Alcohol | 100,0 ml |
Disolver 5 g de alfa-naftol en alcohol hasta completar 100 ml.
Solución de rojo de metilo
| Fórmula |
| Ingredientes | Cantidades |
| Rojo de metilo | 0,10 g |
| Alcohol etílico | 300,0 ml |
| Agua destilada c.b.p. | 500,0 ml |
Disolver el rojo de metilo en el alcohol etílico y adicionar agua hasta completar 500 ml.
Solución de hidróxido de potasio al 40%
| Fórmula |
| Ingredientes | Cantidades |
| Hidróxido de potasio | 40,0 g |
| Agua destilada | 100,0 ml |
Disolver 40 g de hidróxido de potasio en agua hasta completar 100 ml.
Solución de gelatinasa al 5%
| Fórmula |
| Ingredientes | Cantidades |
| Gelatinasa | 5,0 g |
| Agua | 100,0 ml |
Disolver 5 g de gelatinasa en 100 ml de agua destilada. NO CALENTAR.
vi) Antisueros
Antisuero polivalente somático (O)
Antisuero polivalente flagelar (H)
Antisuero Vi
4.4.3.2 Material
Matraces Erlenmeyer de 500 ml
Recipientes de boca ancha, de capacidad apropiada para contener las muestras simples y compuestas
Angulos de vidrio
Cucharas, bisturíes, cuchillos y pinzas
Tubos de ensaye de 16 x 150 mm y de 20 x 100 mm
Tubos para serología de 10 x 75 mm o de 13 x 100 mm
Pipetas bacteriológicas de 10,0 y 5,0 ml, graduadas en 0,1 ml y protegidas con tapón de algodón
Pipetas de 1 ml, con graduaciones de 0,01 ml
Cajas de petri estériles de vidrio o desechables
Rejillas para tubos de ensaye
Asa de platino o nicromel de aproximadamente 3 mm de diámetro
Papel pH (intervalo de 6-8) con graduaciones máximas de 0,4 unidades de pH para cambios de color
Todo el material que tenga contacto con las muestras bajo estudio debe esterilizarse mediante:
Horno, durante 2 horas a 170-175ºC o autoclave, durante 15 min como mínimo a 121ºC ± 1ºC
4.4.4 Equipo
Horno para esterilizar que alcance los 180ºC
Incubadora con termostato para evitar variaciones mayores de ± 0,1ºC y termómetro
Autoclave con termómetro o manómetro, probado con termómetro de máximas
Baño maría con termostato y termómetro
Balanza granataria con sensibilidad de 0,1 g
Licuadora de una o dos velocidades controladas por un reóstato, con vasos esterilizables (vidrio o aluminio)
Mecheros Bunsen o Fisher
Potenciómetro
4.4.5 Procedimiento
4.4.5.1 Preparación de los alimentos para el aislamiento de Salmonella
Los siguientes métodos se basan en el análisis de 25 g de la muestra analítica en una proporción de 1:9 de muestra/caldo. Esta cantidad puede variarse siempre que se mantenga la misma proporción. Se recomienda una muestra de 25 g o más.
i) Procedimiento general para la preparación de muestras
Pesar asépticamente 25 g de la muestra en un vaso estéril de licuadora o en bolsa estéril para trabajar en homogeneizador peristáltico (stomacher). Adicionar 225 ml del medio de preenriquecimiento estéril (generalmente caldo lactosado, a menos que se indique otro) y licuar si es necesario durante un min.
Transferir asépticamente la mezcla homogeneizada a un recipiente estéril de boca ancha con tapón de rosca y dejar reposar por 60 min. a temperatura ambiente con la tapa bien enroscada. Mezclar bien y determinar el pH aproximado con papel pH. Ajustar, si es necesario, a un pH 6,8 ± 0,2 con hidróxido de sodio 1N o ácido clorhídrico 1N estériles. Mezclar y cubrir el recipiente enroscando suavemente la tapa.
Incubar 24 ± 2 h a 35ºC. Continuar como se indica en el punto i) del numeral 4.4.5.2
ii) Procedimiento específico para la preparación de muestra según el producto
iii) Huevo en polvo, claras de huevo en polvo, yema de huevo en polvo, huevos líquidos pasteurizados y congelados, fórmulas infantiles y mezclas preparadas en polvo (harinas para hot cakes, galletas, donas, bisquets y pan).
De preferencia no descongelar la muestra. Si se requiere, preparar los alimentos congelados justo antes de tomar la muestra analítica descongelándolos a 45ºC por 15 min. aproximadamente con agitación constante en un baño de agua o por 18 h a una temperatura entre 2-5ºC. Los productos que no son en polvo se trabajan como indica el procedimiento general en el punto i) del numeral 4.4.5.1. Para los productos en polvo, pesar 25 g de muestra analítica en el medio de preenriquecimiento, dejando que el polvo se humecte lentamente. Si es necesario homogeneizando poco a poco con una varilla de vidrio estéril u otra herramienta también estéril. Continuar igual que el procedimiento general.
iv) Productos que contienen huevo en su formulación (pastas para sopa, rollos chinos, etc.); que en el punto iii) del numeral 4.4.5.1 utilizando caldo lactosado como medio de preenriquecimiento, licuar dos min. Continuar después de la incubación como en el punto i) del numeral 4.4.5.2
v) Productos procesados térmicamente y productos secos. Se sigue el procedimiento señalado en i) de 4.4.5.1 hasta la homogeneización. Si la muestra es en polvo o molida, el licuado puede omitirse.
Después de reposar, mezclar bien y ajustar el pH como se indica en el procedimiento general. Para emulsionar las grasas, agregar los detergentes en las mismas proporciones y con las mismas recomendaciones que para el coco. La cantidad de los mismos dependerá en gran medida de la composición del alimento. Los detergentes no serán necesarios en los productos glandulares en polvo.
Incubar las muestras como se indica en el punto i) del numeral 4.4.5.1
4.4.5.2 Aislamiento de Salmonella
i) Cerrar firmemente el tapón de rosca de los matraces con los cultivos de preenriquecimiento y agitar suavemente, transferir respectivamente 1 ml de la mezcla a un tubo que contenga 10 ml de caldo tetrationato y a otro con 10 ml de caldo selenito cistina. Como alternativa, en sustitución del caldo tetrationato puede emplearse el medio Vassiliadis-Rappaport.
ii) Incubar de 18 a 24 h a 35ºC o, para alimentos fuertemente contaminados a 42ºC por el mismo periodo. Estriar los productos que fueron directamente enriquecidos en medios selectivos.
iii) Mezclar el tubo con caldo selenito cistina y estriar en agar xilosa lisina desoxicolato (XLD), agar verde brillante (VB) y una tercera caja con cualquiera de los medios selectivos adicionales (agar entérico Hektoen, agar Sulfito de Bismuto o Agar SS).
Efectuar el mismo procedimiento para el caldo tetrationato. Incubar las placas 24 ± 2 h a 35ºC.
iv) Examinar las placas para investigar la presencia de colonias típicas de Salmonella, de acuerdo con las siguientes características:
Agar XLD: colonias rosas o rojas que pueden ser transparentes con o sin centro negro. En algunos casos las colonias pueden aparecer completamente negras.
Agar VB: colonias rojas o rosas que pueden ser transparentes rodeadas por medio enrojecido; las bacterias fermentadoras de la lactosa dan colonias amarillas.
Agar entérico Hektoen: colonias verdes o azulverdes con o sin centro negro. En algunos casos las colonias pueden aparecer completamente negras.
Agar Sulfito de Bismuto: las colonias típicas de Salmonella pueden ser cafés, grises o negras; con o sin brillo metálico. Generalmente el medio circundante (halo) es café, tornándose posteriormente negro.
Algunas cepas producen colonias verdes sin la formación del halo oscuro. Si las placas no muestran colonias típicas o no se observa crecimiento, incubar 24 h adicionales.
Agar SS: colonias translúcidas, ocasionalmente opacas. Algunas colonias dan centro negro. Las colonias fermentadoras de la lactosa son rojas.
4.4.5.3 Identificación bioquímica
i) Seleccionar al menos dos colonias típicas de cada medio selectivo, que se encuentren bien aisladas.
Tocar levemente el centro de cada colonia e inocular dos tubos, uno con agar triple azúcar hierro (TSI) y otro con agar hierro lisina (LIA), por estría en la superficie inclinada y por punción en el fondo.
Incubar por 24 ± 2 h a 35ºC.
Almacenar en refrigeración de 5 a 8ºC las placas con medios selectivos por si es necesario retomar más colonias.
ii) Observar el crecimiento en los tubos y considerar presuntivamente positivas para Salmonella las colonias que den las siguientes reacciones:
iii) Agar TSI, en el fondo del tubo se observa vire del indicador debido a la fermentación de la glucosa; en la superficie del medio se observa un color rojo más intenso que el medio original debido a la no fermentación de la lactosa ni de la sacarosa. En la mayoría de los casos se observa coloración negra a lo largo de la punción debido a la producción de ácido sulfihídrico.
iv) Agar LIA, se observa intensificación del color púrpura en todo el tubo por la descarboxilación de la lisina. Considerar negativos aquellos cultivos que produzcan claramente color amarillo en el fondo del agar. La mayoría de las cepas de Salmonella producen ácido sulfihídrico en este medio con ennegrecimiento a lo largo de la punción.
v) Retener todos los cultivos que muestren las reacciones características de Salmonella en los medios TSI y LIA para las pruebas adicionales, indicadas en el punto vi) del numeral 4.4.5.3.
vi) Los cultivos con TSI que no parecen de Salmonella pero que presentan reacciones en LIA típicos, deben trabajarse como cultivos presuntivos positivos, ya que en estos casos, el medio LIA permitirá detectar S. arizonae y cepas atípicas de Salmonella que utilicen lactosa o sacarosa. Descartar solamente los cultivos que muestren reacciones atípicas en ambos medios.
vii) Continuar el análisis a partir de los tubos de TSI con reacciones típicas. Si el cultivo presenta reacciones atípicas en este medio, tomar colonias adicionales de las placas de donde se obtuvo el cultivo atípico anterior y sembrar las pruebas bioquímicas nuevamente.
viii) Continuar la identificación bioquímica y serológica a partir de los cultivos recuperados de TSI. Se recomienda trabajar seis cultivos por cada 25 g de unidad analítica seleccionando colonias procedentes de ambos medios de enriquecimiento.
ix) Prueba de ureasa
x) Prueba de ureasa (convencional). Con una asa estéril, tomar crecimiento del cultivo presumiblemente positivo de cada tubo de medio TSI e inocular tubos de caldo urea. Utilizar un control de medio para comparar el vire púrpura de las reacciones positivas con el color del medio original. Incubar 24 ± 2 h a 35ºC.
xi) Prueba de ureasa (rápida). Tomar dos asadas de crecimiento del cultivo presumiblemente positivo de cada tubo de medio TSI e inocular tubos de caldo urea (rápida). Incubar 2 h a 37 ± 0,5ºC en baño de agua.
Descartar todos los cultivos que den ureasa positiva. Retener los cultivos que den la prueba negativa (sin cambio de color del medio).
4.4.5.4 Identificación serológica
i) Ensayo de los antígenos somáticos de Salmonella (Antisuero polivalente O)
ii) Colocar con una asa dos gotas separadas de solución salina estéril sobre un portaobjetos o en dos secciones de una placa para aglutinación. Suspender en cada una de las gotas, una porción del cultivo desarrollado en TSI.
iii) Agregar a una de ellas una gota del antisuero polivalente somático (O) y mezclar con el canto del asa o empleando aplicadores de madera.
iv) Agitar inclinando la lámina hacia atrás y hacia adelante durante aproximadamente un min.
Observar bajo buena iluminación sobre un fondo oscuro.
v) Considerar cualquier grado de aglutinación como positiva.
La prueba positiva resulta cuando se presenta aglutinación en la gota con el cultivo y el antisuero y no aglutinación en la gota que contiene el cultivo y la solución salina.
Si se observa aglutinación en ambas gotas, la prueba no es definitiva y se debe continuar con las pruebas bioquímicas complementarias.
vi) Cuando la aglutinación es positiva con el suero polivalente O, puede determinarse el subgrupo empleando antisueros para los diferentes subgrupos (los grupos B, C, D y E, suelen ser los más frecuentes).
vii) Si la aglutinación con el antisuero O es negativa, utilizar antisuero Vi y efectuar la prueba. Si hay aglutinación con Vi calentar el cultivo a ebullición y repetir la aglutinación con el antisuero polivalente O.
viii) Si no se cuenta con los sueros grupoespecíficos, solicitar la tipificación de la cepa al Laboratorio de Enterobacterias del Centro Nacional de Diagnóstico y Referencia de la Secretaría de Salud o a la Comisión de Control Analítico y Ampliación de la Cobertura (CCAYAC).
ix) Si se requiere, practicar el ensayo de los antígenos flagelares de Salmonella (Antisuero polivalente H).
x) Inocular el crecimiento del tubo de TSI en agar infusión de cerebro corazón e incubar de 4 a 6 h a 35ºC hasta que se observe crecimiento (para ensayo en el mismo día), o bien, en caldo soya tripticaseina e incubar por 24 ± 2 h a 35ºC (para ensayo al día siguiente). Adicionar 2,5 ml de solución salina formalizada a 5 ml del cultivo en caldo o al cultivo en agar cerebro corazón (BHI).
xi) Colocar 0,5 ml del antisuero polivalente flagelar (H) preparado en un tubo para serología (13 x 100 mm aproximadamente). Adicionar 0,5 ml del cultivo formalizado. Preparar un control de solución salina mezclando 0,5 ml de solución salina formalizada con 0,5 ml del antígeno formalizado. Incubar las mezclas en baño de agua a 48-50ºC. Observar a intervalos de 15 min por espacio de una h. Una prueba positiva es cuando se observa aglutinación en la mezcla de prueba pero no en el control. Debe interpretarse como negativa una prueba en la que ninguna de las mezclas muestre aglutinación. Cuando ambas mezclas se aglutinan, se considera la prueba inespecífica.
4.4.5.5 Pruebas bioquímicas complementarias
Cuando las pruebas serológicas o bioquímicas iniciales, dan resultados atípicos o no concluyentes, realizar las pruebas que se describen a continuación:
i) Inocular los cultivos positivos provenientes de TSI y LIA en: medio SIM, agar citrato de Simmons, caldo manitol y caldo RM-VP. Usar caldo malonato para confirmar la presencia de la especie S. arizonae.
ii) Interpretar los cambios en los medios inoculados conforme lo siguiente:
iii) Agar citrato Simmons.
Inocular por estría el tubo.
Incubar 96 ± 2 h a 35 ± 2ºC.
Prueba positiva: crecimiento acompañado de un cambio de color de verde a azul.
Prueba negativa: ausencia de crecimiento y sin cambio de color.
iv) Medio SIM
Inocular por punción.
Incubar 24 h a 35 ± 2ºC.
Movilidad.
Prueba positiva: crecimiento a lo largo de la punción y en el seno del medio de cultivo.
Prueba negativa: crecimiento a lo largo de la punción exclusivamente.
Producción de ácido sulfihídrico.
Prueba positiva: desarrollo de un color negro a lo largo de la punción que puede extenderse a todo el medio.
Prueba negativa: ausencia de color negro.
Producción de indol.
Adicionar al tubo con medio SIM que presente crecimiento, de 0,2 a 0,3 ml de reactivo de Kovac.
Prueba positiva: desarrollo de un anillo de color rojo.
Prueba negativa: sin cambio de color.
v) Caldo RM-VP
Inocular un tubo con el medio.
Incubar 48 ± 2 h a 35 ± 2ºC para la prueba de VP y 96 h para la prueba RM.
vi) Prueba de Voges-Proskauer (VP)
Transferir a un tubo un ml del cultivo de 48 h.
Adicionar 0,6 ml de solución de alfa naftol.
Adicionar 0,2 ml de solución de hidróxido de potasio 40%.
Adicionar algunos cristales de creatinina (opcional).
Interpretar los resultados después de incubar 2 h a 35 ± 2ºC o 4 h a temperatura ambiente.
Prueba positiva: desarrollo de color rojo ladrillo.
Prueba negativa: sin cambio de color.
Reincubar el resto del medio RM-VP 48 h más a 35 ± 2ºC.
viii) Prueba de rojo de metilo (RM)
Adicionar al medio de cultivo de 96 h de incubación de dos a tres gotas de solución de rojo de metilo.
Interpretar los resultados inmediatamente.
Prueba positiva: desarrollo de color rojo.
Prueba negativa: desarrollo de color amarillo.
ix) Caldo malonato
Inocular un tubo conteniendo el medio.
Incubar 40 ± 2 h a 35 ± 2ºC.
Prueba positiva: desarrollo de color azul.
Prueba negativa: sin cambio de color.
x) Caldo manitol
Inocular un tubo conteniendo el medio.
Incubar 24 ± 2 h a 35 ± 2ºC.
Prueba positiva: desarrollo de color amarillo.
Prueba negativa: sin cambio de color.
xi) Consultar los resultados obtenidos en el cuadro 2 para la identificación de los géneros de las bacterias investigadas.
Nota: los sistemas bioquímicos comerciales validados pueden ser usados como alternativa para las pruebas bioquímicas convencionales.
4.4.6 Cálculo y expresión de resultados
4.4.6.1 Interpretación de reacciones bioquímicas y serológicas.
CUADRO 1
| Reacciones bioquímicas | Reacciones serológicas | Interpretación |
| Típica | Antígeno O, Vi o H positivo | Cepas consideradas como Salmonella |
| Típica | Todas las reacciones negativas | |
| Típica | No probada | Puede ser Salmonella |
| Reacciones atípicas | Antígeno O, Vi o H positivo | |
| Reacciones atípicas | Todas las reacciones negativas | No debe ser considerada Salmonella |
Nota: ver figura 1
CUADRO 2
| Prueba o sustrato | Positivo | Negativo | Reacción |
| Glucosa (TSI) | Amarillo | Rojo | + |
| Lisina descarboxilasa (LIA) | Púrpura | Amarillo | + |
| H2S (TSI y LIA) | Negro | No negro | + |
| Ureasa | Rojo- púrpura | No hay cambio de color | - |
| Caldo de lisina descarboxilasa | Púrpura | Amarillo | + |
| Caldo dulcitol rojo de fenol | Amarillo o gas | No hay cambio de color ni gas | + b |
| Caldo KCN | Crecimiento | No hay crecimiento | - |
| Caldo malonato | Azul | No hay cambio de color | - c |
| Prueba de indol | Superficie color violeta | Superficie color amarillo | - |
| Prueba del antígeno flagelar | Aglutinación | No hay aglutinación | + |
| Prueba del antígeno somático | Aglutinación | No hay aglutinación | + |
| Caldo lactosa rojo fenol | Amarillo o gas | No hay cambio de color ni gas | - c |
| Caldo sacarosa rojo fenol | Amarillo o gas | No hay cambio de color ni gas | - |
| Prueba Voges- proskauer | De rosa a rojo | No hay cambio de color | - |
| Prueba rojo de metilo | Rojo difuso | Amarillo difuso | + |
| Citrato de Simmons | Crecimiento color azul | No hay crecimiento, no hay cambio de color | v |
a +, 90% o más positivos en 1 o 2 días; -, 90% o más negativas en 1 o 2 días; v, variable.
b La mayoría de los cultivos S. arizonae son negativos.
c La mayoría de los cultivos S. arizonae son positivos.
4.4.6.2 Informe de resultados
Informar: presencia o ausencia de Salmonella en __________ g o ____________ ml de muestra.
Figura 1
DIAGRAMA DE FLUJO PARA LA IDENTIFICACION DE SALMONELLA
4.5 Método para la determinación de Staphylococcus aureus en productos objeto de esta norma
4.5.1 Introducción
El crecimiento de Staphylococcus aureus en alimentos tiene gran importancia por tratarse de un microorganismo capaz de producir una poderosa enterotoxina que al ingerirse causa intoxicaciones alimentarias.
Entre las razones para determinar el Staphylococcus aureus en alimentos están:
Confirmar la presencia de este microorganismo como agente causal de una enfermedad de origen alimentario.
Determinar si un alimento o ingrediente es fuente potencial de este microorganismo enterotoxigénico.
Demostrar la contaminación postproceso la cual es usualmente debida a contacto humano o con superficies inadecuadamente sanitizadas.
Los alimentos sujetos a contaminación postproceso con tipos enterotoxigénicos de Staphylococcus aureus representan un riesgo por la ausencia de flora competitiva que normalmente restringe el crecimiento del Staphylococcus aureus y la producción de enterotoxinas.
Este tipo de alimentos se vuelven más peligrosos, si además son sujetos a un inadecuado manejo o son mantenidos a temperaturas de conservación inapropiadas.
Los alimentos perecederos tales como: carnes crudas y procesadas, ensaladas, productos de pastelería y productos de leche, son los más comúnmente asociados con intoxicación estafilocóccica.
4.5.2 Fundamento
Este método permite hacer una estimación del contenido de Staphylococcus aureus en alimentos, se efectúa directamente en placas de medio de cultivo selectivo y diferencial, con la confirmación mediante las pruebas de coagulasa y termonucleasa.
Este método es adecuado para el análisis de alimentos en los cuales se esperen más de 100 células de Staphylococcus aureus por g.
4.5.3 Reactivos y materiales
En caso de disponerse de fórmulas comerciales deshidratadas, para su preparación se deben seguir las instrucciones impresas en la etiqueta respectiva.
Cuando se mencione agua debe entenderse que se trata de "agua destilada".
Los reactivos a emplear en el método objeto de esta norma deben ser grado analítico.
4.5.3.1 Reactivos
i) Soluciones diluyentes
Solución reguladora de fosfatos (Solución concentrada)
| Fórmula |
| Ingredientes | Cantidad |
| Fosfato monopotásico | 34,0 g |
| Agua | I,0 l |
Preparación
Disolver el fosfato en 500 ml de agua y ajustar el pH a 7,2 con solución de hidróxido de sodio 1 N, aforar con agua a 1 l.
Esterilizar durante 15 min a 121ºC ±1, conservar en refrigeración (solución concentrada).
Tomar 1,25 ml de la solución concentrada y llevar a 1 l con agua (solución de trabajo).
Distribuir en porciones de 99, 90 y 9 ml según se requiera.
Esterilizar a 121ºC ±1 durante 15 min.
Después de la esterilización, los volúmenes finales y el pH de la solución de trabajo deben ser iguales a los iniciales.
Agua peptonada
| Fórmula |
| Ingredientes | Cantidad |
| Peptona | 1,0 g |
| Cloruro de sodio | 8,5 g |
| Agua | 1,0 l |
Preparación
Disolver los componentes en un litro de agua.
Ajustar el pH a 7,0 con solución de hidróxido de sodio 1N.
Distribuir en porciones de 99, 90 y 9 ml según se requiera.
Esterilizar a 121ºC ±1 durante 15 min.
Después de la esterilización los volúmenes finales y el pH de la solución de trabajo deben ser iguales a los iniciales.
ii) Medios de cultivo
iii) Medio de Baird-Parker
| Fórmula |
| Ingredientes | Cantidad |
| Medio base Punto iv) del numeral 4.5.3.1 | 95,0 ml |
| Solución de telurito de potasio Punto v) del numeral 4.5.3.1 | 1,0 ml |
| Emilsión de yema de huevo Punto vi) del numeral 4.5.3.1 | 5,0 ml |
Preparación
Cuando el medio base esté a 45ºC, agregar los demás ingredientes y mezclar.
Colocar de 15 a 20 ml del medio completo, enfriar y dejar solidificar.
Las placas pueden almacenarse por 48 h a temperatura de 0 a 5ºC.
iv) Medio base de Baird-Parker
| Fórmula |
| Ingredientes | Cantidad |
| Tripona | 10 g |
| Extracto de levadura | 1,0 g |
| Extracto de carne | 5,0 g |
| Glicina | 12,0 g |
| Cloruro de litio | 5,0 g |
| Piruvato de sodio | 10,0 g |
| Agar | 20,0 g |
| Agua | 1,0 l |
Preparación
Disolver los ingredientes o el agar base en agua y calentar con agitación constante y hervir durante 1 min. Esterilizar a 121ºC ±1 durante 15 min.
Enfriar y mantener el medio a 45ºC.
v) Solución de telurito
| Fórmula |
| Ingredientes | Cantidad |
| Telurito de potasio | 1,0 g |
| Agua | 100,0 ml |
Preparación
Disolver el telurito de potasio en agua y esterilizar.
La solución puede ser almacenada por varios meses a temperatura de 0 a 5ºC.
vi) Emulsión de yema de huevo
Preparación
Lavar con agua y jabón los huevos frescos que sean necesarios y limpiarlos con una solución de tintura de yodo (solución alcohólica al 2%) o sumergirlos en solución de cloruro mercúrico (1:1000). Enjuagar con agua estéril y secar con gasa estéril.
En campana de flujo laminar o en condiciones asépticas, abrir los huevos y vaciarlos en un separador de claras estéril. Transferir las yemas a una probeta hasta un volumen de 60 ml y completar a 90 ml con solución salina isotónica.
Verter la emulsión a un matraz Erlenmeyer con perlas de vidrio estéril y agitar fuertemente para formar la emulsión.
Filtrar a través de gasa.
Las placas deben utilizarse dentro de las 48 h siguientes a su preparación.
vii) Solución salina isotónica
| Fórmula |
| Ingredientes | Cantidad |
| Cloruro de sodio | 0,85 g |
| Agua | 100,0 ml |
Preparación
Disolver el ingrediente en agua y esterilizar a 121ºC ±1 durante 15 min.
vii) Caldo de infusión cerebro-corazón (BHI)
| Fórmula |
| Ingredientes | Cantidad |
| Infusión de cerebro de ternera | 200,0 ml |
| Infusión de corazón de res | 250,0 ml |
| Peptona de gelatina | 10,0 g |
| Cloruro de sodio | 5,0 g |
| Fosfato disódico dodecahidratado | 2,5 g |
| Glucosa | 2,0 g |
| Agua | 1,0 ml |
Preparación
Disolver los ingredientes en agua y calentar ligeramente si es necesario.
Distribuir y esterilizar durante 15 min a 121ºC ±1.
iv) Acido desoxirribonucleico helicoidal de timo de ternera.
| Fórmula |
| Ingredientes | Cantidad |
| Acido desoxirribonucléico helicoidal de timo de ternera o equivalente | 0,03 g |
| Agar | 1,0 g |
| Cloruro de calcio anhídro (solución 0,01 M) (punto x del numeral 4.5.3.1) | 0,10 ml |
| Cloruro de sodio | 1,0 g |
| Azul de toluidina (solución 0,1 M) (punto x i del numeral 4.5.3.1) | 0,30 ml |
| Tris-(hidroximetil-aminometano) (Tris solución 0,05 M, pH 9) (punto xii del numeral 4.5.3.1) | 100 ml |
Preparación
Disolver los ingredientes, excepto el azul de toluidina agitando hasta completar la disolución del ácido desoxirribonucleico y calentar a ebullición.
Agregar el azul de toluidina. Distribuir en frascos pequeños con tapón de hule. No es necesario esterilizar.
Este medio es estable a temperatura ambiente hasta 4 meses y funciona perfectamente aun después de fundirlo varias veces.
Tomar un porta objetos limpio y agregar 3 ml del medio fundido esparciéndolo por la superficie.
Cuando el agar solidifique, hacer orificios con la punta de una pipeta Pasteur.
Conservar en refrigeración para evitar la deshidratación.
x) Solución de cloruro de calcio anhidro 0,01 M
Cloruro de calcio PM = 110,99
Disolver 0,1199 g de cloruro de calcio en 100 ml de agua.
xi) Solución de azul de toluidina 0,1 M
Disolver 3,05 g de azul de toluidina en 100 ml de agua.
xii) Solución amortiguadora 0,05 M Tris-(hidroximetilaminometano)
(Tris pH 9) PM = 121,1
Disolver 6,055 g de Tris en 100 ml de agua.
xii) Reactivo biológico:
Plasma de conejo
Emplear plasma deshidratado o rehidratado de conejo siguiendo las instrucciones del fabricante y agregar ácido etilendiaminotetracético (EDTA) en solución al 0,1% en plasma rehidratado. Si se utiliza plasma deshidratado diluir con agua estéril en proporción de 1:3.
Puede emplearse plasma de conejo liofilizado adicionado de EDTA. No debe emplearse sangre citratada.
4.5.3.2 Materiales
Todos los instrumentos que se utilicen para trabajar la muestra deben esterilizarse mediante horno, durante 2 h de 170-175ºC o como alternativa en autoclave durante 15 min como mínimo a 121ºC ±1.
Cuchillos, pinzas, tijeras, cucharas, espátulas y separador de huevo.
Tubos de cultivo de 16 mm x 150 mm o frascos de 125 a 250 ml de capacidad.
Tubos de cultivo de 10 mm x 75 mm.
Cajas Petri de 90 a 100 mm de diámetro.
Pipetas bacteriológicas de 1 ml y 10 ml de capacidad graduadas en 0,1 ml y 1 ml respectivamente y diámetro de 2 a 3 mm.
Pipetas Pasteur.
Probetas.
Varillas de vidrio de 3,5 mm de diámetro aproximadamente y 20 cm de largo dobladas en ángulo recto.
Matraz Erlenmeyer con perlas de vidrio
Cámara húmeda: consiste en una caja Petri en la cual se coloca una varilla de vidrio en forma de "V" rodeada de algodón humedecido con agua.
4.5.4 Aparatos
Horno para esterilizar que alcance 180°C.
Autoclave con termómetro.
Baño de agua con regulador de temperatura de 35 ± 0,5ºC.
Baño de agua con regulador de temperatura de 45 ± 0,5ºC.
Balanza con capacidad no mayor de 2,500 g y sensibilidad de 0,1 g.
Incubadora a 35 ± 1ºC.
4.5.5 Preparación de la muestra
La preparación de la muestra se debe realizar de acuerdo a lo establecido en B.6.1 "Preparación y Dilución de Muestras de Alimentos para su Análisis Microbiológico".
4.5.6 Procedimiento
4.5.6.1 Utilizando diferentes pipetas de 1 ml para cada dilución, depositar 0,1 ml sobre la superficie de las placas de agar Baird-Parker.
4.5.6.2 Distribuir el inóculo sobre la superficie del agar con varillas estériles de vidrio en ángulo recto, utilizando una para cada dilución.
4.5.6.3 Mantener las placas en su posición hasta que el inóculo sea absorbido por el agar.
4.5.6.4 Invertir las placas e incubar de 45 a 48 h a 35ºC.
4.5.6.5 Seleccionar las placas que tengan entre 15 y 150 colonias típicas de Staphylococcus aureus; si no es posible, seleccionar las placas de las diluciones más altas no obstante tengan más de 150 colonias.
4.5.6.6 Cuando las placas tengan menos de 15 colonias típicas también pueden ser utilizadas y al informe se debe agregar la nota de "valor estimado".
4.5.6.7 Las colonias típicas son negras, circulares, brillantes, convexas, lisas, de diámetro de 1 a 2 mm y muestran una zona opaca y un halo claro alrededor de la colonia.
4.5.6.8 Seleccionar las colonias de acuerdo con el siguiente cuadro para realizar las pruebas de coagulasa y termonucleasa:
CUADRO
| Número de colonias sospechosas en caja | Número de colonias por probar |
| Menos de 50 | 3 |
| 51 a 100 | 5 |
| 101 a 150 o más | 7 |
4.5.6.9 Seleccionar el número de colonias y sembrar cada una en tubos con 0,5 ml de caldo de infusión cerebro-corazón.
4.5.6.10 Incubar a 35ºC durante 24 h.
4.5.6.11 Inocular en la misma forma cepas conocidas de Staphylococcus aureus y Staphylococcus epidermidis como testigos positivo y negativo.
4.5.6.12 Después del periodo de incubación pasar con una pipeta de 1 ml, 0,3 ml de cada cultivo a otro tubo de 10 mm x 75 mm y conservarlo para la prueba de termonucleasa. El resto del cultivo se usa para la prueba de coagulasa.
4.5.6.13 Prueba de coagulasa
i) Agregar a los 0,2 ml del cultivo anterior, 0,2 ml de plasma de conejo diluido volumen a volumen con solución salina estéril.
ii) Incubar en baño de agua de 35 a 37ºC y observar durante 6 h a intervalos de 1 h; si no hay formación de coágulo, observar a las 24 h. Considerar positiva la prueba si hay formación de coágulo.
Para comprobar la coagulabilidad del plasma de conejo se añade una gota de cloruro de calcio al 5% a 0,5 ml de plasma reconstituido empleado, formándose un coágulo en 10-15 seg.
4.5.6.14 Prueba de termonucleasa
i) Calentar durante 15 min, 0,3 ml de cultivo en caldo de infusión cerebro-corazón en baño de agua hirviendo.
ii) Pasar una gota de cada cultivo por medio de una pipeta Pasteur a un orificio del medio, incluye testigo.
iii) Incubar a 35ºC en cámara húmeda de 4 a 24 h.
iv) La aparición de un halo color rosa extendido de por lo menos 1 mm alrededor de la perforación se califica como positiva.
4.5.7 Cálculo y expresión de resultados
4.5.7.1 Cálculo
Hacer el cálculo del contenido de microorganismos en el producto tomando en cuenta el número de colonias totales, el número de colonias confirmadas, la dilución y el volumen inoculado (0,1 ml).
Ejemplo 1:
Si la caja tiene 80 colonias en la dilución 1:1000
Se toman 5 colonias para la prueba, de éstas dan 4 positivas, el cálculo es:
80 x 4 = 64 x 1000 x 10 = 640 000
5
Ejemplo 2:
Si la caja tiene 14 colonias en la dilución 1:10
Se toman 3 colonias para la prueba, de éstas dan 2 positivas, el cálculo es:
14 x 2 = 9,3 x 10 x 10 = 930
3
4.5.7.2 Expresión de los resultados:
Según ejemplo 1:
Informar como Staphylococcus aureus 640 000 UFC/g
Según ejemplo 2:
Informar como Staphylococcus aureus 930 UFC/g valor estimado
Si las pruebas confirmativas resultan negativas en todas las colonias probadas, informar como:
0 UFC/g en muestras directas
-10 UFC/g en muestras de dilución 1:10
-100 UFC/g en muestras de dilución 1:100
En la práctica los resultados pueden variar, esto dependerá del técnico que trabaje el método y el grado de confiabilidad del mismo, que en el 95% de los casos es de ± 16% a ± 52%.
4.6 Método para la cuenta de mohos y levaduras en alimentos
4.6.1 Fundamento
El método se basa en inocular una cantidad conocida de muestra de prueba en un medio selectivo específico, acidificado a un pH 3,5 e incubado a una temperatura de 25 ± 1°C, dando como resultado el crecimiento de colonias características para este tipo de microorganismos.
4.6.2 Reactivos y materiales
4.6.2.1 Reactivos
Los reactivos que a continuación se mencionan deben ser de grado analítico y cuando se indique agua debe entenderse como agua destilada.
i) Medios de cultivo.
Agar papa-dextrosa, comercialmente disponible en forma deshidratada.
Preparación del medio de cultivo.
Seguir instrucciones del fabricante y después de esterilizar, enfriar en baño de agua a 45 ± 1°C, acidificar a un pH de 3,5 ± 0,1 con ácido tartárico estéril al 10% (aproximadamente 1,4 ml de ácido tartárico por 100 ml de medio). Después de adicionar la solución, mezclar y medir el pH con potenciómetro. Dejar solidificar una porción del medio. Hacer esto en cada lote de medio preparado. A fin de preservar las propiedades gelificantes del medio, no calentar después de agregar el ácido tartárico.
4.6.2.2 Soluciones.
i) Solución reguladora de fosfatos (solución concentrada)
| Fórmula |
| Ingredientes | Cantidades |
| Fosfato de potasio monobásico | 34,0 g |
| Agua | 1,0 l |
Preparación:
Disolver el fosfato en 500 ml de agua y ajustar el pH a 7,2 con hidróxido de sodio 1 N.
Llevar a 1,0 l de agua.
Esterilizar a 121°C durante 15 minutos. Conservar en refrigeración (solución concentrada).
Tomar 1,25 ml de la solución concentrada y llevar a 1,0 l con agua (solución de trabajo).
Distribuir en porciones de 99, 90 y 9 ml según se requiera.
Esterilizar a 121 ± 1°C durante 15 minutos.
ii) Solución estéril de ácido tartárico al 10%
| Fórmula |
| Ingredientes | Cantidades |
| Acido tartárico | 10 g |
| Agua destilada | 100, ml |
Preparación:
Disolver el ácido en el agua y esterilizar a 121 ± 1,0°C por 15 minutos o por filtración a través de membrana de 0,45 ìm.
4.6.2.3 Materiales.
Pipetas bacteriológicas para distribuir 10 y 1 ml (o si es necesario de 1 ml y 2 ml), con tapón de algodón. Pueden utilizarse pipetas graduadas en volúmenes iguales a una décima de su volumen total.
Cajas Petri.
Frascos de vidrio de 250 ml con tapón de rosca.
Tubos de 16 x 150 mm con tapón de rosca.
Utensilios esterilizables para la obtención de muestras: cuchillos, pinzas, tijeras, cucharas, espátulas, etc.
Todo el material e instrumentos que tengan contacto con las muestras bajo estudio, deben esterilizarse mediante:
Horno, durante 2 h de 170 a 175°C o por 1h a 180°C o autoclave, durante 15 minutos como mínimo a 121 ± 1,0°C.
4.6.3 Aparatos e instrumentos
Horno para esterilizar que alcance una temperatura mínima de 170°C.
Incubadora con termostato que pueda ser mantenido a 25 ± 1,0°C provista con termómetro calibrado.
Autoclave que alcance una temperatura mínima de 121 ± 1,0°C.
Baño de agua con control de temperatura y circulación mecánica, provista con termómetro calibrado con divisiones de 0,1°C y que mantenga la temperatura a 45 ± 1,0°C.
Contador de colonias de campo oscuro, con luz adecuada, placa de cristal cuadriculada y lente amplificador.
Registrador mecánico o electrónico.
Microscopio óptico.
Potenciómetro con una escala mínima de 0,1 unidades de pH a 25°C.
4.6.4 Preparación de la muestra
La preparación de la muestra debe ser de acuerdo a lo señalado en el numeral 4.1 (Procedimiento para la preparación y dilución de muestras de alimentos para su análisis microbiológico) de este apéndice normativo.
4.6.5 Procedimiento
4.6.5.1 Colocar por duplicado en cajas Petri 1 ml de la muestra líquida directa o de la dilución primaria, utilizando para tal propósito una pipeta estéril.
4.6.5.2 Repetir el procedimiento tantas veces como diluciones decimales se requiera sembrar, utilizando una pipeta estéril diferente para cada dilución.
4.6.5.3 Verter de 15 a 20 ml de agar papa dextrosa acidificado, fundido y mantenido a 45 ± 1°C en un baño de agua. El tiempo transcurrido entre la preparación de la dilución primaria y el momento en que es vertido el medio de cultivo, no debe exceder de 20 minutos.
4.6.5.4 Mezclar cuidadosamente el medio con seis movimientos de derecha a izquierda, seis en el sentido de las manecillas del reloj, seis en el sentido contrario y seis de atrás para adelante, sobre una superficie lisa. Permitir que la mezcla se solidifique dejando las cajas Petri reposar sobre una superficie horizontal fría.
4.6.5.5 Preparar una caja control con 15 ml de medio, para verificar la esterilidad.
4.6.5.6 Invertir las cajas y colocarlas en la incubadora a 25 ± 1°C.
4.6.5.7 Contar las colonias de cada placa después de 3, 4 y 5 días de incubación. Después de 5 días, seleccionar aquellas placas que contengan entre 10 y 150 colonias. Si alguna parte de la caja muestra crecimiento extendido de mohos o si es difícil contar colonias bien aisladas, considerar los conteos de 4 días de incubación y aún de 3 días. En este caso, informar el periodo de incubación de 3 o 4 días en los resultados del análisis.
4.6.5.8 Si es necesario, cuando la morfología colonial no sea suficiente, examinar microscópicamente para distinguir las colonias de levaduras y mohos de las bacterias.
4.6.6 Expresión de resultados
Cálculo del Método
Considerar las cuentas de placas con 10 a 150 colonias como las adecuadas para el informe.
Multiplicar por el inverso de la dilución, tomando en consideración los criterios del numeral 4.2 de este apéndice (Método para la cuenta de bacterias aerobias en placa), para la expresión de resultados.
4.6.7 Informe de la prueba
Informar:
Unidades formadoras de colonias por gramo o mililitro (UFC/g o ml) de mohos en agar papa dextrosa acidificado, incubadas a 25 ± 1°C durante 5 días.
Unidades formadoras de colonias por gramo o mililitro (UFC/g o ml) de levaduras en agar papadextrosa acidificado, incubadas a 25 ± 1°C durante 5 días.
5 Método de prueba para la determinacion de cadmio, plomo, fierro y zinc en productos objeto de esta norma alimentos por espectrometría de absorcion atómica.
5.1 Introducción
La presencia de ciertos elementos químicos en alimentos, bebidas, agua potable y agua purificada, constituye un serio problema para la salud del hombre debido a su toxicidad.
5.2 Fundamento
El método de absorción atómica se basa en hacer pasar un haz de luz monocromática de una frecuencia tal que puede ser absorbido por el analito que se encuentra presente en forma de vapor atómico. La medida de la intensidad luminosa antes y después de su paso por el vapor atómico permite determinar el porciento de absorción.
La cantidad de absorción aumenta con la concentración de los átomos en el medio absorbente, es decir, la medida de la absorción aumenta con la concentración del elemento en la muestra, ya sea que esté en su condición original o sujeta a pretratamiento.
5.3 Reactivos y materiales
5.3.1 Reactivos
Soluciones estándares de referencia certificadas de cada uno de los metales.
Agua, debe ser destilada deionizada, con un grado máximo de conductividad de 1 µmho/cm a 25ºC.
Acido nítrico (densidad específica 1,41), grado suprapuro.
Acido nítrico (densidad específica 1,41), contenido de mercurio muy bajo.
Acido perclórico (densidad específica 1,67), grado suprapuro.
Acido clorhídrico (densidad específica 1,19), grado suprapuro.
Acido sulfúrico (densidad específica 1,84), grado suprapuro.
Acido sulfúrico 1 N a partir de la solución grado suprapuro.
Acido nítrico 65% v/v grado RA.
Peróxido de hidrógeno (densidad específica 1,12).
Hidróxido de sodio granalla reactivo RA.
Aire comprimido seco y limpio.
Gases: acetileno, óxido nitroso, argón y nitrógeno, grado absorción atómica.
Solución de Nitrato de Magnesio hexahidratado al 7% p/v. Disolver 70 g de Mg(NO3)2 .6H2O en 1000 ml de HCl 1 N.
Acido clorhídrico 1 N. Diluir 8,3 ml de HCl y llevar a 100 ml de agua.
Acido nítrico al 50% v/v. Diluir 50 ml de HNO3 al 65% v/v grado suprapuro en 50 ml de agua.
Acido clorhídrico 8 M. Diluir 66,0 ml de HCl y llevar a 100 ml con agua.
Acido clorhídrico 0,5 N. Diluir 4,15 ml de HCl y llevar a 100 ml con agua.
Solución de Yoduro de Potasio al 15% p/v. Disolver 15 g de KI en 100 ml de agua (esta solución debe prepararse en el momento de usarse).
Solución de Yoduro de Potasio al 20% p/v. Disolver 20 g de KI en 100 ml de agua (esta solución debe prepararse en el momento de usarse).
Solución de Cloruro de Potasio (10 mg/ml de K). Disolver 1,91 g de KCl en agua y diluir a 100 ml con agua.
Solución de Nitrato de Magnesio al 50% p/v. Disolver 50 g de Mg(NO3)2.6H2O en 100 ml de agua.
Solución de ácido clorhídrico al 1,5% p/v. Diluir 1,5 ml de HCl en 100 ml de agua destilada deionizada.
Solución de hidróxido de sodio al 1% p/v. Pesar 1 g de hidróxido de sodio y diluir a 100 ml con agua destilada deionizada.
Solución de borohidruro de sodio al 4% p/v en solución de hidróxido de sodio al 1% p/v. Pesar 4 g de borohidruro de sodio en 100 ml de una solución de hidróxido de sodio al 1% p/v. Filtrar al vacio.
Solución reductora para mercurio. Mezclar 50 ml de ácido sulfúrico concentrado con aproximadamente 300 ml de agua. Enfriar a temperatura ambiente y disolver 15 g de cloruro de sodio, 15 g de sulfato o cloruro de hidroxilamina y 25 g de cloruro o sulfato estanoso en solución. Diluir a 500 ml.
Solución de dilución para mercurio. En un matraz de 1 l, conteniendo de 300 a 500 ml de agua destilada deionizada, agregar 58 ml de ácido nítrico concentrado de muy baja concentración de mercurio y 67 ml de ácido sulfúrico concentrado. Diluir al volumen con agua.
Solución de trabajo de As de 1 µg/ml. Diluir 1 ml de la solución patrón de 1000 µg/ml a 1 l con ácido sulfúrico 1N preparada a partir de la solución grado suprapuro. Preparar fresca cada día.
5.3.2 Materiales
Matraces Kjeldahl de 500 ml y 800 ml.
Sistema de reflujo con refrigerante.
Crisoles Vycor de 40 a 50 ml de capacidad.
Crisoles de platino de 40 a 50 ml de capacidad.
Matraces Erlenmeyer de diferentes capacidades.
Matraces volumétricos de diferentes capacidades.
Matraces redondos de fondo plano de 50 ml.
Bombas Parr.
Micropipetas o pipetas de Eppendorf de diferentes capacidades.
Puntas de plástico para micropipetas.
Papel filtro Whatman No. 2.
Perlas de ebullición.
Varillas de plástico.
Tubos de ensayo graduados de propilen o propileno de 15 ml.
Recipientes de propilen o propileno.
Embudos de filtración de diferentes capacidades.
Material común de laboratorio.
Todo el material utilizado debe someterse a lavado de acuerdo con las siguientes instrucciones.
El jabón que se use debe ser de preferencia neutro.
Enjuagar perfectamente con agua corriente.
Sumergir el material de vidrio o plástico en un recipiente (de preferencia plástico) que contenga una solución de ácido nítrico grado RA al 30 %.
Dejarlo tapado y reposando por un lapso de 24 horas.
Quitar el exceso de ácido nítrico con varios enjuagues (5 o 6 veces) con agua deionizada.
Dejar escurrir y secar.
Guardar en cuanto esté seco para evitar contaminación por partículas en el aire.
5.4 Aparatos e instrumentos
5.4.1 Aparatos
Lámparas de cátodo hueco o de descarga sin electrodos para determinar arsénico, cadmio, cobre, estaño, fierro, mercurio, plomo y zinc.
Fuente de radiofrecuencia en caso de usar lámparas de descarga.
Automuestreador y recirculador de agua.
Placa de calentamiento con regulador que alcance una temperatura de 400 a 450ºC.
Horno de microondas.
Autoclave que alcance 121 ± 5ºC o 15 lb de presión.
Centrífuga de laboratorio capaz de mantener 1600 rpm.
5.4.2 Instrumentos
Los instrumentos que a continuación se indican deben estar calibrados y ajustados antes de su operación.
Espectrómetro de absorción atómica equipado con los accesorios para flama, horno de grafito, generador de hidruros o vapor frío, dependiendo del método a seguir.
Balanza analítica con sensibilidad de 0,1 mg.
Mufla capaz de mantener una temperatura de 550 ± 10ºC.
Horno de calentamiento (estufa) con intervalo de temperatura de 120 ± 5ºC.
5.5 Preparación de la muestra
5.5.1 Digestión para la determinación de Cd, Fe, Pb y Zn.
5.5.1.1 Digestión por vía húmeda.
i) Pesar con precisión de ± 0,1 mg, una cantidad apropiada de muestra.
Para la determinación por el método de absorción por flama pesar como máximo 20 g de alimentos que contengan del 50 al 75% de agua y 10 g de alimentos sólidos o semisólidos. Limite el contenido de grasa o aceite a un máximo de 4 g y el total de materia orgánica a 5 g.
ii) Añadir 10 ml de ácido nítrico concentrado y dejar reposar toda la noche o iniciar directamente la digestión.
iii) Usar matraz de Kjeldhal o matraz conectado al sistema de refrigerantes.
iv) Calentar suavemente.
v) Digerir la muestra 3 horas o más tiempo si es necesario (algunas muestras requieren la adición de mayor cantidad de ácido nítrico) hasta la aparición del color traslúcido, si queda ámbar, adicionar peróxido de hidrógeno gota a gota con agitación continua (reacción exotérmica).
vi) Enfriar.
vii) Recuperar, filtrar y llevar a un volumen conocido en matraz volumétrico.
viii) Correr un blanco de reactivos y muestra fortificada por cada serie de digestión.
ix) Leer en el aparato de elección (espectrómetro de absorción atómica por flama u horno de grafito).
5.5.1.2 Digestión por vía seca.
i) Pesar con precisión de ± 0,1 mg, una cantidad apropiada de muestra.
Para la determinación por el método de absorción por flama pesar como máximo, 20 g de alimentos que contengan del 50 al 75% de agua y 10 g de alimentos sólidos y semisólidos. Limite el contenido de grasa o aceite a un máximo de 4 g y el total de materia orgánica a 5 g.
ii) Añadir 10 ml de ácido nítrico concentrado y dejar reposar toda la noche o iniciar directamente la digestión. En productos con alta concentración de proteínas adicionar una solución de nitrato de magnesio al 7,0% p/v y mezclar completamente, llevar a sequedad aproximadamente durante 6 horas en estufa a una temperatura de 90 a 95ºC.
iii) Colocar la muestra en una mufla y elevar la temperatura lentamente de 2 a 4ºC por minuto hasta 350°C. Mantener la temperatura hasta que cesen los humos.
iv) Elevar gradualmente la temperatura de 500 a 550ºC para evitar que la muestra se incinere y mantener esa temperatura durante 16 horas o toda la noche.
v) Apagar la mufla y dejar enfriar.
vi) Un segundo paso de calcinación puede ser requerido para remover algunos residuos de carbón, mediante el siguiente procedimiento:
Lavar las paredes del crisol con 2 ml de ácido nítrico al 50%. Colocar la muestra en una placa de calentamiento puesta a 120ºC para remover el exceso de ácido. Colocar la muestra en una mufla fría y elevar la temperatura gradualmente de 500 a 550ºC, manteniéndola por el tiempo necesario. Repetir este procedimiento cuantas veces sea necesario hasta que quede libre de carbón remanente.
vii) Disolver las cenizas completamente en 5 ml de ácido clorhídrico 1N, transferir la muestra disuelta a un tubo de propileno o a un matraz de volumen conocido, enjuagar el crisol con dos alícuotas de 5 ml de ácido clorhídrico 1 N y transferir al mismo tubo o matraz para obtener un volumen de 15 ml en el primero y llevar al aforo en el segundo, tapar y mezclar, si existe presencia de partículas o materia insoluble, filtrar en papel Whatman No. 2, antes de la determinación.
viii) Correr un blanco de reactivos y muestra fortificada por cada serie de digestión.
ix) Leer en el aparato de elección (espectrómetro de absorción atómica: flama u horno de grafito).
5.5.2 Digestión para la determinación de Cd, Pb, Fe y Zn por horno de microondas.
Pesar con precisión de ± 0,1 mg, 0,500 g como máximo de muestra, añadir 6 ml de ácido nítrico concentrado y 2 ml de agua oxigenada al 30%, cerrar perfectamente el envase de reacción y proceder según el manual del fabricante.
5.6 Procedimiento
5.6.1 Espectrometría de absorción atómica por flama.
5.6.1.1 Calibración. Es necesario comprobar que se tiene una calibración inicial y periódica aceptable.
i) Se inicia la configuración operacional del instrumento y en el sistema de adquisición de datos. Permitir un periodo no menor a 30 minutos para el calentamiento de las lámparas de descarga sin electrodos.
ii) Se debe verificar la estabilidad del instrumento mediante el análisis de una solución estándar 20 veces más concentrada que el límite de detección del instrumento (LDI) para el analito, leída un mínimo de cinco veces y calculando la desviación estándar resultante, la cual debe ser menor al 5%.
iii) El instrumento debe calibrarse para el analito a determinar usando el blanco de calibración y los estándares de calibración preparados a 3 o 4 niveles de concentración dentro del intervalo dinámico de concentración del analito.
iv) Ajustar el instrumento a 0 con el blanco de calibración. Introducir los estándares de calibración del analito de menor a mayor concentración y registrar al menos tres réplicas de la absorbancia de cada uno.
v) Elaborar una curva de calibración graficando absorbancia en función de la concentración. Lo anterior puede llevarse a cabo en equipos que se programan directamente, en los cuales sólo es necesario introducir los estándares y marcar su concentración teórica.
5.6.1.2 Operación del instrumento.
El desempeño del instrumento se verifica mediante el empleo de blancos de calibración, estándares de calibración y una muestra de control de calidad (MCC).
i) Después de que se ha realizado la calibración, se debe verificar que el instrumento trabaje adecuadamente para el analito. Para ello se analiza una muestra de control de calidad. Si las mediciones varían en ± 10% o más, al valor establecido para la MCC, el análisis debe interrumpirse y buscar la posible causa de error, el instrumento se debe recalibrar y verificar la nueva calibración.
ii) Para verificar que el instrumento no presenta deriva, por cada 10 análisis se debe analizar el blanco de calibración. Si el valor verdadero del analito difiere ± 10% o más, el instrumento debe recalibrarse. Si el error persiste debe identificarse el problema y corregirse.
Si la matriz de la muestra es responsable de la deriva o afecta la respuesta del analito puede ser necesario trabajar por adiciones estándar.
iii) La demostración de la operatividad inicial del instrumento se hace estableciendo los límites de detección del método (LDM) para el analito y el intervalo de calibración lineal. Para determinar el LDM se usa un blanco de reactivos fortificado con una concentración del analito equivalente de 2 a 5 veces el límite de detección estimado. Se hacen al menos 4 réplicas de lectura de absorbancia del blanco de reactivos fortificado procesado a través de todo el método analítico. Los LDM se calculan de acuerdo a:
LDM= t x s
t = valor de la "T" de Student a un intervalo de confianza de 99% y una desviación estándar estimada.
para n-1 grados de libertad. t = 3,14 para 7 réplicas.
s = desviación estándar de las réplicas del análisis.
El intervalo lineal de calibración se establece a partir de por lo menos 4 estándares de diferente concentración, uno de los cuales debe estar próximo al límite superior del intervalo lineal.
5.6.1.3 Determinación
i) Ajustar el instrumento de absorción atómica en las condiciones adecuadas para la determinación del analito de acuerdo a las indicaciones del manual del instrumento.
ii) Introducir el blanco de reactivos y la muestra a analizar y registrar los valores de absorbancia. Se debe analizar al menos un blanco de reactivos con cada grupo de muestras. Los valores obtenidos ponen de manifiesto la calidad de los reactivos usados y el grado de contaminación del laboratorio.
iii) En los equipos que pueden programarse, la lectura obtenida da directamente la concentración del elemento en las unidades de concentración utilizadas.
iv) Se debe analizar al menos un blanco de reactivos fortificado para cada grupo de muestras. Se calcula la exactitud como el porciento de recuperación (de acuerdo al punto vi del numeral 5.6.1.3).
v) Se debe fortificar al menos una muestra por grupo o el 10% de ellas lo que resulte mayor. La concentración añadida debe ser de aproximadamente 0,1 unidades de absorbancia.
vi) Se debe calcular el porciento de recuperación para el analito, de acuerdo a:
CM - C
R = -------------- x 100
CA
R = % recuperación
CM = Concentración de la muestra fortificada
C = Concentración de la muestra
CA = Concentración equivalente de analito añadido a la muestra.
Si la recuperación del analito en la muestra fortificada está fuera del intervalo previamente establecido y el blanco de reactivos fortificado está correcto, puede existir un problema relacionado con la matriz de la muestra. Los datos se deben verificar por el método de las adiciones estándar.
5.6.2 Espectrometría de absorción atómica por horno de grafito.
5.6.2.1 Calibración.
i) Proceder de acuerdo a los puntos i) al iv) del numeral 5.6.1.1
ii) Elaborar una curva de calibración graficando área de pico o altura máxima contra concentración del analito.
La calibración mediante el uso de una computadora o una calculadora basada en el ajuste sobre los datos de concentración respuesta es aceptada.
Lo anterior puede llevarse a cabo en equipos que se programan directamente, en los cuales sólo es necesario introducir los estándares y marcar su concentración teórica.
5.6.2.2 Operación del instrumento.
i) Proceder de acuerdo a los puntos i) a iii) del numeral 5.6.1.2
5.6.2.3 Determinación.
i) Ajustar el instrumento de absorción atómica en las condiciones adecuadas para la determinación del analito, de acuerdo a las recomendaciones del manual del instrumento.
El programa de temperaturas para el horno de grafito puede variar dependiendo de la matriz de la muestra. En el caso de existir interferencias no específicas (absorción molecular o dispersión de la luz), se recomienda consultar la bibliografía existente en cuanto a los métodos disponibles para eliminarlas, así como en el caso de interferencias de matriz.
5.6.3 Espectrometría de absorción atómica por generador de hidruros.
5.6.3.1 Calibración.
i) Proceder de acuerdo a los puntos i) a iv) del numeral 5.6.
ii) A partir de la solución estándar de As de 1000 mg/l, preparar una solución de As de 1 mg/l en ácido clorhídrico de concentración apropiada al método. Trazar una curva de calibración de absorbancia (máximo de la altura de pico) en función de la concentración del analito para un intervalo de concentración de 0 a 10 µg/l de As bajo las mismas condiciones de la matriz de la muestra.
5.6.3.2 Operación del instrumento.
i) Proceder de acuerdo a los puntos i) a iii) del numeral 5.6.1.2
5.7 Expresión de resultados
Método de cálculo.
Interpolar los valores de absorbancia o altura de pico de la muestra analizada en la curva de calibración y obtener los mg/kg del elemento en la muestra y realizar los cálculos empleando la siguiente fórmula:
A x B
mg/ kg = --------
C
en donde:
A = Concentración en mg/kg de la muestra a interpolar en la curva de calibración.
B = Volumen final al que se llevó la muestra (ml).
C = Peso de la muestra (g) o volumen de la muestra (ml) en el caso de agua.
En los equipos que pueden programarse, la lectura obtenida da directamente la concentración del elemento en mg/kg o µg/kg.
5.8 Informe de la prueba
Los resultados se informarán en mg/kg o µg/kg del elemento a determinar.
6 Determinación de Vitamina B1 y B2 por Cromatografía Líquida de Alta Resolución (HPLC)
6.1 Fundamento
La vitamina B1, es extraída de la muestra por hidrólisis ácida y oxidada a tiocromo, su contenido es determinado por HPLC en fase inversa con detección fluorométrica.
6.2 Reactivos y materiales
6.2.1 Reactivos
Acido clorhídrico fumante, 37% para análisis (HCl).
Acetato de sodio trihidratado, para análisis. (CH3 . CO2Na . 3H2O).
Acido orto-fosfórico PO4H3 (P2O5 . 3H2O).
Ferricianuro de potasio, para análisis Fe(CN)6K4 . 3H2O.
Hidróxido de sodio en lentejas, para análisis.
Monohidrato de tiamina (nitrato de tiamina, Vitamina B1 monohidratada), calidad alimentaria (C12H17N5O4S).
Papaína soluble.
Amilasa.
Diastasa.
N,N - Dimetilformamida HCON(CH3)2.
fosfato, ácido de-potasio, para análisis (K2HPO4 . 3H2O).
6.2.2 Materiales.
Matraces en forma de pera, 100 ml.
Tapones huecos hexagonales.
Matraces aforados, de vidrio de 1000, 100, 50 y 10 ml.
Embudos de vidrio de 100 mm de diámetro.
Matraces Erlenmeyer, de cuello estrecho, 250 ml.
Refrigerante, Allihn, manguito 300 mm.
Filtros plisados medianos 185 mm de diámetro.
Pipetas aforadas con una marca de 2, 3, 5 y 40 ml.
Pipetas graduadas hasta la punta de 1 ml: 0,005.
Probetas graduadas, en forma alta, de 50 ml: 0,5; 100 ml: 1,0 1000 ml: 10,0
Todo el material de vidrio debe ser actínico o forrado con papel aluminio.
6.2.3 Aparatos e instrumentos
Balanza analítica, 162 g, lectura 0,1 mg.
Balanza de precisión electrónica, 2100 g, lectura 0,01 g.
Baño de agua en línea con soportes, 6 plazas.
Estufa de laboratorio.
Jeringuilla para HPLC, de un 1 ml.
Aguja para jeringuilla.
Columna ODS o C 18, 5 µm, 250 X 4,6 mm; o equivalente.
Dispositivo de filtración sobre membrana.
Membrana para filtro.
6.4 Preparación de soluciones
6.4.1 Solución de ácido clorhídrico
En un matraz aforado de 1000 ml que contenga aproximadamente 500 ml de agua destilada, añadir con cuidado 82 ml de ácido clorhídrico al 37% y llevar a volumen con agua destilada. Trabajar en campana de extracción.
6.4.2 Solución de acetato de sodio 2,5 M.
En un matraz aforado de 1000 ml disolver 340 g de acetato de sodio trihidratado en agua destilada y llevar a volumen.
6.4.3 Hidróxido de sodio, solución de 150 g/l.
En un matraz aforado de 1000 ml, disolver 160 g de hidróxido de sodio en lentejas en agua destilada, llevar a volumen.
Conservar en un matraz provisto de un tapón de polietileno.
6.4.4 Solución de oxidación
6.4.4.1 Solución de ferricianuro de potasio 1g/100ml.
En un matraz aforado de 100 ml disolver, 1 g de ferricianuro de potasio en agua destilada y llevar a volumen.
6.4.4.2 Solución a preparar justo antes del uso
En un matraz aforado de 50 ml, llevar a volumen 2 ml de solución 6.4.4.1 con solución 6.4.3.
6.5 Fase móvil para HPLC
6.5.1 Solución de fosfato ácido de-potasio, 10 mM pH 7,2.
En un vaso de 1000 ml pesar exactamente 2,28 g de fosfato de-potasio, disolver en aproximadamente 800 ml de agua destilada. Ajustar el pH a 7,2 con ácido clorhídrico 1 N (6.4.1). Transvasar a un matraz aforado de 1000 ml y llevar a volumen con agua destilada. Degasificar bajo presión reducida y filtrar.
6.5.2 Solución de dimetilformamida al 15% en fosfato ácido de potasio.
En un matraz aforado de 1000 ml agregar 150 ml de dimetilformamida y llevar a volumen con solución 6.5.1
6.6 Solución patrón de vitamina B1
6.6.1 Solución concentrada
En un matraz aforado de 50 ml de vidrio, pesar exactamente 50,0 mg de monohidrato de tiamina y disolver en agua destilada. Añadir 5 ml de ácido clorhídrico 1 N (6.4.1) y llevar a volumen con agua destilada. Esta solución contiene 1 mg/ml.
6.6.2 Soluciones diluidas
En un matraz aforado de 50 ml, agregar mediante una pipeta, 5 ml de solución 6.6.1 y llevar a volumen con agua destilada. Luego verter mediante una pipeta, 5 ml de esta solución (100 µg/ml) en un matraz aforado de 50 ml y llevar a volumen con agua destilada. Esta solución contiene 10 µg/ml. Verter, mediante una pipeta, 5 ml de esta solución en un matraz aforado de 50 ml y llevar a volumen con agua destilada. Esta solución contiene 1 µg/ml.
6.6.3 Preparar de la misma manera solución concentrada de riboflavina y de manera subsecuente las soluciones diluidas. No es necesario utilizar matraces de vidrio.
6.6.4 Solución patrón oxidada para HPLC
Mediante una pipeta, verter 5 ml de solución 6.6.2 en un matraz aforado de 10 ml de vidrio. Añadir 3 ml de solución de ferricianuro de potasio básico (6.4.4.2). Agitar durante 2 minutos, añadir 0,45 ml de ácido fosfórico concentrado, mezclar, enfriar y llevar a volumen con agua destilada. Cromatografiar esta solución inmediatamente.
6.7 Procedimiento
La vitamina B1 no es sensible a la luz; en cambio el producto oxidado, el tiocromo, sí lo es. Durante la etapa de oxidación, utilizar material de vidrio actínico, o material de vidrio corriente protegido con papel aluminio.
6.7.1 Toma de ensayo
Homogeneizar toda la muestra, mezclando o moliendo y pesar con una aproximación de 10 mg, una toma de ensayo de 5 g.
Para la determinación de vitamina B2 adicionar 0,5 g de amilasa y 0,25 g de papaína, independientemente de si el producto contiene almidón o no.
6.7.1.1 Productos con almidón
En un matraz en forma de pera de 100 ml de vidrio con cuello esmerilado, mezclar la toma de ensayo con 0,5 g de diastasa y 0,25 g de papaína. Añadir máximo 15 ml de agua destilada de 45-50 °C. Mezclar bien, a fin de obtener una suspensión homogénea. Tapar el matraz y colocarlo durante 30 min en una estufa a 40 °C.
Añadir a continuación 30 ml de agua destilada de 45-50 °C.
6.7.2 Oxidación
En un matraz aforado de 10 ml de vidrio verter, mediante una pipeta, 5 ml de solución (6.7.2.1 o 6.7.2.2). Añadir 3 ml de solución de ferricianuro de potasio básico (6.4.4.2). Agitar durante 2 minutos. Añadir 0,45 ml de ácido fosfórico concentrado, mezclar, enfriar y llevar a volumen con agua destilada. Cromatografiar esta solución inmediatamente.
6.7.3 HPLC
Condiciones
| Columna: | ODS o C 18, 5 µm; 250 X 4,6 mm o equivalente |
| Loop de inyección: | 50 µl |
| Fase móvil: | ver punto B.6.5.2 |
| Caudal: | 1,5 ml/min |
| *Detector: espectrofluorímetro, excitación: | 368 nm |
| | emisión: 440 nm |
| Registrador: | 10 mm/min |
*Para la determinación de vitamina B2 se inyecta directamente del filtrado y se modifica la siguiente condición:
Detector: espectrofluorímetro; excitación: 450 nm y emisión: 530 nm
Inyectar primero 50 µl de solución patrón oxidada (B.7.6.4) y determinar el tiempo de retención: debe ser de aproximadamente 5-6 min. A continuación inyectar 50 µl de la solución obtenida B.7.7.3
6.8 Cálculo, expresión e interpretación de los resultados
6.8.1 Evaluación
Identificar el pico del tiocromo o de la riboflavina en el cromatograma de la toma de ensayo mediante el tiempo de retención definido por cromatografía de la solución patrón. Medir la altura de los picos obtenidos al cromatografiar la toma de ensayo y la solución patrón. El contenido de vitamina B1, expresado en mg por 100 g de producto, es igual a:
hp x C x V x 100
hs x m x1000
En donde:
m = masa de la toma de ensayo, en g
hp = altura del pico del extracto, en mm
hs = altura del pico de la solución patrón, en mm
C = concentración de la solución patrón, en µg/ml
V = volumen, en mililitros, en el cual se ha diluido el extracto antes del análisis por HPLC (200 para estos productos)
6.8.2 Repetibilidad
La diferencia entre dos resultados individuales obtenidos con la misma muestra para ensayo, en las mismas condiciones (analista, aparato, laboratorio) en un corto intervalo de tiempo, no debe exceder 10% de la media entre ambos resultados.
7 Determinación de Niacina. Método microbiológico
7.1 Fundamento
Este método permite cuantificar concentraciones desconocidas de niacina utilizando Lactobacillus plantarum ATCC 8014, microorganismo que no puede sintetizar esta vitamina, relacionando directamente el crecimiento celular con la concentración de niacina. Para preparar la muestra y la curva estándar se utiliza un medio libre de niacina y el crecimiento celular se cuantifica turbidimétricamente. Por interpolación en la curva se determina la concentración de la muestra.
7.2 Reactivos y materiales
7.2.1 Reactivos
Acido nicotínico para fines bioquímicos.
Acido clorhídrico fumante 37% para análisis.
Hidróxido de sodio en lentejas para análisis.
Cristales de cloruro de sodio para análisis.
7.2.2 Materiales
Micropipeta.
Vasos de precipitados.
Pipetas volumétricas.
Matraces Erlenmeyer.
Matraces volumétricos.
Tubos de ensaye.
7.3 Aparatos e instrumentos
Autoclave.
Incubadora a 35°C ± 1°C.
Espectrofotómetro.
Centrífuga.
7.4 Cepa y medios de cultivo
Lactobacillus plantarum ATCC 8014.
Leche descremada en polvo grado reactivo.
Caldo micro inoculum.
Agar bacteriológico.
Caldo Bacto Lactobacilli.
Medio de prueba para niacina.
7.4.1 Medio de mantenimiento de la cepa
Bacto Lactobacilli MRS-agar (MRS-agar)
Preparar 1 l de medio con 55 g de caldo Bacto Lactobacilli MRS + 15 g de agar bacteriológico según las indicaciones de la etiqueta del caldo MRS + 1,5% de leche descremada (reconstituida al 10% en agua destilada). Repartir a razón de 6 ml en tubos (de preferencia con tapón de rosca), esterilizar y enfriar en posición vertical.
Conservar en el refrigerador a 4°C.
7.4.2 Mantenimiento de la cepa
Inocular por punción Lactobacillus plantarum en profundidad en el medio 7.4.1 cada cuatro semanas, efectuar un cultivo intermedio de 18 h en el medio líquido 7.4.3. Preparar el número de tubos necesarios para el análisis y guardar por lo menos dos tubos para el mantenimiento de la cepa. Incubar durante 18 h a 35°C.
7.4.3 Medio de cultivo para el desarrollo del microorganismo
Caldo Micro Inoculum
Preparar 1 l de solución según las indicaciones de la etiqueta y repartir a razón de 10 ml en tubos. Tapar los tubos con capuchones y esterilizar según las indicaciones del fabricante. Conservar en el refrigerador a 4°C.
7.5 Preparación de soluciones
7.5.1 Solución fisiológica
Disolver 9 g de cloruro de sodio en 1000 ml de agua destilada. Repartir a razón de 10 ml en tubos, taparlos con capuchones y esterilizar durante 15 min a 121°C.
Conservar en el refrigerador a 4°C.
7.5.2 Solución de ácido clorhídrico aproximadamente 1 N
Bajo una campana de extracción diluir 82 ml de ácido clorhídrico al 37% llevándolos a un volumen de 1000 ml con agua destilada. Para ello verter el ácido en el matraz aforado que ya contiene agua.
7.5.3 Solución de Hidróxido de sodio 60 g/100 ml
Disolver 300 g de hidróxido de sodio en agua destilada, enfriando bajo agua del grifo. Completar a 500 ml en una probeta graduada. Conservar en un frasco con tapón de polietileno o de goma.
7.5.4 Solución de Hidróxido de sodio aproximadamente 1 N
Disolver 20 g de hidróxido de sodio en agua destilada y llevar a volumen en un matraz aforado de 500 ml
con tapón de polietileno.
7.5.5 Solución patrón
Justo antes del uso, pesar exactamente 50,0 mg de ácido nicotínico; disolver en agua destilada y llevar a volumen en un matraz aforado de 500 ml.
7.6 Procedimiento
7.6.1 Desarrollo del microorganismo
Un día antes subcultivar en 10 ml de caldo Micro Inoculum.
Incubar durante 18 h a 35°C.
Seis h antes de la inoculación del ensayo, inocular 2 gotas (aproximadamente 0,1 ml) del último cultivo de 18 h en otro tubo de 10 ml de caldo Micro Inoculum.
Incubar durante 6 h a 35°C.
7.6.2 Preparación de la toma de ensayo
En un matraz Erlenmeyer de 150 ml, pesar de 1 a 3 g de muestra homogénea, que contenga aproximadamente 200 µg de vitamina, añadir 50 ml de solución de ácido clorhídrico 1N en pequeñas cantidades pasando el matraz Erlenmeyer bajo el grifo de agua caliente después de cada adición.
Cubrir el matraz con papel de aluminio y colocarlo en el autoclave durante 15 min a 120°C. Enfriar.
Ajustar el pH a 4,6 añadiendo primero aproximadamente 3 ml de hidróxido de sodio de 60 g/100 ml mientras se enfría el matraz Erlenmeyer, y luego hidróxido de sodio 1 N. Transvertir cuantitativamente a un matraz aforado de 100 ml y llevar a volumen con agua destilada. Filtrar a través de un filtro plisado con velocidad de filtración media.
Diluir el filtrado de modo que se obtenga una solución de aproximadamente 0,05 µg de vitamina por ml.
7.6.3 Solución patrón, 0,05 µg/ml
Justo antes del uso diluir la solución 7.5.5 como sigue:
5 ml a 100 ml
10 ml a 100 ml
10 ml a 100 ml = 0,05 µg/ml
7.6.4 Medio de cultivo para el ensayo
Medio de prueba para niacina
Preparar el volumen necesario en un matraz Erlenmeyer de vidrio actínico de 100 ml. Proceder según las indicaciones de la etiqueta, calentando la solución en una parrilla con agitación magnética.
Cálculo del volumen necesario:
patrón: 30 tubos 30 x 5 ml = 150 ml
cada producto: 10 tubos 10 x 5 ml = 50 ml
+ 50 a 100 ml de exceso
7.6.5 Preparación del ensayo
7.6.5.1 Serie patrón
En un soporte metálico para tubos de ensaye, colocar tres filas de 10 tubos (180 x 18 mm), numerados bl, 0, ..., 8; el primero corresponde al blanco (bl).
Mediante una pipeta verter en triplicado en las tres series de tubos, volúmenes crecientes de la última dilución de la solución patrón, completar a 5 ml con agua destilada y mediante una bureta o una jeringa automática, añadir 5 ml de medio de cultivo para el ensayo según la tabla siguiente:
| Tubo No. | bi | 0 | 1 | 2 | 3 | 4 | 5 | 6 | 7 | 8 |
| Sol. Patrón | 0,0 | 0,0 | 0,25 | 0,5 | 0,75 | 1,0 | 1,5 | 2,0 | 2,5 | 3,0 |
| Agua | 5 | 5 | 4,75 | 4,5 | 4,25 | 4,0 | 3,5 | 3,5 | 3,5 | 2,0 |
| Medio de cultivo | 5 ml en cada tubo |
Los tubos del ensayo en blanco (bl) no se inoculan.
7.6.5.2 Serie producto
En otro soporte colocar dos filas de 10 tubos (180 x 18 mm). Los primeros cinco tubos de ambas filas van destinados a un producto, los otros cinco de ambas filas, a otro producto. Numerar de 9 a 13 y de 14 a 18, y así sucesivamente para todos los productos analizados.
Mediante un pipeta verter en duplicado en ambas series de cinco tubos, volúmenes crecientes de la última dilución de la solución de la muestra, completar a 5 ml con agua destilada y añadir 5 ml de medio de cultivo para el ensayo.
| Tubo No. | 9 | 10 | 11 | 12 | 13 |
| Sol. de la muestra: | 0,25 | 0,5 | 0,75 | 1,0 | 1,5 |
| Agua | 4,75 | 4,5 | 4,25 | 4,0 | 3,5 |
| Medio de cultivo | 5 ml en cada tubo |
Tapar los tubos con capuchones o mediante una tapa adecuada que cubra ambas filas de tubos en el soporte.
7.6.6 Esterilización del ensayo
Esterilizar los tubos durante 15 min a 115°C, luego enfriarlos en un baño de agua fría.
7.6.7 Inoculación
7.6.7.1 Preparación y estandarización del inóculo
Justo antes de inocular el ensayo, transvertir una cantidad suficiente del cultivo preparado bajo 7.6.1 a un tubo de centrífuga estéril, centrifugar a 2600 rpm durante 5 min, decantar y resuspender el paquete celular en 10 ml de solución salina. Hacer dos lavados más. Transvertir a una cubeta de 1 cm y efectuar la lectura en el espectrofotómetro a 575 nm. Estandarizar el cultivo a fin de obtener siempre aproximadamente la misma extinción. No debe olvidarse sustraer de la extinción del cultivo la del medio de ensayo, que es un medio coloreado.
Según la extinción, diluir "n" gotas del cultivo (7.6.1) en un tubo que contenga 10 ml de medio (7.6.4). Este tubo es el inóculo.
Así pues, para una extinción del cultivo (7.6.1) entre 0,2 y 0,4 (después de sustraer la extinción propia del medio), introducir de 4 a 8 gotas de cultivo en el tubo que contiene 10 ml de medio (7.6.4). Si la extinción no se encuentra en la zona arriba mencionada, adaptar la dilución como sigue:
- extinción inferior a 0,2: introducir proporcionalmente más gotas en el tubo (no más de 10 gotas).
- extinción superior a 0,4: introducir menos gotas o diluir proporcionalmente con el medio (7.6.4).
7.6.7.2 Inoculación
Mediante una micropipeta con punta estéril, inocular 0,1 ml del inóculo en cada tubo de las series patrón y producto. Los tubos del blanco (bl) no se inoculan.
Después de inocular, agitar los tubos ligeramente a fin de repartir el microorganismo uniformemente en el medio.
7.6.8 Incubación
Incubar los tubos inoculados durante aproximadamente 16 h a 35°C. Observar los tubos con regularidad al cabo de las 16 h. Verificar si la diferencia de desarrollo del microorganismo es suficiente entre la primera y la última dilución de la solución patrón.
Si es necesario, prolongar la incubación hasta que se obtenga un crecimiento óptimo del microorganismo.
Después de la incubación se recomienda interrumpir el crecimiento del microorganismo simultáneamente en todos los tubos, colocándolos en un baño de agua fría.
7.6.9 Lecturas
Mediante un agitador para tubos de ensaye, poner en suspensión el depósito formado por el desarrollo del microorganismo. Transvertir la suspensión a un tubo o una cubeta óptica, según el fotómetro. Medir la transmitancia o absorbancia a 575 nm ajustando el 100% de T o a 0% de A del aparato con el blanco (bl).*
Agitar y leer un tubo después de otro, a fin de evitar la sedimentación del microorganismo.
* Nota: Si la determinación se hace en absorbancia buscar el equivalente de los valores de los ejemplos, dados en transmitancia.
7.7 Cálculos
7.7.1 Curva de calibración
Trazar la curva de calibración en papel milimétrico, o utilizar una calculadora con regresión lineal, llevando la lectura media de cada grupo de tres tubos a la ordenada y los µg de vitamina a la abscisa.
Ejemplo:
| Tubo | ml | mg | Lecturas | media No. |
| | | | 1 | 2 | 3 | |
| 0 | 0,0 | 0,0 | 88,7 | 88,6 | 88,2 | 88,5 |
| 1 | 0,25 | 0,0125 | 73,4 | 72,6 | 71,1 | 72,4 |
| 2 | 0,5 | 0,025 | 62,1 | 61,5 | 62,6 | 62,1 |
| 3 | 0,75 | 0,0375 | 53,3 | 53,2 | 55,5 | 54,0 |
| 4 | 1,0 | 0,050 | 47,3 | 48,0 | 49,1 | 48,1 |
| 5 | 1,5 | 0,075 | 36,8 | 37,7 | 40,5 | 38,3 |
| 6 | 2,0 | 0,10 | 31,0 | 45,6 | 39,5 | 35,3 |
| 7 | 2,5 | 0,125 | 30,5 | 27,2 | 27,2 | 28,3 |
| 8 | 3,0 | 0,15 | 29,0 | 24,8 | 24,0 | 25,9 |
Observaciones:
La curva de calibración es característica de cada vitamina. Es mejor cuanto mayor sea la parte que ocupa la escala de transmisión.
Repetir el ensayo cuando la curva de crecimiento esté mal desarrollada, esto puede deberse a la cepa o al medio de cultivo para el ensayo; que deben verificarse por separado.
7.7.2 Contenido de vitamina en el producto
La media de las lecturas de cada par de tubos permite leer en la curva de calibración la cantidad de vitamina y calcular su concentración en la última dilución de la muestra.
Ejemplo:
| Tubo | ml | Lecturas | media | mg* | mg/ ml No. |
| | | 1 | 2 | | | |
| 9 | 0,25 | (88) | 79,0 | 79,0 | 0,0145 | 0,058 |
| 10 | 0,5 | 59,2 | 58,2 | 58,7 | 0,0300 | 0,060 |
| 11 | 0,75 | 52,0 | 52,2 | 52,1 | 0,0413 | 0,055 |
| 12 | 1,0 | 43,8 | 45,8 | 44,8 | 0,0580 | 0,058 |
| 13 | 1,5 | 35,0 | 35,5 | 35,3 | 0,086 | 0,057 |
Media 0,0576 (c)
( ) = valor aberrante
* = valores leídos en la curva de calibración
Observación:
Fluctuaciones pequeñas en los valores de la última columna son prueba de un buen ensayo.
Calcular el contenido de vitamina en mg/100 g de producto, teniendo en cuenta las diluciones sucesivas y la concentración en la muestra diluida.
El contenido de vitamina, expresado en mg de ácido nicotínico por 100 g de producto es igual a:
C x V3 x V1 x 100
m x V2 x 1000
Donde:
C = media de las concentraciones leídas en la curva de calibración, en µg/ml
V1 = volumen en el que se ha disuelto la toma de ensayo, en ml
V2 = parte alícuota de V1 en ml
V3 = volumen al que se ha diluido la parte alícuota V2, en ml
m = toma de ensayo, en g
Ejemplo:
2,072 g (m) de producto se han pesado en un matraz aforado de 100 ml (V1). Se ha tomado una parte alícuota de 2 ml (V2), que se ha diluido en un matraz aforado de 100 ml (V3).
La media de las concentraciones de niacina leídas en la curva de calibración es 0,0576 µg/ml (C).
El contenido de vitamina es:
0,0576 x 100 x 100 x 100_ = 13,9 mg/100 g
2,072 x 2 x 1000
8 Determinación de ácido fólico. Método microbiológico.
8.1 Fundamento
Este método permite cuantificar ácido fólico utilizando Lactobacillus casei ATCC 7469, microorganismo que no puede sintetizar esta vitamina, relacionando directamente el crecimiento celular con la concentración de folato presente. Para preparar la muestra y la curva estándar se utiliza un medio comercial libre de folato.
El crecimiento celular se mide turbidimétricamente y por interpolación en la curva se determina la concentración en la muestra.
8.2 Reactivos y materiales
8.2.1 Reactivos
Cloruro de calcio fundido o granulado para análisis.
Fosfato diácido de potasio anhidro.
Fosfato ácido di-potásico anhidro.
Hidróxido de sodio en lentejas para análisis.
Cristales de cloruro de sodio para análisis.
Alcohol etílico absoluto.
-amilasa.
Lactosa.
8.2.2 Materiales
Matraz Erlenmeyer de vidrio de 250 ml.
Matraz aforado de vidrio de 100, 250 y 500 ml.
Tapones de vidrio.
Micropipetas.
Material común de laboratorio.
Todo el material de vidrio debe ser actínico o forrado con papel aluminio.
8.3 Aparatos e instrumentos
Autoclave.
Incubadora a 35°C ± 1°C.
Espectrofotómetro.
Centrífuga.
8.4 Cepa y medios de cultivo
Lactobacillus casei ATCC 7469.
Leche descremada en polvo grado reactivo.
Caldo Micro Inoculum.
Agar bacteriológico.
Caldo Bacto Lactobacilli MRS.
Medio de prueba para ácido fólico.
8.4.1 Medio de mantenimiento de la cepa.
Bacto Lactobacilli MRS-agar (MRS-agar).
Preparar 1 l de medio con 55 g de caldo Bacto Lactobacilli MRS + 15 g de agar bacteriológico, según las indicaciones de la etiqueta del caldo MRS + 1,5% de leche descremada (reconstituida al 10% en agua destilada). Repartir a razón de 6 ml en tubos (de preferencia con tapón de rosca), esterilizar y enfriar en posición vertical.
Conservar en el refrigerador a 4°C.
8.4.2 Mantenimiento de la cepa
Inocular por punción Lactobacillus casei en profundidad en el medio 8.4.1 cada cuatro semanas, efectuando un cultivo intermedio de 18 h en el medio líquido 8.4.3. Preparar el número de tubos necesarios para el análisis y guardar por lo menos dos tubos para el mantenimiento de la cepa.
Incubar durante 18 h a 35°C.
8.4.3 Medio de cultivo para el desarrollo del microorganismo
Caldo Micro Inoculum
Preparar 1 l de solución según las indicaciones de la etiqueta y repartir a razón de 10 ml en tubos. Tapar los tubos con capuchones y esterilizar según las indicaciones del fabricante.
Conservar en el refrigerador a 4°C.
8.5 Preparación de soluciones
8.5.1 Solución fisiológica
Disolver 9 g de cloruro de sodio en 1000 ml de agua destilada. Repartir a razón de 10 ml en tubos, taparlos con capuchones y esterilizar durante 15 min a 121°C.
Conservar en el refrigerador a 4°C.
8.5.2 Solución tampón pH 6,1
Disolver 2 g de hidróxido de sodio en agua destilada y llevar a volumen en un matraz aforado de 500 ml con tapón de polietileno.
8.5.3 Solución de cloruro de calcio, CaCl2, al 2%
Disolver 2 g de cloruro de calcio en agua destilada y completar a 100 ml en un matraz aforado.
8.5.4 Solución patrón
Pesar exactamente 50,0 mg de ácido fólico (ácido pteroilglutámico), disolver en agua destilada en un matraz aforado de vidrio de 500 ml, añadir 50 ml de NaOH 0,1 N, 100 ml de alcohol y llevar a volumen con agua destilada.
Conservar esta solución a 4°C durante máximo 6 meses.
8.6 Procedimiento
El ácido fólico es fotosensible. Por lo tanto, para todas las soluciones que contienen dicha vitamina se debe utilizar material de vidrio actínico o cubrir el material de vidrio corriente con papel de aluminio o un paño negro.
8.6.1 Desarrollo del microorganismo
Un día antes, subcultivar en 10 ml de caldo Micro Inoculum (8.4.3).
Incubar durante 18 h a 35°C.
Seis horas antes de la inoculación del ensayo, inocular 2 gotas (aproximadamente 0,1 ml) del último cultivo de 18 h en otro tubo de 10 ml de caldo Micro Inoculum.
Incubar durante 6 h a 35°C.
8.6.2 Preparación de la toma de ensayo
8.6.2.1 Productos sin almidón
En un matraz Erlenmeyer de 250 ml, pesar de 1 a 3 g de muestra homogénea, que contenga aproximadamente 1 µg de ácido fólico. Disolver en 30 ml de solución tampón pH 6,1 (8.5.2). A fin de evitar la formación de grumos, añadir la solución tampón en pequeñas cantidades pasando el matraz Erlenmeyer bajo el grifo de agua caliente.
Cubrir el matraz con papel de aluminio y colocar en el autoclave durante 20 min a 102°C. Enfriar.
Transvertir cuantitativamente a un matraz aforado de vidrio de 100 ml. Añadir al contenido del matraz 0,8 ml de solución de cloruro de calcio al 2% y agitar. Dejar reposar durante 15 minutos, luego llevar a volumen con agua destilada. Filtrar a través de un filtro plisado con velocidad de filtración media.
Diluir el filtrado de modo que se obtenga una solución de aproximadamente 0,2 ng de ácido fólico por ml.
8.6.2.2 Productos con almidón
Proceder según el primer apartado bajo 8.6.2.1.
Antes de colocar la solución en el autoclave, añadir una cantidad de mezcla al 6% de -amilasa pancreática en lactosa, correspondiente a 1% de la toma de ensayo.
Incubar durante 30 min a 42°C. Cubrir el matraz con papel de aluminio y colocar en el autoclave durante 20 min a 102°C. Enfriar. A continuación transvertir cuantitativamente a un matraz aforado de vidrio de 100 ml y proseguir como se describe en 8.6.2.1
Nota: Con cada nuevo lote de diastasa efectuar un ensayo en blanco.
Mediante una pipeta tomar 10 ml de solución patrón (8.6.3) dilución d. Añadir 30 ml de agua. Añadir 100 mg de mezcla al 6% de -amilasa pancreática en lactosa. Incubar durante 30 min a 42°C. Transvertir cuantitativamente a un matraz aforado de 100 ml. Llevar a volumen y filtrar.
La curva de calibración obtenida con esta solución debe ser comparable a aquella obtenida con la solución patrón no tratada.
8.6.3 Solución patrón 0,2 ng/ml
Justo antes del uso diluir la solución 8.5.4 como sigue:
10 ml a 100 ml
10 ml a 100 ml
2 ml a 100 ml
10 ml a 100 ml
10 ml a 100 ml = 0,2 ng/ml
8.6.4 Medio de cultivo para el ensayo
Medio para prueba de ácido fólico.
Preparar el volumen necesario en un matraz Erlenmeyer de vidrio de 1000 ml. Proceder según las indicaciones de la etiqueta, calentando la solución en una parrilla con agitación magnética.
Cálculo del volumen necesario:
patrón: 30 tubos 30 x 5 ml = 150 ml
cada producto: 10 tubos 10 x 5 ml = 50 ml
+ 50 ml a 100 ml de exceso
8.6.5 Preparación del ensayo
8.6.5.1 Serie patrón
En un soporte metálico para tubos de ensaye, colocar 3 filas de 10 tubos (180 x 18 mm), numerados bl, 0,..., 8; el primero corresponde al blanco.
Mediante una pipeta vertir en triplicado en las tres series de tubos, volúmenes crecientes de la última dilución de la solución patrón, completar a 5 ml con agua destilada y mediante una bureta o una jeringa automática, añadir 5 ml de medio de cultivo para el ensayo según la tabla siguiente:
| Tubo No.: bi | 0 | 1 | 2 | 3 | 4 | 5 | 6 | 7 | 8 |
| Sol. Patrón: 0,0 | 0,0 | 0,25 | 0,50 | 0,75 | 1,0 | 1,5 | 2,0 | 2,5 | 3,0 ml |
| Agua: 5 | 5,0 | 4,75 | 4,5 | 4,25 | 4,0 | 3,5 | 3,0 | 2,5 | 2,0 |
| Medio de cultivo | 5 ml en cada tubo |
Los tubos del ensayo en blanco (bl) no se inoculan.
8.6.5.2 Serie producto
En otro soporte colocar dos filas de 10 tubos (180 x 18 mm). Los primeros cinco tubos de ambas filas van destinados a un producto, los otros cinco de ambas filas, a otro producto. Numerar de 9 a 13 y de 14 a 18 y así sucesivamente para todos los productos analizados.
Mediante una pipeta verter en duplicado en ambas series de cinco tubos, volúmenes crecientes de la última dilución de la solución de la muestra, completar a 5 ml con agua destilada y añadir 5 ml de medio de cultivo para el ensayo.
| Tubo No. 9 | 10 | 11 | 12 | 13 |
| Sol. de la muestra: 0,25 | 0,5 | 0,75 | 1,0 | 1,5 ml |
| Agua: 4,75 | 4,5 | 4,25 | 4,0 | 3,5 |
| Medio de cultivo | 5 ml en cada tubo |
Tapar los tubos con capuchones o mediante una tapa adecuada que cubra ambas filas de tubos en el soporte.
8.6.6 Esterilización del ensayo
Esterilizar los tubos durante 10 min a 121°C, luego enfriarlos en un baño de agua fría.
8.6.7 Inoculación
8.6.7.1 Preparación y estandarización del inóculo
Justo antes de inocular el ensayo, transvertir una cantidad suficiente del cultivo preparado bajo 8.6.1 a un tubo de centrífuga estéril, centrifugar a 2600 rpm durante 5 min, decantar y resuspender el paquete celular en 10 ml de solución salina. Hacer dos lavados más. Transvertir a una cubeta de 1 cm y efectuar la lectura en el espectrofotómetro a 575 nm. Estandarizar el cultivo a fin de obtener siempre aproximadamente la misma extinción. No debe olvidarse sustraer de la extinción del cultivo la del medio de ensayo, que es un medio coloreado.
Según la extinción, diluir "n" gotas del cultivo (B.8.6.1) en un tubo que contenga 10 ml de medio (8.6.4). Este tubo es el inóculo.
Así pues, para una extinción del cultivo (8.6.1) entre 0,40 y 0,60 (después de sustraer la extinción propia del medio), introducir 5 gotas de cultivo en el tubo que contiene 10 ml de medio (8.6.4). Si la extinción no se encuentra en la zona arriba mencionada, adaptar la dilución como sigue:
- extinción inferior a 0,40: introducir proporcionalmente más gotas en el tubo (no más de 10 gotas).
- extinción superior a 0,60: introducir menos gotas o diluir proporcionalmente con el medio (8.6.4).
8.6.7.2 Inoculación
Mediante una micropipeta de punta estéril, inocular 0,1 ml del inóculo en cada tubo de las series patrón y producto. Los tubos del blanco (bl) no se inoculan.
Después de inocular, agitar los tubos ligeramente a fin de repartir el microorganismo uniformemente en el medio.
8.6.8 Incubación
Incubar los tubos inoculados durante aproximadamente 19 h a 35°C. Observar los tubos con regularidad al cabo de las 19 h. Verificar si la diferencia de desarrollo del microorganismo es suficiente entre la primera y la última dilución de la solución patrón.
Si es necesario, prolongar la incubación hasta que se obtenga un crecimiento óptimo del microorganismo.
Después de la incubación se recomienda interrumpir el crecimiento del microorganismo simultáneamente en todos los tubos, colocándolos en un baño de agua fría.
8.6.9 Lecturas
Mediante un agitador para tubos de ensaye, poner en suspensión el depósito formado por el desarrollo del microorganismo. Transvertir la suspensión a un tubo o una cubeta óptica, según el fotómetro. Medir la transmitancia o absorbancia a 575 nm ajustando el 100% de T o a 0% de A del aparato con el blanco (bl).
Agitar y leer un tubo después de otro, a fin de evitar la sedimentación del microorganismo.
8.7 Cálculos
8.7.1 Curva de calibración
Trazar la curva de calibración en papel milimétrico o mediante una calculadora con regresión lineal, llevando la lectura media de cada grupo de tres tubos a la ordenada y los ng de ácido fólico a la abscisa.
*Nota: Si la determinación se hace en absorbancia buscar el equivalente de los valores de los ejemplos, dados en transmitancia.
Ejemplo:
| Tubo | ml | ng | Lecturas | Media No. |
| | | | 1 | 2 | 3 | |
| 0 | 0,0 | 0,0 | 88,1 | 87,6 | 87,5 | 87,7 |
| 1 | 0,25 | 0,05 | 78,4 | 78,5 | 79,5 | 78,8 |
| 2 | 0,50 | 0,1 | 70,5 | 70,4 | 71,3 | 70,7 |
| 3 | 0,75 | 0,15 | 64,1 | 64,6 | 64,6 | 64,4 |
| 4 | 1,0 | 0,2 | 58,9 | 59,6 | 59,3 | 59,3 |
| 5 | 1,5 | 0,3 | 50,8 | 51,3 | 51,4 | 51,2 |
| 6 | 2,0 | 0,4 | 44,7 | 44,1 | 45,5 | 44,8 |
| 7 | 2,5 | 0,5 | 39,7 | 39,7 | 38,2 | 39,2 |
| 8 | 3,0 | 0,6 | 35,6 | 36,1 | 35,2 | 35,6 |
Observaciones:
La curva de calibración es característica de cada vitamina. Es tanto mejor cuanto mayor sea la parte que ocupa de la escala de transmisión.
Repetir el ensayo cuando la curva de crecimiento esté mal desarrollada, esto puede deberse a la cepa o al medio de cultivo para el ensayo; que deben verificarse por separado.
8.7.2 Contenido de vitamina en el producto
La media de las lecturas de cada par de tubos permite leer en la curva de calibración la cantidad de vitamina y calcular su concentración en la última dilución de la muestra.
Ejemplo:
| Tubo | ml | Lecturas | media | ng* | Ng/ml N° |
| | | 1 | 2 | | | |
| 9 | 0,25 | 80,2 | 79,4 | 79,8 | 0,045 | 0,18 |
| 10 | 0,50 | 71,6 | 73,7 | 72,6 | 0,095 | 0,19 |
| 11 | 0,75 | 66,1 | 67,7 | 66,9 | 0,135 | 0,18 |
| 12 | 1,0 | 61,4 | (56,5) | 61,4 | 0,185 | 0,185 |
| 13 | 1,5 | 53,7 | 52,1 | 52,9 | 0,280 | 0,187 |
( ) = valor aberrante
* = valores leídos en la curva de calibración
Observación:
Fluctuaciones pequeñas en los valores de la última columna son prueba de un buen ensayo.
Calcular el contenido de vitamina en µg/100 g de producto, teniendo en cuenta las diluciones sucesivas y la concentración en la muestra diluida.
El contenido de ácido fólico, expresado en µg/100 g de producto es igual a:
C x V3 x V1 x 100
m x V2 x 1000
C= media de las concentraciones leídas en la curva de calibración, en ng/ml
V1= volumen en el que se ha disuelto la toma de ensayo, en ml
V2= parte alícuota de V1, en ml
V3= volumen al que se ha diluido la parte alícuota V2, en ml
m = toma de ensayo, en g
Ejemplo:
1 g (m) de producto se han pesado en un matraz aforado de 100 ml(V1). Se ha tomado una parte alícuota de 10 ml (V2), que se ha diluido en un matraz aforado de 250 ml (V3).
La media de las concentraciones en ácido fólico leídas en la curva de calibración es 0,184 ng/ml (C).
El contenido en ácido fólico es:
0,184 x 250 x 100 x 100 = 46 mg /100 g
1 x 10 x 1000
______________________